Автор книги: Вольдемар Смилга
Жанр: Прочая образовательная литература, Наука и Образование
сообщить о неприемлемом содержимом
Текущая страница: 3 (всего у книги 15 страниц) [доступный отрывок для чтения: 4 страниц]
Второе – что мы не переусердствовали с выбором аксиом. Их у нас ровно столько, сколько надо. И ни одна из этих наших аксиом не может быть доказана либо опровергнута с помощью других.
Оба эти требования можно сформулировать в одной фразе. Аксиом должно быть необходимо и достаточно.
Достаточность – это требование полноты.
Необходимость – требование независимости.
Совсем-совсем грубо говоря, требования необходимости и достаточности означают, что аксиом должно быть ровно столько, сколько нужно. Не больше и не меньше.
Теперь можно сделать очень важное уточнение.
Из независимости аксиом сразу следует их непротиворечивость. Действительно, если, развивая геометрию, на каком-то этапе мы получим теорему, противоречащую остальным, то это будет неприятным сигналом, что в фундаменте что-то неладно. Именно: одна (или несколько) аксиом противоречат остальным.
Но если противоречат – значит не независимы.
Все эти логические рассуждения, в сущности, предельно просты. Но с первого чтения они могут показаться затруднительными. Лучшее, что можно порекомендовать в этом случае, – прочесть еще раз.
А пока же еще раз подчеркнем, что требование независимости аксиом сильнее, жестче, чем требование непротиворечивости.
Аксиомы могут быть непротиворечивы, но из непротиворечивости еще не ясно, не есть ли какая-нибудь из них следствие остальных, не теорема ли она. И, естественно, предлагая любую систему геометрических аксиом, математик обязан доказать их независимость! Здесь мы временно оборвем все наши рассуждения. И время и случай вернуться к ним у нас будут. И могу поручиться, мы не упустим случая и не потеряем время.
Хотя всё, что написано чуть раньше, довольно просто, и, смею надеяться, читатели разделяют это мнение, Евклид всего этого не знал. Вообще-то интуитивно он чувствовал всё это, но оформить в четкую логическую схему не мог.
А строгая постановка проблемы независимости аксиом, или строгое введение Основных Понятий, вообще была недоступна не только грекам, но и математикам всех эпох и народов вплоть до XIX столетия.
И аксиоматика и доказательства Евклида на деле – довольно пестрая смесь интуиции и логических пробелов, если… оценить с нынешних позиций.
Но, с другой стороны, Евклид так резко и значительно продвинулся на пути к строгой логике, что все остальные учебники, все прочие «начала», имевшие хождение в древности, бесповоротно и окончательно померкли перед «Началами».
И если, вспоминая Гомера, греки полагали лишним называть его имя, а говорили просто – «поэт», то Евклида называли «творец “Начал”».
Все предшественники его на дедуктивном пути построения геометрии были забыты.
Были «Начала», и был их творец – Евклид.
И хотя тринадцать книг, написанных Евклидом, содержали, как полагают, в основном чужие результаты, и потому иногда дебатируют – можно ли причислять его к величайшим математикам, – величайшим педагогом он был бесспорно. Добавим еще, что, как видно, был он исключительно увлекающимся своим делом и разносторонним ученым, ибо, помимо «Начал», он написал: «Начала музыки», «Оптику», «Клатоптрику», «Данные», «Феномены» (это работа по астрономии), «Гармонические правила»; затем работы, не дошедшие до нас и исчезнувшие: «Поризмы» (в трех книгах), «Конические сечения» (в четырех книгах), «Перспектива» (в двух книгах), «Места на поверхности», «О делении фигур» и «О ложных заключениях».
Список весьма достойный.
Большинство книг, правда, неоригинальны по содержанию, но работа проделана колоссальная. Кстати, книгу «Данные» исключительно ценил сам Ньютон, а это довольно солидная рекомендация. Сам Евклид, по-видимому, существенно продвинул сложнейший, интереснейший раздел греческой геометрии – учение о конических сечениях. Но не включил эти результаты в «Начала», поскольку существовало мнение, что эта область недостойна «чистой математики, цель которой – приблизить человека к божеству».
Почему именно теория конических сечений не приближала к божеству, установил всё тот же Платон. Дело в том, что использование в геометрии каких-либо инструментов, кроме циркуля и линейки, или – что эквивалентно – использование геометрических мест точек, помимо окружности и прямой (а такие геометрические места требовались при изучении конических сечений), он полагал ересью. И со всей страстью он предавал анафеме великолепного геометра Менахма (своего друга, между прочим), который показал, что решение пресловутой задачи об удвоении куба, так же как трисекции угла, довольно просто найти, если использовать новые геометрические инструменты.
Платон утверждал, что всё это «губит и разрушает благо геометрии, так как при этом она уходит от бестелесных и умопостигаемых вещей к чувственным и пользуется телами, нуждающимися в применении орудий пошлого ремесла».
Очевидно, такая отповедь устрашила беднягу Евклида, а его работа «О конических сечениях» бесследно исчезла для нас.
В «Началах» ему как будто принадлежит нечто в учении о правильных многогранниках. В XIII книге доказывается, что существует всего пять различных типов таких тел. Это блестящий, неожиданный, знаменитый… короче – классический результат.
Вообще-то в «Началах» рассказывается не только о геометрии. В них есть и элементы теории чисел и геометрическая теория иррациональных величин. Три последние книги посвящены стереометрии. И каждому разделу предшествуют аксиомы и постулаты.
Собственно, планиметрии отведено шесть первых книг. И самая первая начинается с аксиом и постулатов.
Историки математики до сих пор не могут окончательно договориться, как именно Евклид различал аксиомы и постулаты.
В общем у Евклида аксиомы (он сам называет их «общие достояния нашего ума») – истины, относящиеся к любым (а не только к геометрическим) объектам. Например, если А равно С и В равно С, то А равно В. Здесь А и В могут быть числа, отрезки, веса тел, треугольники…
Постулаты же – чисто геометрические аксиомы. Например, первый постулат Евклида: «От каждой точки ко всякой другой точке можно провести прямую линию».
Есть у Евклида и Основные Понятия.
Приводить всю его систему аксиом вряд ли стоит, потому что – мы уже раз десять говорили это – она совершенно неудовлетворительна. Собственно, аксиом планиметрии у Евклида шесть, и мы их опустим. Но постулаты процитируем. Вот первые четыре.
«Нужно потребовать:
I. Чтобы от каждой точки ко всякой другой точке можно было провести прямую линию.
II. Чтобы каждую ограниченную прямую можно было продолжить неограниченно.
III. Чтобы из любого центра можно было описать окружность любым радиусом.
IV. Чтобы все прямые углы были равны между собой».
Не будем пока подчеркивать плохое в этих постулатах. Простим на время Евклиду и «Началам» все «первобытные недостатки их», как выразился однажды Николай Иванович Лобачевский. Сейчас нам важно, что все четыре постулата очень элементарны по содержанию. Евклид постулирует здесь абсолютно естественные, понятные, неотъемлемые от нашего сознания, нашей интуиции истины. Всё хорошо. И…
Следует пятый постулат.
Глава 3
Пятый постулат
Вот он, постулат V.
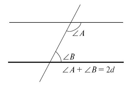
Если при пересечении двух прямых, лежащих в одной плоскости, третьей сумма внутренних односторонних углов меньше 2d (180°), то эти прямые при достаточном продолжении пересекаются, и притом с той стороны, с которой эта сумма меньше 2d.
Чего стоит одна формулировка! Во-первых, масса слов. Во-вторых, сколько геометрических понятий! Человек, незнакомый с основами геометрии, вообще ничего не поймет. Постулат совершенно не похож на предыдущие. Он звучит как теорема. И не слишком простая. Он явно выглядит странно. И прежде чем мы пойдем дальше, позвольте преклониться перед Евклидом.
Хотя у меня, естественно, нет доказательств, я убежден: пятый постулат сознательно сформулирован в столь нехорошей форме. И в этом таится великая мудрость творца «Начал».
Из всех возможных формулировок пятого постулата Евклид выбрал наисложнейшую, наинеуклюжейшую. Почему? Чтобы ответить, посмотрим, как он строит геометрию.
После аксиом и постулатов Евклид, естественно, доказывает теоремы. И 28 первых теорем он доказывает, игнорируя пятый постулат. Для этих теорем он не нужен. Они – эти «28» – безразличны к пятому постулату. Они, как говорят, относятся к абсолютной геометрии.

Среди «28» есть и теорема о внешнем угле треугольника. У Евклида она идет за № 16. Заключают список, как, вероятно, догадались проницательные читатели, теоремы № 27 и № 28. Эти теоремы содержат так называемую «прямую теорию» параллельных линий. Докажем их, объединив в одну.
Пусть две прямые пересекаются третьей в точках Р и Р1.
Утверждается: если ∠ А = ∠ А1, прямые параллельны.
Доказываем от противного. Допустим сначала, что прямые пересеклись в точке C. Тогда возник Δ PP1C, у которого внешний ∠ А1 равен внутреннему, не смежному с ним ∠ А. Но это невозможно. Теорема – «Внешний угол треугольника всегда больше любого внутреннего угла, не смежного с ним» – не допускает этого! Следовательно, прямые не могут пересечься при продолжении направо.
Есть вторая возможность. Прямые пересеклись в точке C1. Тогда возникает Δ PP1C1. Для него ∠ В – внешний, а ∠ В1 – внутренний, не смежный с ∠ В.
Но ∠ В = ∠ А; ∠ В1 = ∠ А1 как вертикальные.
Однако ∠ А = ∠ А1 – это дано в условии; значит, ∠ В = ∠ В1.
И по существу, всё закончено.

Для гипотетического треугольника PP1C1 ∠ В внешний, а ∠ В1 – внутренний, не смежный с ним. И они равны. Но этого не может быть. Значит, Δ PP1C1 существовать не может. И значит, прямые не пересекаются и в точке C1.
Теорема доказана полностью.
Конечно, читателям ясно, что ∠ В и ∠ В1 были введены, чтобы для гипотетического Δ PP1C1 полностью скопировать ситуацию, которая сразу возникла для Δ PP1C (для первого треугольника).
Теперь, чтобы полностью повторить Евклида, введем в наш рисунок еще четыре угла. Какие – видно на чертеже.
Из равенства ∠ А = ∠ А1 немедленно следует целое семейство равенств.
1. ∠ B = ∠ А1; ∠ C = ∠ D1 – эти углы называются «внешними накрест лежащими».
2. ∠ А = ∠ B1; ∠ D = ∠ C1 – это «внутренние накрест лежащие».

3. ∠ D = ∠ D1; ∠ C = ∠ C1; ∠ B = ∠ B1; и, само собой, ∠ А = ∠ А1. Все эти углы называются соответственными.
∠ D + ∠ B1 = π;
∠ A + ∠ C1 = π;
∠ C + ∠ A1 = π;
∠ B + ∠ D1 = π.
Здесь выступают внутренние и внешние односторонние углы.
Подчиняясь общепринятому порядку, я привел все эти двенадцать равенств и несколько сожалею об этом. Обилие равенств может затуманить ясный вопрос. А вообще достаточно любого соотношения. Любого – на выбор. Одиннадцать остальных сразу получаются, если справедливо хоть одно. Мы «танцевали» от равенства ∠ А = ∠ А1. Можно было идти от любого другого.
Мы доказали, что, если выполняется любое из наших двенадцати равенств, прямые параллельны. Это и есть две теоремы Евклида: № 27 и № 28.
Кстати, теперь уместно вспомнить, что теорема о параллельности двух перпендикуляров к общей прямой – первая теорема, доказанная в этой книге, – есть частный случай нашей теоремы о параллельных.
Доказав теорему, геометр всегда исследует обратную теорему. В обратной теореме данным считается то, что доказывалось в прямой, а доказывается, естественно, то, что в прямой считалось данным.
С прямыми и обратными теоремами связана одна из самых распространенных логических ошибок начинающих. Часто невольно полагают, что из прямой теоремы автоматически следует обратная.
Как опровергающий пример я могу привести известное рассуждение капитана Врунгеля, которое бережно берег в памяти много лет на этот случай.
Прямая теорема
Всякая селедка – рыба.
Обратная теорема
(Теорема капитана Врунгеля)
Всякая рыба – селедка.
В некоторых традициях популярной литературы следовало бы еще добавить, что этот пример имеет шутливый характер. Но от этого я всё же воздержусь.
Примеры из геометрии (евклидовой):
Прямая теорема
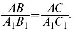
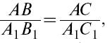
I. Если в треугольниках Δ АВС и А1В1С1 стороны АВ = А 1В1; АС = А1С1 и ∠ А = ∠ А1, то Δ АВС = Δ А1В1С1.
II. Два перпендикуляра к общей прямой параллельны.
III. Если Δ АВС подобен Δ А1В1С1, то AB =

Обратная теорема
I. Если Δ АВС = Δ А1В1С1, то стороны АВ = А1В1; АС = А1С1
и ∠ А = ∠ А1.
II. Если две параллельные прямые пересекаются третьей, то они перпендикулярны к ней.
III. Если для треугольников АВС и А1В1С1 справедлива пропорция AB =

то треугольники подобны.
В примере IV мы в честь номера объединим сразу четыре теоремы.
Прямая теорема
IV. Если Δ АВС равнобедренный (АВ = ВС), то
1) ∠ А = ∠ C;
2) высоты, медианы и биссектрисы углов А и С равны

Обратная теорема
IV. Если в Δ АВС
1) ∠ А = ∠ C;
2) высоты, или медианы, или биссектрисы углов А и С равны, то треугольник АВС равнобедренный (АВ = ВС).
В этих примерах все прямые теоремы правильны. В каких случаях справедливы и обратные теоремы, читателям предоставляется возможность установить само стоятел ьно.
Любопытно, между прочим, что зачастую хотя обратная теорема совершенно правильна, но найти ее доказательство несравненно сложней, чем для прямой. Понятно, такой случай есть и в наших примерах.
Одна из теорем из примера IV – равенство биссектрис в равнобедренном треугольнике – доказывается очень несложно. Обратная же (раскроем секрет – абсолютно верная теорема) – довольно хитрая геометрическая задача.
После доказанной нами теоремы о параллельных, естественно, проверить обратную теорему. Сформулируем ее.
Прямая теорема о параллельных прямых
Если при пересечении двух прямых третьей оказалось, что ∠ A + ∠ C1 = π (или выполняется любое из 12 равенств, приведенных раньше), прямые параллельны.
Обратная теорема о параллельных прямых
Если две прямые параллельны, то при пересечении их третьей окажется, что ∠ A + ∠ C1 = π (или выполняется любое из 12 равенств, приведенных раньше).

Обратная теорема о параллельных взята Евклидом как постулат V. Если же придерживаться цитатной точности, то у Евклида пятый постулат записан в чуть отличном виде.
Напомним определение, открывающее эту главу. Оно стоит этого.
Постулат V. Если при пересечении двух прямых, лежащих в одной плоскости, третьей сумма внутренних углов меньше 2d (180°), то эти прямые при достаточном продолжении пересекаются, и притом с той стороны, с которой эта сумма меньше 2d.
И нарочито неуклюжий способ, которым Евклид ввел пятый постулат, и многозначительные 28 теорем, предшествующих ему, теорем, доказанных совершенно независимо от него, свидетельствуют о поразительной интуиции Евклида либо того неизвестного (если он существовал), у кого он заимствовал эту идею. Сейчас я попытаюсь обосновать свое утверждение. Это тем более приятное занятие, что опровергнуть меня невозможно. Фактов нет совершенно, и соответственно есть простор для историко-психологических экскурсов.
Посмотрим на исходные данные.
Ко времени написания «Начал» геометрия – уже вполне сложившаяся, детально разработанная наука.
У нее есть и минимум трехсотлетняя история, и десятки сложнейших решенных проблем, и несколько «проклятых» задач типа дельфийской задачи об удвоении куба. Благодаря Платону и Аристотелю установлена, признана и царствует дедуктивная схема.
Историк геометрии может уже прославлять примерно четыре десятка талантливейших математиков. Называя это число, я говорю о тех, чьи имена дошли до нас. На каждого такого ученого, несомненно, причитается по меньшей мере десяток менее крупных и неизвестных нам геометров.
Что геометрию следует развивать на основе аксиом, согласны практически все. И большинство согласно с Аристотелем в том, что аксиомы и основные понятия должны удовлетворять требованию очевидности. Формулировка же самих аксиом – утверждает Аристотель – дело слишком ответственное, чтобы доверять его математикам. Это задача высшая.
И естественно, допущены к ней могут быть лишь достойнейшие.
То есть философы.
Верят геометры Аристотелю или не верят, но принято с ним соглашаться.
Вне всяких сомнений, обратную теорему о параллельных прямых пробовали доказать до Евклида, и пробовали не раз. И думаю, ко времени Евклида было ясно – есть два решения:
1. Доказать обратную теорему о параллельных на основе остальных постулатов геометрии. При этом по условиям игры никаких новых добавочных постулатов вводить не разрешается.
Сторонники этой школы должны были полагать, что «обратная теорема о параллельных» не более чем сложная теорема и непременно следует из остальных постулатов.
2. Можно к нашим четырем постулатам добавить еще какой-нибудь такой, что обратная теорема о параллельных сразу будет получена с его помощью. Причем, этот добавочный постулат можно формулировать так, что он будет выглядеть предельно естественным и очевидным.
Трудно поверить, что предшественники и современники Евклида – блестящие геометры эпохи расцвета науки – не могли додуматься до целого семейства эквивалентных и «очевидных» формулировок пятого постулата. Поверить в это трудно прежде всего потому, что некоторые из них напрашиваются сами.
На первом пути, естественно, успехов не было достигнуто ни тогда, ни еще две тысячи лет после Евклида. Сейчас-то благодаря Лобачевскому мы знаем: успеха и не могло быть. Но… это мы знаем сейчас.
Тем привлекательней должна была выглядеть вторая возможность: предложить эквивалентный, но простой и естественный постулат – смазать, затушевать неприятное пятно и успокоиться.
Масса комментаторов Евклида, возившихся с пятым постулатом, явно либо неявно действовала именно так.
Невозможно предположить, чтобы столь крупный математик, как Евклид, серьезно занимавшийся проблемой пятого постулата (а то, что он уделял ей особое внимание, доказывает весь строй первой книги «Начал»), невозможно предположить, настаиваю я, что он не набрел по пути на несколько эквивалентных и довольно естественных формулировок пятого постулата. Например, если объединить прямую теорему о параллельных и пятый постулат в евклидовой форме, то немедленно следует:
Новая формулировка пятого постулата. Через точку С, лежащую вне прямой АВ в плоскости АВС, можно провести только одну прямую, не встречающую прямую АВ.
Обычно эту формулировку приписывают английскому математику XVIII столетия Плейферу, но, естественно, ее предлагали многие и многие комментаторы Евклида за много столетий до Плейфера.
Не правда ли, «аксиома Плейфера» выглядит куда естественней и привлекательней, чем постулат Евклида?
Еще одна формулировка. Ее обычно приписывают Лежандру, хотя и ее использовали много раньше и европейские, и восточные геометры.
Постулат Лежандра. Перпендикуляр и наклонная к общей секущей АВ, расположенные в одной плоскости, непременно пересекаются. (Естественно, с той стороны секущей АВ, где наклонная образует с секущей острый угол.)

Тоже весьма наглядное утверждение. Вместо постулата Евклида тут постулируется один его частный случай. Легко увидеть, что этого вполне достаточно, чтобы доказать пятый постулат в евклидовой форме (обратную теорему о параллельных). Впрочем, для тех, кто только знакомится с геометрией, это достойная и довольно сложная задача, вполне заслуживающая внимания. Я приведу здесь некоторые указания, предоставляя желающим довести дело до конца.

Те, у кого это предложение не вызывает энтузиазма, могут спокойно пропустить всю математику. А мы примем постулат Лежандра – перпендикуляр и наклонная к общей секущей пересекаются. И будем доказывать постулат V в форме Евклида – обратную теорему о параллельных прямых.
Докажем сначала вспомогательную теорему – лемму (ее содержание будет оглашено в конце доказательства).
Пусть при пересечении двух прямых I и II третьей оказалось, что ∠ А < π/2, а сумма ∠ A + ∠ C1 = π. Тогда, согласно «прямой теореме», мы знаем, что эти прямые не пересекаются – они параллельны.
Просмотрите снова доказательство «прямой теоремы».
Из точки С опустим перпендикуляр на прямую I.
Это всегда можно сделать. Соответствующая теорема была доказана без всякого участия понятий о параллельных.
Докажите, что при принятом условии (∠ А < π/2) перпендикуляр СВ будет расположен так, как показано на чертеже.
Доказывайте от противного и используйте теорему о внешнем угле треугольника.
Далее имеем: ∠ D + ∠ N = ∠ C1. Буква N выбрана, чтобы напоминать о слове «неизвестный».
Далее имеем: ∠ A + ∠ D + ∠ N = π.
(Вспомните условие!)
Рассмотрите теперь Δ АВС.
Для суммы его углов есть три возможности:
∠ A + ∠ D + π/2 >< π.
Обратите внимание! Нельзя пользоваться теоремой: сумма углов треугольника равна π. Эта теорема – следствие постулата о параллельных.
Рассмотрите сначала гипотезу: ∠ A + ∠ D + π/2 > π.
Сравните это неравенство с равенством ∠ A + ∠ D + ∠ N = π и получите ∠ N < π/2.
Использовав теперь постулат Лежандра, вы получите, что прямые I и II пересекаются справа от точки В. А это противоречит условию. Следовательно, гипотеза ошибочна.
Рассмотрите теперь гипотезу ∠ A + ∠ D + π/2 < π.
Совершенно аналогично покажите, что в этом случае прямые I и II пересекутся слева от точки В; отбросьте и эту гипотезу.
Вы доказали сразу две важные теоремы:
1. Сумма углов Δ АВС равна π.
2. Угол N равен 90° (в этом содержание нашей леммы).

Теперь докажите «обратную теорему о параллельных», использовав следующее вспомогательное построение.
Дано: пусть при пересечении I и II третьей оказалось, что ∠ A + ∠ C1 < π, причем ∠ A < π/2.
1. Опустите из точки В перпендикуляр на прямую I.
2. Проведите через точку В заведомо параллельную прямую III, то есть прямую, удовлетворяющую «прямой теореме о параллельных». Докажите, что она пройдет так, как показано на чертеже.
Минуту подумайте теперь и снова, использовав постулат Лежандра, докажите, что прямая II пересечет прямую I.
Тем самым вы «доказали» постулат Евклида. Но не забудьте, что воспользовались эквивалентным постулатом.
Если вы были несколько смущены условием ∠ A < π/2, убедитесь, что оно не ограничивает общности рассуждения.
Проверьте теперь, нет ли в рассуждении ошибок.
Приведенное доказательство имеет по меньшей мере две примечательные особенности.
Во-первых, мы попутно доказали, что стоит принять постулат Лежандра – эквивалент постулата Евклида, как нашелся треугольник, сумма углов которого равна л.
Во-вторых, я нигде не читал этого доказательства, а придумал его за несколько минут. Пишу это отнюдь не из честолюбивой надежды, что читатель будет восхищен моим математическим талантом.
Эквивалентность постулатов Лежандра и Евклида можно доказать и проще и изящней, буквально в две строчки. Нужно только взять пятый постулат в форме аксиомы Плейфера («Через данную точку к данной прямой можно провести лишь одну параллельную»).
Так что, вообще говоря, теорема наша и неуклюжа и ненужна. Ее появление оправдано лишь тем, что она подсказывает другую и уже действительно важную теорему: если сумма углов треугольника равна л, справедлив пятый постулат. Кроме того, она полезна и для «разминки». А самое основное, мне кажется, подобные «исследования» показывают, как самые первые, самые наивные шаги сразу приводят к всё новым и новым эквивалентам пятого постулата. И конечно, нет сомнений, что наша нехитрая ниточка рассуждений была протянута не одним и не двумя комментаторами Евклида.
Но, убедившись, как несложно упрощать формулировки пятого постулата, мы невольно должны задуматься: почему же не сделал этого сам Евклид?
Автор не может удержаться. Обстановка требует риторических вопросов. Вот и они.
Неужели Евклид не пытался доказывать свою теорему?
Неужели ученый такого масштаба, такой тонкий аналитик не смог получить несколько элементарных следствий и выбрать за постулат наиболее естественное и очевидное?
Неужели он – последователь Аристотеля и Платона – мог упустить такую возможность?
Неужели он мог погубить всю гармонию геометрии, вызвав тем самым гнев бессмертных олимпийских богов?
Неужели любой из великого скопища комментаторов глубже и лучше разбирался в проблеме, чем он?
Читатели, конечно, отлично понимают, что все эти лицемерные восклицания автор позволяет себе с единственной целью – подчеркнуть абсурдность подобных предположений. Говоря же серьезно, наиболее правдоподобная версия такова.
Евклид, как и его предшественники, безусловно, пытался свести пятый постулат в ранг теоремы – доказать его, не привлекая дополнительных предположений.
Учитывая исключительное положение пятого постулата в «Началах», а также пресловутые 28 теорем, предшествующих ему, можно уверенно заключить, что эта проблема волновала Евклида, что уделял он ей особое внимание.
Вспомнив, что все методы элементарной геометрии были полностью разработаны уже в те времена, вспомнив, что, например, исследования по теории конических сечений неизмеримо сложнее большинства рассуждений, связанных с пятым постулатом…
Вспомнив (еще раз), что пятый постулат в той форме, как приводит его Евклид, – это граничащий с издевкой вызов всем требованиям Платона и Аристотеля…
Вспомнив, что Евклид был, судя по всему, их верным последователем..
Вспомнив, наконец, что Евклид был блестящий геометр…
Мы приходим к единственному выводу.
В процессе тщетных попыток доказать пятый постулат Евклид, по-видимому, нашел несколько эквивалентных формулировок. Простых. И очевидных. Но Евклид оказался на высоте.
С одной стороны, он ясно понимал, что, не используя какого-либо эквивалентного предположения, доказать постулат не удается. А с другой – ни одна из эквивалентных форм пятого постулата не удовлетворяла, на его вкус, требованию очевидности. Поэтому он пришел к выводу, что положение очень печально и задача не решена. И, как честный геометр, он решил особо подчеркнуть: пятый постулат – отверженный, презренный уродец в дружном семействе аксиом. А если так, то выбор самой сложной формы и целесообразен и полностью оправдан.
Евклид как бы нарочито подталкивает своих коллег. Не обольщайтесь, не ищите утешения в более приятных эквивалентах моего постулата, не пытайтесь скрыть изъян. Всё равно вы не добьетесь той желанной самоочевидности, которая требуется от аксиом. Этот постулат не что иное, как «обратная теорема о параллельных». Его надо доказать при помощи остальных постулатов. Или будет разрушена красота и гармония геометрии. Я не смог разжаловать этот постулат в ранг теоремы. Попробуйте вы.
Короче говоря, я полагаю, что Евклид разобрался в сути лучше и глубже, чем подавляющее большинство его комментаторов. Они либо попадали под гипноз собственных анализов и убеждали себя, что постулат доказан, либо пытались сформулировать какой-либо эквивалентный, «более естественный» постулат. Евклид же, очевидно, ясно понимал, что первой задачи ему решить не удалось, а искать «очевидные» формулировки – означает загонять болезнь вглубь.
Во всей этой довольно стройной версии есть, конечно, слабое место. Если были какие-то исследования, то непонятно, почему Евклид их не опубликовал. Это неясно и автору. Возможно, он считал неудобным публиковать теоремы, не приводящие к каким-то результатам. Может быть, он, как и многие крупные ученые, не любил публиковать незавершенных работ. Не напечатал же Гаусс свои исследования по неевклидовой геометрии! А быть может, какая-то рукопись и существовала.
Как видите, у меня есть очень удобная отговорка. Действительно, сведения наши очень скудны.
Практически наиболее солидный древний источник по истории пятого постулата – это комментарий Прокла к Евклиду. А это, как должен помнить читатель, уже V век нашей эры.
Здесь мы прощаемся с Евклидом. И, расставаясь, скажем ему несколько теплых слов.
Он был хороший, более того – блестящий математик. И великий педагог. Невольно хочется верить, что он был столь же хороший человек, что прожил он долгую и счастливую жизнь в своей солнечной Александрии, распивая с друзьями в минуты отдыха сладкое хиосское либо терпкое кипрское вино – разбавленное, разумеется: пьянство – порок скифов, но не эллинов, посмеиваясь над Птолемеем, поучая учеников, читая Гомера и непрестанно работая до конца дней. И будем верить, что каждодневно он возносил хвалу олимпийским богам за то, что они сделали его геометром.
Приятно думать так. И раз уж никто, за отсутствием данных, не сможет нас опровергнуть, так и будем считать.
На этом… Евклиду, сыну Наукрата, прощальный привет. Задача поставлена.
Посмотрим, что происходило дальше.
ОБЕЩАННОЕ ПРИЛОЖЕНИЕ
Список аксиом планиметрии
Рассматривается шесть Основных Понятий. А именно: три Основных Образа (объекта): точка, прямая, плоскость. Три Основных Соотношения: принадлежности (инцидентности), «лежать между» (для точек), движения или совмещения.
I. Аксиомы соединения (сочетания)
1. Через две точки проходит одна, и только одна, прямая.
2. Всякая прямая содержит по крайней мере две точки.
3. Существуют по крайней мере три точки, не расположенные на одной прямой.
II. Аксиомы порядка
1. Из трех точек, лежащих на одной прямой, одна, и только одна, лежит между двумя другими.
2. Если А и В – различные точки прямой, то существует по крайней мере одна точка С, лежащая между А и В.
3. Если прямая пересекает одну сторону треугольника (то есть содержит точку, расположенную между двумя вершинами), то она либо проходит через вершину противоположного угла, либо пересекает еще одну сторону треугольника.
Используя аксиомы порядка, можно определить очень важные для дальнейшего понятия. А именно, понятия: отрезок, полупрямая (луч), угол.
III. Аксиомы движения
Движение у математиков – понятие основное (первичное). Свойства этого математического движения и определяются аксиомами.
1. При заданном преобразовании движения, обозначим его Д, любая точка А преобразуемой плоскости переходит в некоторую её точку А′.
2. При заданном преобразовании движения Д – в любую точку А′ нашей плоскости переходит некоторая ее точка А
3. При заданном преобразовании движения Д – различные точки А и В переходят в различные точки А′ и В′.
Эти три аксиомы и показывают, что движение – взаимно однозначное преобразование плоскости в самое себя.
4. Последовательное выполнение двух любых преобразований движения Д1и Д2также есть преобразование движения. Мы будем обозначать его Д1 · Д2.
5. Всякое движение Д имеет обратное себе движение Д–1такое, что произведение Д · Д–1есть движение, оставляющее все точки плоскости на месте, то есть так называемое тождественное преобразование.
Ввиду аксиомы 4 очевидно, что тождественное преобразование (покой) следует рассматривать как частный случай преобразования движения.
Далее идут аксиомы, показывающие, что при движении не происходит «деформации» плоскости.
6. Если движение преобразует концы отрезка АВ в концы отрезка А′В′, то всякая внутренняя точка отрезка АВ переходит при этом во внутреннюю точку отрезка А′В′.
Теперь следует важнейшая аксиома. Без нее невозможно установить понятие равенства фигур.