Текст книги "Управление качеством. Шпаргалка"
Автор книги: С. Загородников
Жанр: Экономика, Бизнес-Книги
сообщить о неприемлемом содержимом
Текущая страница: 2 (всего у книги 16 страниц) [доступный отрывок для чтения: 4 страниц]
7. ЭКОЛОГИЧЕСКИЕ ПОКАЗАТЕЛИ
Экологические показатели – показатели, отражающие уровень вредного влияния на окружающую среду возникающие при производстве, применении (потреблении), эксплуатации изделия.
К ним относятся: содержание вредных примесей, выбрасываемых в окружающую среду; вероятность выброса вредных частиц, газов и излучений, уровень которых не должен превосходить максимально допустимой концентрации.
Показатели экологичности продукции – одно из основных свойств, обусловливающих уровень ее качества.
К конкретным показателям экологичности продукции относятся:
1) содержание вредных примесей (элементы, окислы, металлы и т. п.) в продуктах сгорания двигателей различных машин, оборудования, агрегатов, комплексов;
2) выбросы вредных веществ в воздушную среду, воду, почву (включая недра земли), химических, нефтехимических, горнодобывающих, металлургических, энергетических, деревообрабатывающих, пищевых и других производств;
3) радиоактивность функционирования атомных электростанций и других объектов, связанных с исследованием, «приручением» и применением атомной энергии;
4) уровень шума, вибрации и энергетического влияния транспортных средств различного назначения и других машин и агрегатов.
При выборе экологических показателей должны быть отражены требования, соблюдение которых обеспечивает поддержание целесообразного взаимодействия между деятельностью человека и окружающей средой, а также предупреждение прямого и косвенного вредного воздействия результатов использования или потребления продукции на природную среду. Учет экологических показателей должен обеспечить: 1) ограничение выбросов в окружающую среду промышленных, транспортных и бытовых сточных вод для уменьшения содержания загрязняющих веществ в атмосфере, природных водах, реках и почвах до числа, не превосходящего в высшей степени допустимые концентрации;
2) сохранение и рациональное употребление биологических ресурсов;
3) возможность воспроизводства диких животных и поддержание в надлежащем состоянии условий их обитания;
4) сохранение геофонда растительного и животного мира, в том числе редких и исчезающих видов. Для обоснования необходимости учета экологических показателей при оценке качества продукции осуществляется анализ процессов ее использования или потребления для выявления возможности химических, механических, световых, звуковых, биологических, радиационных и других влияний на окружающую среду. При обнаружении вредных воздействий указанных факторов на природу группу экологических показателей следует включать в перечень показателей, используемых для оценки уровня качества товаров.
При оценке уровня качества продукции с учетом экологических показателей следует исходить из требований (норм) по охране природной среды. Эти требования и нормы определяются:
1) стандартами, рекомендациями, правилами СЭВ, ИСО и других международных организаций, занимающихся вопросами охраны природы;
2) введенными международными техническими регламентами и нормами;
3) системой государственных стандартов в сфере охраны и улучшения употребления природных ресурсов и другими нормативными документами. Сейчас многие международные организации (ООН, МАГАТЭ, ИСО, МЭК и др.) проводят постоянный мониторинг за деятельностью конкретных объектов, изменением экологических показателей окружающей природной среды, здоровьем животных и людей. Промышленно развитые страны в последнее время стали резко ужесточать требования к экологичности объектов. Тем не менее, показатели экологической среды на Земле оставляют желать лучшего.
В Российской Федерации на основе Закона «Об охране окружающей природной среды», принятом 19.12.1991 г., складывается система правового и нормативного обеспечения проблем экологии.
8. ОПРЕДЕЛЕНИЕ ПОКАЗАТЕЛЯ НАРАБОТКИ НА ОТКАЗ
Наработка на отказ – отношение времени в течение года к усредненной интенсивности отказов за первый год.
Полная наработка – наработка изделия от начала некоторой стадии его эксплуатации до системного события, например, наработка до отказа.
Неполная наработка характеризует наработку изделия: от начала эксплуатации до фиксированного периода времени, но до прихода системного события; от некоторого произвольного момента, не связанного с системным событием, до системного события или до определенного периода времени.
Интервал неопределенности – интервал, в котором совершилось или совершится системное событие, причем точное значение наработки до системного события неизвестно. Этот интервал может быть ограниченным. Наблюдения за объектами завершаются в какой—то период времени. К моменту прекращения наблюдений часть объектов отказала. Другая часть продолжает функционировать, причем неизвестно, как долго эти объекты проработают без отказа. К началу наблюдений объекты уже проработали некоторое неизвестное время без отказа. Отказавшие к моменту начала наблюдений объекты во внимание не принимаются.
Восстановление изделий после отказов исполняется путем ремонта или замены отказавших средств (кроме программных и информационных).
Данные по надежности для восстанавливаемых изделий упрощенно можно представить в виде последовательности моментов времени
t0 < t1 < t2 <… < tn <…
где to – момент включения в работу изделия, составляющие выборки с нечетными номерами соответствуют периодам отказов, а с четными – периодам восстановления. Планируется, что все промежутки времени работоспособности и восстановления являются независимыми случайными величинами со своими законами распределения.
Когда отсутствуют априорные данные о виде закона распределения F(t) используют непараметрические методы оценки надежности, при этом оценка параметра потока отказов проводится с применением соотношения, где d(t, t + D t) – количество отказавших изделий в интервале; n(t) – общее количество эксплуатируемых изделий в период времени t. При многократном цензурировании в моменты T1, T2…,Tm значение n(t) постепенно уменьшается, начиная с исходного значения nr
Коэффициент оперативной готовности Ko(t, t) для малых значений интервала времени t и при постоянном контроле работоспособности приблизительно можно определить как Ко (t,t).
Коэффициент готовности определяется через среднее значение наработки между отказами То и среднее время восстановление Тв по известному соотношению Кr = (То + Тв).
Оценка вероятности отказа в предположении биномиального распределения числа отказавших изделий d (t, t + Dt) соответствует q (t, t +Dt) = d (t, t + + Dt)/ n (t).
В случае, если восстановление осуществляется на основе «новых» изделий, выработанный ресурс которых не совпадает с ресурсом отказавшего элемента, то вероятность отказа на интервале [t, t + D t] будет отличаться от предыдущего периода, кроме экспоненциального закона распределения (для него интенсивность отказа является постоянной величиной).
Восстановление отказавших изделий с использованием «старых» элементов определяет равенство параметра потока отказов значению интенсивности отказов w (t) = l (t).
Параметрические методы используют при законе распределения наработки на отказ. В случае непрерывного контроля работоспособности и мгновенной замены отказавших изделий новыми для некоторых видов законов распределения удается получить аналитические выражения, определяющие параметр потока отказов.
9. ПОКАЗАТЕЛИ ТЕХНОЛОГИЧНОСТИ ПРОДУКЦИИ
Показатели технологичности – показатели, отражающие обобщенную характеристику рациональности примененных в продукции конструкторских и технологических решении и наилучшее распределение расходов на всех фазах жизненного цикла продукта. Эти показатели могут отражать удельный вес сырья на выработку единицы продукции; показатель применения исходного сырья, материалов, энергетических ресурсов, простоту собираемости, рациональность схемы, их соединения, материалоемкость изделия и т. д.
Показатели технологичности промышленной продукции определяют свойства конструкции товара, которые устанавливают его приспособленность к достижению оптимальных расходов в процессе производства, применения и восстановления поставленных значений показателей качества и объема выпуска продукции. Эти показатели являются определяющими для показателей экономичности.
Выделяют следующие показатели технологичности:
1) удельная материалоемкость изделия;
2) удельная энергоемкость изготовления и эксплуатации изделия;
3) удельная трудоемкость изготовления изделия;
4) коэффициент применения ресурсов материалов;
5) средняя разовая оперативная трудоемкость технического обслуживания (ремонта) данного вида;
6) средняя разовая оперативная длительность технического обслуживания (ремонта) данного вида
Технологичность продукции – приспособленность изделий к изготовлению применительно к известным освоенным технологическим процессам и оборудованию.
Технологичность конструкции – свойство, отражающее, насколько четко конструкция учитывает требования имеющейся технологии и системы освоения, производства, транспортирования и технического обслуживания изделия. Технологичная конструкция обеспечивает минимизацию длительности производственной деятельности и расходов материалов на всех фазах жизненного цикла продукта.
При проведении технологического контроля конструкторской документации технологи конструкторам навязывают идею унификации и стандартизации компонентов устройства в целях простоты и дешевизны организационно—технологической подготовки производства нового продукта.
Чем больше в новом устройстве ^унифицирован—ных из имеющихся программ деталей и конструктивных частей, тем спокойнее и проще работать технологам и организаторам. Тем не менее, уровень патентоспособности и, соответственно, конкурентоспособности объекта можно увеличить лишь за счет использования современных способов и обеспечения высокой новизны устройства, что ведет к понижению уровня унификации и заимствования устройства. Поэтому технологичность как одно из самых сложных признаков качества объекта входит в противоречие почти со всеми другими признаками качества, т. к. совершенствование каждого из них занимает много времени и материалов.
Основные показатели технологичности конструкции:
1) удельный вес деталей с механической обработкой;
2) коэффициент межпроектной унификации (заимствования) элементов устройства;
3) коэффициент прогрессивности технологических процессов;
4) коэффициент унификации (заимствования) технологических процессов.
Эти показатели влияют на массу и вес продукции, коэффициент употребления ресурсов и материалов, трудоемкость технологической подготовки производства, подготовку к функционированию, техническое обслуживание и восстановление изделия, расходы по фазам жизненного цикла продукта.
Качество и расходы – различные составляющие продукта, между которыми имеется прямая связь. Например, чем выше качество, тем выше расходы на производство, но ниже – на потребление. Поэтому только экономические расчеты могут определить оптимальный уровень того или иного показателя качества и технологичности продукции.
10 ПЛАНЫ ОБЕСПЕЧЕНИЯ И ПРОВЕРКИ КАЧЕСТВА
Изготовление новых видов продукции, услуг или технологических процессов предполагает подготовку руководством планов обеспечения качества, зафиксированных в письменном виде и взаимоувязанных с требованиями системы управления качеством предприятия.
Планы обеспечения качества должны устанавливать:
1) цели, которые должны быть достигнуты в сфере качества;
2) определенное распределение прав и обязанностей на различных стадиях составления проекта;
3) использование специальных процедур, способов и рабочих инструкций;
4) соответствующие проекты испытаний, контроля и проверки на соответствующих стадиях (например, проектирования, разработки);
5) способ изменения планов обеспечения качества в процессе развития работ над проектом;
6) прочие действия, необходимые для достижения установленных целей.
План обеспечения качества может быть составляющей детальной рабочей методики.
Карточки учета показателей качества и контрольные карты, относящиеся к проектированию, контролю, испытаниям, анализу, проверке пересмотру или связанным с ними результатам выступают значимыми деталями системы управления качеством.
Проверка системы качества:
Все детали, аспекты и компоненты системы качества должны быть объектом систематической внутренней проверки и оценки. Проверки должны обеспечивать оценку эффективности работы различных составляющих системы качества, способствующих исполнению назначенных целей в сфере качества. Для этого руководство предприятия должно разрабатывать и составлять надлежащий план проведения проверки.
План проведения проверки. Формат плана проведения проверки должен содержать:
1) номенклатуру различных видов и сфер деятельности, подлежащих проверке;
2) требования к квалификации персонала совершающего проверку;
3) основание для проведения проверок;
4) процедуры представления выводов, заключений и рекомендаций по итогам проверки. Проведение проверки:
Объективная оценка составляющих системы качества, осуществляема компетентным персоналом, может содержать следующие действия или сферы распространения:
1) организационные структуры;
2) административные и рабочие операции;
3) персонал, оборудование и материальные средства;
4) рабочие участки, операции и технологические процессы;
5) выпускаемая продукция (для определения степени соответствия стандартам и техническим требованиям);
6) документацию, отчеты и регистрацию сведений. Персонал, осуществляющий проверки составляющих системы качества не должен быть занят в проверяемой им деятельности или сфере.
Результаты выполненной проверки, выводы и рекомендации, должны предоставляться в виде документов для рассмотрения на соответствующем уровне руководства предприятия.
Отчет и последующая доработка результатов проверки должны содержать:
1) конкретные примеры несоответствия и недостатков должны быть документально оформлены в отчете о проверке; туда могут быть записаны вероятные причины таких недостатков, если они очевидны;
2) должны быть оценены выполнение и эффективность корректирующих мероприятий, предложенных в ходе предыдущих проверок;
3) по просьбе могут быть предложены соответствующие корректирующие операции. Руководство предприятия должно обеспечить самостоятельное проведение анализа и оценки системы качества. Такие анализ и оценка совершаются соответствующим персоналом из числа руководства предприятия или компетентными независимыми лицами, назначенными по постановлению руководства предприятия.
Сведения, заключения и рекомендации, полученные вследствие анализа и оценки, должны представляться в качестве документов для принятия необходимых мер руководством предприятия.
11. ПОКАЗАТЕЛИ СТАНДАРТИЗАЦИИ И УНИФИКАЦИИ
Показатели стандартизации и унификации – показатели, которые отражают степень применения стандартных, унифицированных и неповторимых компонентов в составе продукта.
Показатели стандартизации и унификации характеризуют насыщенность товара стандартными, унифицированными элементами, которыми являются входящие в него компоненты, узлы, конструкции, приборы, агрегаты, комплекты и комплексы.
К показателям стандартизации и унификации относятся:
1) коэффициент применяемости;
2) коэффициент повторяемости составных частей изделия;
3) коэффициент унификации изделия или изделий;
4) коэффициент нового оригинального конструирования;
5) коэффициент серийности;
6) коэффициент экономической эффективности стандартизации объекта;
7) коэффициент межпроектной унификации комплектов конструкции изделия.
Помимо выделенных показателей, также рассчитываются и исследуются коэффициенты повторяемости и унификации по конструктивным компонентам: термообработке, габаритам, радиусам, диаметрам, мощности, резьбе, фаске, материалам, напылению, окраске и другие составляющие.
Оптимальный уровень унификации устанавливается на базе экономических расчетов, учитывающих расходы по фазам жизненного цикла продукции. Таким образом, оптимальный уровень унификации назначается на базе расчета производственных и эксплуатационных расходов.
С повышением уровня унификации расходы в области производства уменьшаются, а в области эксплуатации, напротив, – возрастают, т. к. приходится использовать один и тот же унифицированный объект в различных условиях, иногда с его недогрузкой.
Поэтому оптимальный уровень унификации устанавливается на базе суммарных расходов. Эта концепция применима для продукции крупносерийного и массового производства, для которой часть расходов в области производства невелика, уровень унификации назначается по единому фактору – размеру совокупного полезного эффекта изделия на единицу общих расходов за его жизненный цикл.
По итогам изучения воздействия уровня унификации изделия на некоторые технико—экономические коэффициенты, можно делать только частные выводы и находить запасы улучшения этих коэффициентов при условии, что другие показатели (качество, затраты у потребителя) не ухудшатся.
Стандартизация и унификация предусматривают целесообразное уменьшение числа типоразмеров элементов в проектируемых и изготавливаемых изделиях.
Качество продукции можно оценить как измерение свойств. В современной науке и практике, показатели качества определяются как количественная оценка свойств товаров. Свойства товаров (предметов) имеют широкую классификацию по группам:
1) показатели надежности;
2) показатели технологичности;
3) показатели стандартизации и унификации;
4) показатели транспортабельности;
5) экологические показатели.
12. КОЭФФИЦИЕНТЫ ПРИМЕНЯЕМОСТИ И ПОВТОРЯЕМОСТИ
Основой унификации является стандартизация с ее структурой предпочтительных чисел, которая позволяет определить оптимальные значения величин и коэффициентов стандартизованных изделий, а также разработать комплекс государственных стандартов на основные нормы, обеспечивающие взаимозаменяемость унифицированных конструкций, приборов и агрегатов.
Уровень унификации и стандартизации – насыщенность изделий унифицированными и стандартными элементами (деталями, приборами, агрегатами), для расчета которых используются коэффициенты применяемости и повторяемости.
Коэффициент применяемости К показывает уровень применяемости составных эле ментов, т. е. уровень использования во вновь разрабатываемых конструкциях приборов, агрегатов, установок, использовавшихся до этого в предыдущих подобных конструкциях. Коэффициент применяемости рассчитывают по числу типоразмеров, по составным элементам товара или в стоимостном выражении.
Коэффициент применяемости в различных сферах промышленности определяют при помощи дифференцированных параметров, характеризующих уровень унификации изделий (в процентах).
1. Показатель уровня стандартизации и унификации по количеству типоразмеров находят по формуле:

где п – совокупное количество типоразмеров;
п0 – количество уникальных типоразмеров, которые разработаны впервые^для данного товара.
Типоразмер – такой объект производства (элемент, узел, машина, агрегат), который имеет конкретную конструкцию (свойственную только данному объекту), определенные показатели и величины и регистрируется отдельной позицией в колонку спецификации продукции.
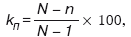
2. Показатель уровня стандартизации и унификации по составным элементам товара находят по формуле:

где N – общее количество состаных элементов товара;
N0 – количество уникальных составных элементов товара.
3. Показатель уровня стандартизации и унификации по стоимостному выражению находят по формуле:

где С – стоимость совокупного количества составных элементов товара;
С0 – стоимость количества уникальных составных элементов товара.
Каждая из приведенных формул характеризует уровень унификации только с одной стороны. Более полную характеристику уровня унификации продукции может дать комплексный показатель – коэффициент применяемости, который можно представить в виде:

где Су – средняя стоимость веса материала унифицированных деталей;
СТ – средняя стоимость веса материала изделия в целом;
h – средняя стоимость нормо—ч;
АуВ – вес всех унифицированных деталей в изделии
Аут – суммарная трудоемкость изготовления унифицированных деталей;
АДБ– общий вес изделия;
Аат – полная трудоемкость изготовления изделия.
Коэффициент повторяемости составных элементов в общем числе составных элементов данного изделия Кп(%) характеризует уровень унификации и взаимозаменяемость составных элементов товара определенного типа:

где N – общее количество составных элементов изделий;
n – общее количество уникальных типоразмеров.
Среднюю повторяемость составных элементов в изделии характеризует коэффициент повторяемости:
