Текст книги "Уроки Мастера НЛП: техники эффективного общения"
Автор книги: Алекс Коваль
Жанр: Личностный рост, Книги по психологии
Возрастные ограничения: +12
сообщить о неприемлемом содержимом
Текущая страница: 4 (всего у книги 17 страниц) [доступный отрывок для чтения: 4 страниц]
«Дурак – это человек неуместный»
Прежде всего, введем понятия уместности и неуместности поведения человека и сразу же обратим внимание читателя, что эти понятия не существуют вне контекста. Речь у нас пойдет совсем не о правилах вежливости, которые всем знакомы с детства.
Уместность и неуместность поведения не имеет ничего общего ни с этикетом, ни с хорошими манерами: даже при идеально вежливом общении можно взаимодействовать с другим человеком психологически неадекватно.
Начнем мы с примеров того, как можно не очень хорошо чувствовать ситуацию и оттого осуществлять неадекватное и неуместное для нее поведение.
Как известно, в жизни периодически случаются ситуации и контексты, где между участниками имеется некое традиционное, наработанное веками согласие, что общение происходит только «по-взрослому». Одним из подобных контекстов являются, например, похороны. И вдруг – только представьте себе! – на таком серьезном и церемонном мероприятии некто начинает вести себя как плохо воспитанный расшалившийся ребенок!
Кстати, сравнительно недавно именно такая ситуация стала предметом международного скандала и была предана публичной огласке СМИ, обильно подкрепленной фото– и видеоматериалами. На них запечатлено поведение Президента США и представительницы одной из европейских стран на похоронах Нельсона Манделы: в той ситуации они действительно напоминают невоспитанных четырнадцатилетних подростков. Первые лица смеются, жуют жвачку, делают совместные «селфи», словом, представляют собой полностью инородное тело на мероприятии, отнюдь не располагающем к веселью. Поведение конкретных официальных лиц в приведенном контексте было явно неуместным, и оттого не способствовало поднятию их общественного рейтинга.
Приведем еще один пример, уже не из контекста публичной жизни глав государств, а из сферы личных отношений, где неуместное поведение одного из партнеров может все разрушить.
Предположим, мужчина в недавно сформировавшейся семейной паре настроен на зрелые стабильные взаимоотношения и ожидает найти в своей избраннице внутреннюю цельность, ответственность и надежность. А она, попав в контекст семьи, как она ее привыкла понимать, неожиданно начинает вести себя как ребенок. Причем совершенно не важно, какой именно ребенок: капризный и избалованный, ленивый и безынициативный или «правильный» и послушный.
Детское поведение жены в структуре собственной семьи, требующей от партнеров самодостаточности и ответственности, будет иметь самые печальные для отношений последствия, если, конечно, сам муж психически здоров и не готов взять на себя роль «папочки» или вместе со своей инфантильной супругой остаться маленьким ребенком своих (или ее) родителей. Адекватный зрелый мужчина, наблюдая инфантильное поведение своей партнерши, вначале растерян, потом начинает злиться и наконец перестает быть способным на интимные отношения с этой женщиной: ведь он не педофил! Судьба такой пары предрешена.
И еще один пример. Предположим, между несколькими участниками коммуникации, старыми школьными друзьями, есть некое давнишнее соглашение по умолчанию, что они при совместных встречах весело дурачатся и шалят. И вот нежданно-негаданно в их компанию попадает очень серьезный человек и начинает в ней вести себя как «правильный взрослый»! Понятно, что в описанном контексте его поведение будет явно неуместно.
Еще в прошлом веке знаменитый психотерапевт и философ Якоб Морено дал точное определение дурака: «Дурак – это человек неуместный».
Выше нами были приведены три наглядных примера, дающие понятие об уместности и неуместности того или иного поведения в том или ином контексте. Но в нашей повседневной жизни дело обстоит несколько сложнее, и мы не всегда понимаем, как нужно правильно (уместно) вести себя в сложной неоднозначной ситуации. Когда мы растеряны и эмоционально выбиты из колеи, то неизбежно теряются внутренние ориентиры и точки опоры, и мы порой начинаем осуществлять именно неуместное поведение. Зато четкое знание внутри себя, как вести себя в определенных обстоятельствах уместно, а как – нет, дает нам возможность уверенно и спокойно действовать в любой ситуации.
Непослушный психоаналитик Эрик Берн и его концепция для трехлетнего малыша
Наиболее ярко идея уместной контекстуальной иерархии просматривается в концепции выдающегося американского психолога прошлого века Эрика Берна, создателя специального направления под названием «Транзактный анализ». Начинал он как психоаналитик, но со временем был исключен из консервативного психоаналитического сообщества, как и многие другие его талантливые коллеги, за излишнюю самобытность и самостоятельность мышления.
И вот этот очередной карбонарий психоанализа поставил сам себе вызов: он заявил, что хочет придумать концепцию взаимодействия между людьми, которая понятна даже ребенку. И ему это удалось!
Берн объяснил, что в разные моменты своей жизни человек находится в одном из трех состояний своего Я: РОДИТЕЛЬ, ВЗРОСЛЫЙ или ДИТЯ.
Это три состояния нашей души, три состояния нашего сознания. Мы, в каждый момент своей жизни, поочередно пребываем в одном из них, и они между собой никогда не смешиваются. Ни одно из этих трех состояний не имеет отношения ни к возрасту, ни к социальному статусу.
И теперь мы поговорим о каждом из них отдельно.
Начнем по порядку. Вначале – о состоянии РОДИТЕЛЬ.
Как говорил Берн, «каждый из нас носит в себе Родителя», потому что у всех в жизни были родительские фигуры – либо непосредственных родителей, либо тех, кто их заменял. Каждый из нас несет в себе набор состояний своего Я, воспроизводящих эти родительские фигуры – вернее, то, как каждый из нас их воспринимал – «какие они у нас в голове».
Главная отличительная черта внутреннего состояния РОДИТЕЛЬ в том, что это всегда – оценочное состояние. Что это значит? Это значит, что, находясь в нем, мы как бы сличаем происходящее с некоей нормой: мы либо оцениваем нечто с точки зрения заданных стандартов, либо выстраиваем свое собственное поведение в строгом соответствии с принятыми правилами в сообществе. Эмоции состояния РОДИТЕЛЬ тоже «оценочные»: это гнев, негодование, возмущение, презрение, отвращение, брезгливость, умиление. В состоянии РОДИТЕЛЬ мы приказываем, указываем, критикуем, советуем, рекомендуем, опекаем и заботимся.
Как мы видим, состояние РОДИТЕЛЬской оценки – это вовсе не холодное состояние: оно прямо-таки бурлит своими специфическими эмоциями, и они могут быть как положительными, так и отрицательными.
Итак, внутренняя ипостась РОДИТЕЛЬ – это оценочные эмоции и поведение, выстроенное исключительно в соответствии с принятыми нормами. Чтобы представить себе квинтэссенцию данного состояния, достаточно вспомнить салон Анны Павловны Шерер из «Войны и мира».
Теперь проясним для себя, что такое состояние ВЗРОСЛЫЙ.
Находясь в своей внутренней ипостаси ВЗРОСЛЫЙ, мы занимаемся объективной обработкой данных: размышляем, считаем, разделяем, соединяем, прикидываем, сопоставляем факты, в рамках общей задачи осуществляем конструктивный обмен мнениями.
Заметьте, что сопоставление фактов нельзя путать со сличением с нормой: в сличении с нормой есть оценка, а сопоставление фактов – это безоценочное сравнение, которое мы выполняем, когда нам предлагают, например, «найти пять отличий».
Чтобы прочувствовать состояние ВЗРОСЛЫЙ лично в себе, читатель может прямо сейчас начать складывать в уме числа 289 и 354 и обратить при этом внимание на свое внутреннее состояние.
Чтобы лучше понять, насколько ипостаси РОДИТЕЛЬ и ВЗРОСЛЫЙ отличаются друг от друга, приведем пример реакций из каждой из них на одну и ту же информацию.
Предположим, коллеги сидят в офисе на собрании, и им сообщают, что один из сотрудников серьезно опаздывает, причем уже не в первый раз. Как среагирует на этот факт человек в состоянии РОДИТЕЛЬ? Он немедленно оценит этот факт: «Вы только посмотрите! Этот разгильдяй опять заставляет себя ждать, это уже ни в какие ворота не лезет, да еще, как всегда, врет, что вышел из дома вовремя! С этим надо что-то делать и привести его в порядок!» А вот реплика на тот же факт опоздания коллеги из состояния ВЗРОСЛЫЙ: «Слушай: он говорит, что вышел на работу в половине десятого, но без четверти десять я звонил ему домой, и он был еще там, и это значит, что он никак не мог выйти в половине десятого». Во второй реплике, как мы видим, нет даже намека на оценку, а просто озвучен логический мыслительный процесс с вытекающим из него выводом.
Итак, мы уже поняли, что состояние ВЗРОСЛЫЙ предполагает объективную обработку данных, анализ, счет и сопоставление фактов. Кроме того, в этом состоянии происходит деловое функциональное общение: «Передай мне, пожалуйста, вон тот карандаш!» Как мы понимаем, в таком состоянии может находиться не только взрослый человек, но и ребенок, сосредоточенно решающий задачку.
Мышление в состоянии РОДИТЕЛЬ по-разному. В первом случае – это соотнесение с заранее известной нормой: «Он это сделал, значит, он – негодяй!» Во втором случае – это безоценочная переработка информации: анализ, синтез и вычисление.
Ну а теперь мы переходим к состоянию ДИТЯ: о нем есть много чего рассказать! Берн считал это состояние во многих отношениях наиболее ценной частью личности, поскольку именно оно способно привносить в жизнь человека радость, творчество и очарование. Оно же – источник интуиции и спонтанности.
В состоянии ДИТЯ мы переживаем свои эмоции, чувства и желания: верим, надеемся, любим, радуемся, восхищаемся, восторгаемся, печалимся, обижаемся, огорчаемся, злимся, ненавидим.
В состоянии ДИТЯ мы непосредственно переживаем, проживаем опыт, находясь в процессе переработки чувств.
В состоянии ДИТЯ мы также испытываем и самые разные мотивационные состояния – «Хочу мороженого!» или «Хочу в дальние края!».
И именно в состоянии ДИТЯ мы испытываем гармонию и внутреннюю умиротворенность: в двух других состояниях это было бы невозможно. Кстати, любое состояние духовной продвинутости связано именно с состоянием ДИТЯ.
Как и два предыдущих, состояния, внутренняя ипостась ДИТЯ не имеет отношения ни к возрасту, ни к социальному статусу.
Итак, в соответствии с концепцией Эрика Берна, в каждом человеке одновременно присутствуют все эти три описанных психических состояния, но в каждый отдельно взятый момент только одно из них активно и проявлено, а другие два – ждут своей очереди. Все три одинаково достойны уважения и в равной степени необходимы для полноценной жизни.
Состояние РОДИТЕЛЬ позволяет человеку осуществлять родительское поведение по отношению к своим собственным детям и к тому же сохраняет нам энергию и время, заранее программируя многие из наших реакций: «Я делаю это так, потому что так принято делать!» Например, я не пою частушки в холле театра во время антракта.
Состояние ВЗРОСЛЫЙ, с его обработкой данных и оценкой вероятностей, необходимо нам для выживания. Именно оно позволяет нам с холодной головой выйти из самых затруднительных ситуаций.
Без состояния ДИТЯ нет ни радости жизни, ни вдохновения, ни голоса истинных желаний. Без него мы – не живые люди, а роботы.
Кто вы большую часть своей жизни: Взрослый, Дитя или Родитель?
Наверное, вам интересно было бы узнать, какое из этих трех состояний ближе всего лично вам и в котором из них вы находитесь большую часть суток?
Чтобы это понять, мы с вами прямо сейчас, по ходу чтения, проделаем несколько упражнений, пока что – самых простых. Не волнуйтесь, с каждой страницей они будут постепенно усложняться!
Упражнение «Вход в состояние РОДИТЕЛЬ»Начнем с самого легкого: с входа в состояние РОДИТЕЛЬ. Спина у вас при этом должна быть прямая и напряженная, позвоночник и шея – находиться на одной линии, взгляд – чуть сверху вниз. Воспроизведенная в памяти картина И. Крамского «Неизвестная» может быть отличным наглядным пособием.
Если вы уже телесно вошли в нужное состояние, попробуйте сказать из него несколько фраз, например: «Добрый день, приятно вас видеть!» Получилось? Скорее всего, получилось, потому что с входом в состояние РОДИТЕЛЬ в нашей культуре проблем, как правило, нет!
Упражнение «Вход в состояние ВЗРОСЛЫЙ»Спина остается в рабочем тонусе, но не напряжена. Теперь, чтобы перевести себя из состояния РОДИТЕЛЬ в состояние ВЗРОСЛЫЙ, нужно всего лишь расслабить шею, и, оказывается, это не так просто: часто человек вместо этого начинает наклонять голову в районе уха и продолжает находиться в состоянии РОДИТЕЛЬ!
Чтобы помочь себе все же расслабить шею, сядьте и подоприте голову рукой и постепенно добейтесь релаксации нужных мышц (спина продолжает оставаться в тонусе!). И теперь ответьте сами себе на вопрос: «Сейчас день или вечер?» Не важно, как вы ответите: главное – поймайте свое состояние, когда вы будете пытаться этот ответ найти!
Если хотите окончательно убедиться, что попали в нужное состояние ВЗРОСЛЫЙ, попробуйте в уме вычесть 289 из 376. Если вычислительная операция была произведена, то нужное состояние было вами в полной мере поймано и прочувствовано.
Откроем маленький секрет: при напряженной шее устный счет с трехзначными числами не получится, потому что зажим в шее немедленно блокирует возможность синтеза и способность производить вычисления.
Упражнение «Вход в состояние ДИТЯ»Перед выполнением этого упражнения приготовьте маленькое зеркальце и возьмите его в руку.
Чтобы привести себя в состояние ДИТЯ (поначалу это удобнее делать в положении сидя), нужно сначала очень глубоко вдохнуть, а затем полностью-полностью выпустить из диафрагмы весь воздух, до последнего кубического миллиметра! Смотрите, чтобы там совсем ничего не осталось! И сразу же после первого вдоха взгляните на себя в зеркало! Если вы все сделали правильно, то ваше лицо стало реально моложе и счастливее… А теперь скажите из этого состояния несколько слов: ваш голос должен свободно зазвучать в нижнем регистре.
Описанные выше упражнения на смену состояний – великолепная психологическая тренировка. Кстати, вы уже смогли ответить себе на вопрос, с которой из трех ипостасей вам легче всего себя соотнести?
Если пока нет, то, выполняя эти несложные упражнения, вы очень скоро поймете, какое состояние дается вам легче и какое – сложнее всего.
Как только это произойдет, ставьте себе следующую задачу: тренировать вход именно в то состояние, которое дается вам сложнее.
Чаще всего приходится «отлавливать» себя на попытках сбежать в состояния РОДИТЕЛЯ или ДИТЯ, но только ДИТЯ какого-то забитого и оправдывающегося: а как же, ведь это – «сладкая парочка», намертво засевшая в наших «зеркальных нейронах»!
Наверное, вы уже догадались, что наиболее дефицитная для российской культуры позиция – ВЗРОСЛЫЙ, оттого и входить в нее, как правило, нам сложнее всего.
Нередко состояние ВЗРОСЛЫЙ путают с состоянием РОДИТЕЛЬ «при исполнении», когда человек строит свое поведение в строгом соответствии с определенными нормами. Как же все-таки их различать и в себе, и в других? Для этого имеются достаточно точные маркеры. Предположим, два человека – первый из них находится в состоянии РОДИТЕЛЬ, а другой – в состоянии ВЗРОСЛЫЙ – стоят рядом, и мы можем их сравнивать. Сразу же станет заметно, что у первого напряжена спина, шея и носогубный треугольник, а у второго – шея и нижняя губы расслаблены. Итак, напряженные мышцы лица и шеи сразу же указывают на состояние РОДИТЕЛЬ, а для состояния ВЗРОСЛЫЙ, напротив, характерно их расслабленное состояние.
Несмотря на то что состояние ДИТЯ, как правило, дается легче, чем ВЗРОСЛЫЙ, редко у кого развит свободный доступ к ДИТЯ-гармоничному. Зато до ДИТЯ обиженного и забитого добраться намного проще: в жизни оно в нас активизируется довольно часто и не к месту.
Человеку, в котором в большой степени присутствует запуганная детская составляющая его Я, весьма сложно справиться с ролью руководителя или начальника, чаще всего он не справляется с ней вообще. Как же ему быть, если жизнь все же ставит его (или ее) перед необходимостью осуществлять руководство другими людьми?
Самое очевидное решение – это прибегнуть к помощи психолога, но серьезная психотерапия займет какое-то время: а что делать, если нужно руководить прямо сейчас, не имея возможности дожидаться, когда «вылечат»?
На этот случай имеется один «скоропомощной» прием, простой и бронебойный. Чтобы показать кому-либо, что главный здесь – вы, надо вести разговор исключительно в своем личном темпоритме, ни в коем случае не сбиваясь на чужой, причем ваш темпоритм должен быть несколько медленнее, чем у вашего партнера. Настаивание на своем темпоритме – это один из символов проявления власти.
Если хотите увидеть наглядную модель для подражания, пересмотрите фильм Ф. Ф. Копполы «Крестный отец» и понаблюдайте, как разговаривают со своими подчиненными главные герои – «крестные отцы» в исполнении Марлона Брандо и Аль Пачино.
Пристройка: сверху, снизу или на равных?
В предыдущей главе каждая из трех составляющих нашей психики была описана по отдельности. Но человек – существо социальное, постоянно находящееся во взаимодействии с другими людьми. В связи с этим закономерно возникает вопрос: «А как эти три состояния в одном человеке ведут себя при взаимодействии с другим человеком, у которого они тоже есть?» Получается, что когда между собой общаются два человека, то реально между собой взаимодействуют не двое, а шесть партнеров по коммуникации!
Слегка забегая вперед, отметим, что типы взаимодействия между людьми всегда задаются видами контекстов. Мы об этом обязательно подробно поговорим далее, а пока давайте направим свое внимание на основные типы человеческого общения с точки зрения их уровней.
Известно, что нет ничего практичнее, чем хорошая теория. Поэтому, перед тем как вновь перейти к практике, мы предложим вам небольшую теоретическую часть, которая нам действительно необходима. Обещаем вслед за этим множество актуальных примеров!
Итак, между частями, по Берну, есть особая иерархия. РОДИТЕЛЬ – это самый высокий, самый авторитетный уровень. ВЗРОСЛЫЙ – это уровень высший по отношению к уровню ДИТЯ, но низший по сравнению с уровнем РОДИТЕЛЬ. И самый низший на иерархической лестнице, несмотря на всю его привлекательность, непосредственность и симпатичность – это уровень ДИТЯ.

Рис. 1. Родитель, Взрослый, Дитя
Тот, кто начинает коммуникацию, всегда должен определенным образом «пристроиться» к другому человеку и, в зависимости от своего ощущения ситуации, он может это сделать из позиции сверху, из позиции снизу или из равной по уровню позиции.
Соответственно, «Пристройка сверху» – когда я начинаю общаться с другим человеком, взаимодействуя с ним сверху вниз, например, из своего состояния РОДИТЕЛЬ я обращаюсь к его состоянию ВЗРОСЛЫЙ. А «Пристройка снизу» – когда я обращаюсь к другому человеку снизу вверх, например, из своего состояния ДИТЯ к его состоянию РОДИТЕЛЬ.
А сами коммуникации принято делить на Равноуровневые и Разноуровневые. Понятно, что Равноуровневые коммуникации – это когда мы обращаемся к другому человеку с определенного уровня и получаем от него ответ с того же самого уровня, например, наше послание происходит на уровне «РОДИТЕЛЬ-РОДИТЕЛЬ», и полученный ответ – тоже на уровне «РОДИТЕЛЬ-РОДИТЕЛЬ».
Разноуровневые коммуникации – это когда мы обращаемся друг с другом с разных уровней.

Рис. 2. Пристройка снизу (а), пристройка сверху (б)
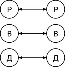
Первый тип человеческого взаимодействия – это Равноуровневые взаимодополняющие коммуникации, когда мой внутренний РОДИТЕЛЬ обращается к внутреннему РОДИТЕЛЮ партнера и получает ответ тоже от его внутреннего РОДИТЕЛЯ. Точно так же можно коммуницировать на уровнях ВЗРОСЛЫЙ-ВЗРОСЛЫЙ и ДИТЯ-ДИТЯ. Равноуровневые взаимодополняющие коммуникации – это достаточно гармоничный и устойчивый тип коммуникаций.
Второй тип взаимодействия между людьми – это Разноуровневые взаимодополняющие коммуникации. Например, из своего состояния ВЗРОСЛЫЙ я обращаюсь к внутреннему состоянию ДИТЯ моего партнера, и он в ответ из своего состояния ДИТЯ делает мне ответное послание в мое состояние ВЗРОСЛЫЙ. Таких коммуникаций существует ограниченное количество, и мы можем их все перечислить: это – РОДИТЕЛЬ-ДИТЯ, ДИТЯ-РОДИТЕЛЬ или ДИТЯ-РОДИТЕЛЬ, РОДИТЕЛЬ-ДИТЯ, это – ВЗРОСЛЫЙ-РОДИТЕЛЬ, РОДИТЕЛЬ-ВЗРОСЛЫЙ или РОДИТЕЛЬ-ВЗРОСЛЫЙ, ВЗРОСЛЫЙ-РОДИТЕЛЬ, и это – ВЗРОСЛЫЙ-ДИТЯ, ДИТЯ-ВЗРОСЛЫЙ или ДИТЯ-ВЗРОСЛЫЙ, ВЗРОСЛЫЙ-ДИТЯ.

Рис. 3. Равноуровневые взаимодополняющие коммуникации

Рис. 4. Разноуровневые взаимодополняющие коммуникации
Разноуровневые взаимодополняющие коммуникации тоже достаточно устойчивы. Правда, они не всегда гармоничны, как, например, в случае коммуникации РОДИТЕЛЬ-ДИТЯ, ДИТЯ-РОДИТЕЛЬ, в чем мы с вами убедимся ниже. Но даже при этом типе Разноуровневых коммуникаций партнер в позиции сверху испытывает удовлетворение (тайное или явное).

Рис. 5. Разноуровневые перекрестные коммуникации
Имеется и третий, конфликтный тип взаимодействия: это Разноуровневые перекрестные коммуникации. Они случаются, когда я, например, обращаюсь к подчиненному из пристройки РОДИТЕЛЬ-ВЗРОСЛЫЙ, а он мне отвечает из пристройки РОДИТЕЛЬ-ДИТЯ (или ВЗРОСЛЫЙ-ДИТЯ, или ВЗРОСЛЫЙ-ВЗРОСЛЫЙ, не важно). Разнообразие Разноуровневых перекрестных коммуникаций поистине неисчерпаемо!
В самой способности конфликтовать почему-то странным образом заложен бесконечный простор для креативности… Еще два века назад Л. Н. Толстой заметил в «Анне Карениной», что все счастливые семьи похожи между собой, но каждая несчастливая семья несчастлива по-своему.
Вот и закончилась наша короткая теоретическая часть по видам коммуникаций с точки зрения их уровней, а теперь поговорим о каждой из них подробно, приводя примеры из жизни.
Внимание! Это не конец книги.
Если начало книги вам понравилось, то полную версию можно приобрести у нашего партнёра - распространителя легального контента. Поддержите автора!