Текст книги "Трудовой потенциал региона"
Автор книги: Александра Шабунова
Жанр: Экономика, Бизнес-Книги
Возрастные ограничения: +12
сообщить о неприемлемом содержимом
Текущая страница: 1 (всего у книги 5 страниц) [доступный отрывок для чтения: 1 страниц]
Константин Анатольевич Гулин
Александра Анатольевна Шабунова
Елена Андреевна Чекмарева
Трудовой потенциал региона
© Ильин В.А., 2009
© Гулин К.А., Шабунова А.А., Чекмарева Е.А., 2009
© ИСЭРТ РАН, 2009
© Обложка: Дубиничев Р.В., 2009
Все права защищены. Никакая часть электронной версии этой книги не может быть воспроизведена в какой бы то ни было форме и какими бы то ни было средствами, включая размещение в сети Интернет и в корпоративных сетях, для частного и публичного использования без письменного разрешения владельца авторских прав.
Предисловие
Как показывают исследования Международной организации труда, процессы глобализации и быстрый технический прогресс вызывают изменения на рынках труда во всех странах. Эти перемены сопровождаются появлением больших проблем, но в то же время и значительных возможностей. Во всех регионах имеется огромный запас незадействованного трудового потенциала. В одних странах ограничены возможности женщин для проявления активности на рынке труда, в других существуют сложности с проникновением в сферу труда молодежи. Кроме того, почти каждый работающий бедный является, по меньшей мере, не полностью занятым (работает меньше, чем хотелось бы) либо трудится с очень низкой производительностью (работает долго, но неэффективно из-за отсутствия образования или оборудования) и, следовательно, использует свой потенциал не в полной мере. Экономический рост мог бы стать гораздо более заметным, если бы каждый человек имел свой шанс на достойный труд[1]1
Глобальные тенденции занятости: январь 2008 г. [Электронный ресурс] / МОТ, 2008. – Режим доступа: http://www.ilo.org/public/russian/region/eurpro/moscow/info/publ/get08_rus.pdf
[Закрыть] и реализацию своего трудового потенциала.
Поэтому исследование трудового потенциала каждого региона является чрезвычайно актуальным. Оно предоставляет своевременную информацию о состоянии и развитии трудоспособного населения, может служить платформой для принятия обоснованных управленческих решений в сфере труда.
В настоящее время теория трудового потенциала находится в стадии формирования. Еще нет единства мнений по ее концептуальным основам, не разработано общепризнанных теоретико-методологических подходов к пониманию сущности и структуры трудового потенциала региона, а также механизмов его оценки.
Данная работа – это попытка внести посильный вклад в развитие научных представлений о трудовом потенциале региона. Авторы книги исходили из опыта Института социально-экономического развития территорий РАН в комплексном исследовании состояния и динамики развития трудового потенциала Вологодской области в 1996–2008 гг. Примечательно, что исследование выполнено в предкризисный период – в условиях устойчивого экономического роста. Это придает результатам определенную целостность и завершенность.
В работе описаны теоретико-методологические основы и результаты исследования трудового потенциала Вологодской области, проанализирована его количественная и качественная сторона, рассмотрены возможности управления трудовыми ресурсами и трудовым потенциалом на региональном уровне, представлены результаты измерения частных и интегральных индексов качества трудового потенциала, анализ их динамики и соответствия требованиям рабочих мест, проведена оценка взаимосвязей качества трудового потенциала с результативностью трудовой деятельности.
Глава 1
Теоретико-методологические основы исследования трудового потенциала региона
1.1. Понятие «трудовой потенциал»
Понятие «трудовой потенциал» возникло в научной литературе 80-х годов XX века как новая экономическая категория. Это было вызвано потребностями практики и связано с поиском новых потенциальных возможностей для ускорения темпов экономического роста, являлось закономерным результатом развития понятий «рабочая сила» и «трудовые ресурсы».
В широком смысле «потенциал» (от лат. potentia – сила) толкуется как «средства, запасы, источники, имеющиеся в наличии и могущие быть мобилизованы, приведены в действие, использованы для достижения определенной цели, осуществления плана, решения какой-либо задачи; возможности отдельного лица, общества, государства в определенной области»[2]2
Большая Советская Энциклопедия: В 30 т. – Т. 20 / Под ред. А.М. Прохорова. – Изд. 3-е. – М.: Советская энциклопедия, 1975. – С. 428.
[Закрыть].
Потенциал объединяет в себе три уровня связей времени и пространства, функционирующих в единстве. Во-первых, он характеризует прошлое, поскольку воплощает в себе накопленные системой характеристики, позволяющие ей функционировать. Во-вторых, отражает настоящее, т. е. реально используемые или неиспользуемые имеющиеся способности. В-третьих, потенциал направлен на будущее, т. е. постоянно изменяется, развивается, накапливает новые способности, характеристики, включая элементы будущего развития[3]3
Одегов Ю.Г., Журавлев П.В. Управление персоналом. – М.: Финстатин-форм,1997. – С. 31.
[Закрыть].
Категория «потенциал» носит общенаучный характер: она используется в математике, физике, технике, биологии, химии, экономике, социологии и других отраслях знаний. В экономической литературе данное понятие стало появляться еще в 20-е гг. XX в. при разработке проблемы комплексной оценки уровня развития производительных сил. Однако в последующий период идеи о потенциале производительных сил не получили развития, и только спустя десятилетия о них вспомнил академик С.Г. Струмилин, который в 1954 г. ввел понятие «экономический потенциал»[4]4
Егоров В.Д. Трудовой потенциал: формирование и использование в условиях рыночной экономики: Автореф. дис… к. э. н. – Москва, 2004.
[Закрыть].
Понятие «трудовой потенциал» стало активно фигурировать в научных публикациях начала 1980-х годов. Вопросы формирования и использования трудового потенциала обсуждались не только экономистами, но и демографами, философами, социологами и специалистами в других областях знаний. Вследствие этого появилось большое количество точек зрения на толкование новой экономической категории.
Определение «трудового потенциала» являлось одним из основных дискуссионных вопросов в 1980-е гг. Эти дискуссии способствовали углублению конкретно-экономического анализа трудового потенциала общества и заложили основы перехода к детальному изучению трудовых ресурсов по демографическим, экономическим, социальным признакам, профессиональным, региональным группам, другим структурным различиям. Проблеме трудового потенциала посвящены книги А.С. Панкратова «Управление воспроизводством трудового потенциала» (М., 1988), Р.П. Колосовой «Трудовой потенциал промышленности» (М., 1987), Н.А. Иванова, Ю.Г. Одегова, К.Л. Андреева «Трудовой потенциал промышленного предприятия» (Саранск, 1988) и др.[5]5
Всемирная история экономической мысли [Электронный ресурс]. – Т. 6: Кн. 1. Отечественная экономическая наука. Экономическая мысль социалистических и развивающихся стран в послевоенный период. – М.: Мысль, 1997. – Режим доступа: http://www.booksite.ru/fulltext/oie/mys/ly/index.htm
[Закрыть]
Теория трудового потенциала до сих пор окончательно не сформирована, среди исследователей нет полного единства взглядов на ее концептуальные основы, не определено место трудового потенциала в категориальном ряду других социально-экономических понятий. Однако несомненно одно: трудовой потенциал – это объективная реальность, заслуживающая самого пристального внимания и изучения[6]6
Егоров В.Д. Там же.
[Закрыть].
Теорию трудовых ресурсов и трудового потенциала развивают работы Е.Г. Антосенкова, Ф.М. Волкова, Н.И. Гвоздевой, Б.М. Генкина, Л.М. Данилова, Л.С. Дегтярь, Т.И. Заславской, А.Я. Кибанова, Р.П. Колосовой, А.Г. Косаева, В.Г. Костакова, А.Э. Котляра, М.М. Магомедова, Е.Л. Маневича, И.С. Масловой, B.C. Немченко, Ю.Г. Одегова, В.А. Павленкова, А.С. Панкратова, В.М. Попова, Е.И. Рузавиной, Е.С. Русанова, Г.В. Сергеевой, М.И. Скаржинского, С.Г. Струмилина, М.Л. Сонина, Г.Н. Черкасова, Л.С. Чижовой, А.А. Чухно, В.Н. Ягодкина и других авторов.
В настоящее время в научных исследованиях и разработках по различным проблемам теории трудового потенциала активно изучаются вопросы его оценки, формирования, воспроизводства, развития и эффективного использования. При этом в зависимости от объекта исследования различают трудовой потенциал работника, предприятия, отрасли, региона, страны и общества в целом.
Мысль о необходимости исследования трудового потенциала территории возникла у российских ученых не так давно, поскольку долгое время применялся отраслевой подход к исследованию воспроизводства трудовых ресурсов. Проблемы воспроизводства трудового потенциала, трудовых ресурсов в территориальном аспекте отражены в работах Т.В. Блиновой, Н.И.Гвоздевой, И.Е. Заславского, Г.С. Вечканова, В.Г. Костакова, А.Э. Котляра, А.С. Панкратова и других авторов. Тем не менее до сих пор не создана единая методология исследования трудового потенциала региона; в сущности, не выработано четкое определение категории «трудовой потенциал региона», остаются дискуссионными вопросы его оценки, управления его воспроизводством в рамках региона[7]7
Быкова Е.В. Формирование и использование трудового потенциала региона в переходной экономике России: Автореф. дис… к. э. н. – Саратов, 2000.
[Закрыть].
Выделяют два основных подхода к пониманию категории «трудовой потенциал региона»[8]8
Гарипова З.Ф. Эффективность использования трудового потенциала региона: на примере Республики Башкортостан: Автореф. дис… к. э. н. – Москва, 2003.
[Закрыть]:
• ресурсный;
• факторный.
В рамках ресурсного подхода трудовой потенциал региона практически отождествляется с его трудовыми ресурсами. По мнению Л.И. Абалкина, потенциал представляет собой собирательную характеристику ресурсов, привязанную к месту и времени. Такого подхода придерживаются В.Г Костаков и А.А. Попов, которые рассматривают трудовой потенциал как «соответствующие трудовые ресурсы в единстве их количественных и качественных сторон»[9]9
Костаков В.Г., Попов А.А. Интенсификация использования трудового потенциала // Социалистический труд. – 1982. – № 7. – С. 109.
[Закрыть], причем количественной основой полагается население трудоспособного возраста, а качественной – его половозрастная структура, уровень образования, профессиональная подготовка и мобильность. Подобный подход можно видеть в исследованиях Г.П. Сергеевой и Л.С. Чижовой. На их взгляд, «трудовой потенциал – это те ресурсы труда, которыми располагает общество»[10]10
Сергеева Г.П., Чижова Л.С. Трудовой потенциал страны. – М., 1982. – С. 3.
[Закрыть]. При этом реальное значение трудового потенциала определяется, как считают ученые, численностью трудоспособного населения и его качественными характеристиками (полом, возрастом, образованием, профессиональной подготовкой и т. д.)[11]11
Трудовой потенциал региона: состояние и развитие / В.А. Ильин, К.А. Гулин, Г.В. Леонидова, В.В. Давыдова. – Вологда: ВНКЦ ЦЭМИ РАН, 2004. – С. 9.
[Закрыть].
В отличие от этого, представители «факторного» подхода характеризуют трудовой потенциал как форму личного или человеческого фактора, расширяя его сугубо ресурсное толкование оценкой возможностей общества в использовании способностей работников в качестве активного субъекта производства[12]12
Магомедов М.М. Трудовой потенциал в стратегии социально-экономического развития (региональный аспект): Автореф. дис… д. э. н. – Москва, 2001.
[Закрыть].
Так, в работах М.И. Гольдина под трудовым потенциалом понимается «форма проявления человеческого фактора, интегральной меры способностей к труду»[13]13
Гольдин М.И. Актуальные проблемы развития трудового потенциала общества зрелого социализма // Вопросы философии. – 1982. – № 5.– С. 3.
[Закрыть]. На взгляд Р.П. Колосовой, трудовой потенциал – это важнейший обобщающий показатель уровня развития возможностей созидательной активности человеческого фактора[14]14
Колосова Р.П. Трудовой потенциал промышленности. – М., 1987. – С. 8.
[Закрыть]. Подобное понимание трудового потенциала было изложено и А.С. Панкратовым. Рассматриваемое понятие он трактует как интегральную форму, количественно и качественно характеризующую способность общества в динамике обеспечить человеческий фактор производства в соответствии с требованиями его развития[15]15
Трудовой потенциал региона: состояние и развитие / В.А. Ильин, К.А. Гулин, Г.В. Леонидова, В.В. Давыдова. – Вологда: ВНКЦ ЦЭМИ РАН, 2004. – С. 9.
[Закрыть].
Однако существует и третий (комбинированный) подход к пониманию сущности категории «трудовой потенциал региона», который является своего рода слиянием первого и второго подходов. К представителям комбинированного подхода можно отнести И.С. Маслову, М.М. Магомедова и некоторых других авторов.
Трудовой потенциал региона, по мнению И.С. Масловой, – это сложная социально-экономическая категория, отличная по своему содержанию и назначению от экономико-демографической категории «трудовые ресурсы» и являющаяся «обобщающей характеристикой меры и качества совокупности способностей к общественно полезной деятельности, которыми определяются возможности отдельного человека, групп людей, всего трудоспособного населения по их участию в труде»[16]16
Маслова И.С. Трудовой потенциал советского общества // Вопросы теории и методологии исследования. – М., 1987. – С.14.; Маслова И.С. Особенности российского рынка труда // Человек и труд. – 1993. – № 3. – С. 27.
[Закрыть].
Похожей точки зрения придерживается М.М. Магомедов, рассматривающий трудовой потенциал региона как многоуровневую, интегральную категорию, характеризующую «количество, качество и меру способности к осуществлению общественно полезной деятельности той части трудоспособного населения, которая желает и готова работать (включая занятых и безработных), что дает возможность приведения в действие других составляющих экономического потенциала через конкретную систему форм и отношений занятости»[17]17
Магомедов М.М. Трудовой потенциал в стратегии социально-экономического развития (региональный аспект): Автореф. дис… д. э. н. – Москва, 2001.– С. 14.
[Закрыть].
В рамках настоящего исследования будем придерживаться комбинированного подхода к пониманию категории «трудовой потенциал региона».
1.2. Структура трудового потенциала региона, подходы к его оценке
Несмотря на отсутствие единого мнения в толковании категории «трудовой потенциал региона», большинство исследователей выделяют в его структуре количественную и качественную стороны.
Расхождения в существующих подходах обозначаются преимущественно при характеристике качественной стороны трудового потенциала, а в количественном аспекте их отличия друг от друга являются в основном терминологическими и не затрагивают сущностных сторон. Так, ресурсный подход выделяет половозрастную структуру населения, образование, профессиональную подготовку, квалификацию и т. п., а факторный подход при определении качественной стороны трудового потенциала делает упор на мотивы, ценностные ориентации труда, личные характеристики работников, социально-экономические условия, производственные отношения[18]18
Гарипова З.Ф. Эффективность использования трудового потенциала региона: на примере Республики Башкортостан: Автореф. дис… к. э. н. – Москва, 2003.
[Закрыть].
К количественным характеристикам трудового потенциала региона чаще всего относят численность трудовых ресурсов, численность экономически активного населения, занятых и безработных, численность населения трудоспособного возраста, уровень экономической активности, занятости и безработицы и т. п. Все используемые показатели оцениваются Федеральной службой государственной статистики и публикуются в официальных статистических изданиях.
Вопрос структуры и оценки качественной стороны трудового потенциала региона в настоящее время остается дискуссионным и взгляды на него отличаются существенным многообразием. При этом в большинстве случаев под качеством трудового потенциала региона исследователи понимают совокупность качественных характеристик его трудовых ресурсов или населения трудоспособного возраста.
Б.М. Генкин выделяет следующие компоненты трудового потенциала общества, предлагая соответствующие им показатели:
• здоровье: средняя продолжительность жизни, затраты на здравоохранение, смертность по возрастам;
• нравственность и умение работать в коллективе: отношение к инвалидам, детям, престарелым, преступность, социальная напряженность;
• творческий потенциал и активность: доходы от авторских прав, количество патентов и международных премий на одного жителя, темпы технического прогресса;
• организованность и ассертивность (гармоничное объединение свойств личности): качество законодательства, качество дорог и транспорта, соблюдение договоров и законов;
• образование: среднее количество лет обучения в школе и вузе, доля затрат на образование в госбюджете;
• профессионализм: доходы от экспорта, потери от аварий;
• ресурсы рабочего времени: трудоспособное население, количество занятых, уровень безработицы, количество часов занятости в год[19]19
Генкин Б.М. Экономика и социология труда: Учебник для вузов. – М.: Норма, 2003. – С. 81–82.
[Закрыть].
Учеными Санкт-Петербургской социологической школы (О.И. Шкаратан, О.В. Стаканова, О.В. Филиппова) была разработана концепция трехзвенного состава трудового потенциала:
1) психофизиологический потенциал (состояние здоровья, тип нервной системы, работоспособность и выносливость);
2) производственно-квалификационный потенциал (объем общих и специальных знаний, трудовых навыков и умений, степень развития способности к систематическому труду, умение продуктивно работать);
3) личностный потенциал (степень социальной зрелости, ценностные ориентации, интересы, потребности и запросы в сфере труда, желание и готовность трудиться добросовестно и с полной отдачей)[20]20
Ильин В.А., Смирнова Н.А., Тимофеева Я.Б. Качество трудового потенциала населения Вологодской области. – Вологда: ВНКЦ ЦЭМИ РАН, 1998. – С. 9.
[Закрыть].
Н.И. Шаталова подразделяет компоненты трудового потенциала:
• на психофизиологические: пол, возраст, способности, состояние здоровья, выносливость и т. п.;
• ценностно-ориентационные: установки, потребности и запросы, мотивы, нравственные ориентиры и уровень социальной зрелости, трудолюбие, честолюбие и т. п.;
• нормативно-ролевые: общая культура личности и профессиональная культура, господствующий в обществе тип поведения и т. п.;
• адаптационные: активность, творчество, мобильность, предприимчивость и т. п.;
• статусные компоненты: уровень образования, квалификация, заработок, семейный статус и др.[21]21
Шаталова Н.И. Трудовой потенциал работника: Учеб. пособие для вузов. – М.: ЮНИТИ-ДАНА, 2003. – С. 16–17.
[Закрыть]
Т.В. Хлопова и М.П. Дьякович важнейшими структурными компонентами трудового потенциала называют:
• профессионально-квалификационный потенциал: характеристики работников по профессиям, образованию, стажу, уровню квалификации и т. д.;
• психофизиологический потенциал: пол, возраст, состояние здоровья, стрессоустойчивость работников;
• мотивационный потенциал: уровень удовлетворенности работников трудом, структура мотивов трудовой деятельности и профессионально-квалификационного роста[22]22
Хлопова Т.В., Дьякович М.П. К оценке трудового потенциала предприятия // Социс. – 2003. – № 3. – С. 67–74.
[Закрыть].
В исследованиях Института социально-экономических проблем народонаселения РАН – ИСЭПН РАН (Н.М. Римашевская, Д.И. Зюзин, Е.Б. Бреева и др.) система компонентов трудового потенциала представляется в виде «дерева» свойств, вершиной которого является наиболее общее свойство – социальная дееспособность – интегральный показатель качества трудового потенциала[23]23
Ильин В.А., Смирнова Н.А., Тимофеева Я.Б. Качество трудового потенциала населения Вологодской области. – Вологда: ВНКЦ ЦЭМИ РАН, 1998. – С. 10.
[Закрыть]. В основе такой структуры лежит концепция качественных характеристик населения, разработанная специалистами ИСЭПН[24]24
Римашевская Н.М. О методологии определения качественного состояния населения // Демография и социология. – Вып. 6. – М., 1993. – С. 7–21.
[Закрыть].
Компонентами первого уровня служат качественные характеристики, подлежащие непосредственному измерению:
♦ физическое здоровье;
♦ психическое здоровье;
♦ когнитивный (образовательно-квалификационный) потенциал;
♦ творческие способности (креативность);
♦ коммуникабельность;
♦ культурный уровень;
♦ нравственный уровень;
♦ потребность в достижении (социальные притязания), т. е. стремление человека занять определенное место в социальной структуре общества (рис. 1.1).

Рис. 1.1. Компоненты трудового потенциала (согласно концепции ИСЭПН РАН)
Свойства второго, третьего и четвертого уровней являются интег-ративными, их измерение возможно только на основе вышеуказанных первичных элементов.
Качества второго уровня:
> психофизиологический потенциал (составляющие – физическое и психическое здоровье);
> интеллектуальный потенциал (уровень общих и профессиональных знаний, творческие способности);
> коммуникативный потенциал (коммуникабельность и культурный уровень);
> социальная активность (нравственность и социальные притязания).
Качества третьего уровня:
> энергетический потенциал, или функциональные возможности работника (составляющие – психофизиологический и интеллектуальный потенциалы);
> социально-психологический потенциал, или способность человека воздействовать на социальные условия своей деятельности (составляющие – коммуникативный потенциал и социальная активность).
Четвертый уровень — социальная дееспособность (составляющие – энергетический и социально-психологический потенциалы)[25]25
Ильин В.А., Смирнова Н.А., Тимофеева Я.Б. Качество трудового потенциала населения Вологодской области. – Вологда: ВНКЦ ЦЭМИ РАН, 1998. – С. 12–13.
[Закрыть].
Существуют и другие подходы к определению структуры трудового потенциала региона, однако концепция, разработанная специалистами ИСЭПН РАН, представляется нам наиболее логичной и целостной.
Широким спектром мнений о структуре трудового потенциала обусловлено появление значительного числа методик его оценки. Принципиальных различий между этими методиками не так уж много. На наш взгляд, все методологические подходы к оценке качества трудового потенциала можно объединить в две основные группы:
1. Оценка качества трудового потенциала на основе данных официальной статистики.
Примерами использования такого подхода служат индекс развития человеческого потенциала и индекс развития трудового потенциала.
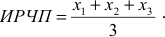
Индекс развития человеческого потенциала (ИРЧП) – наиболее распространенный показатель, в том числе и качества трудового потенциала. ИРЧП активно используется ООН для межстрановых и межрегиональных сопоставлений и рассчитывается на основе следующих показателей:
долголетие: ожидаемая продолжительность жизни при рождении (минимальное значение по шкале – 25 лет; максимальное – 85 лет);
уровень образования: уровень грамотности взрослого населения страны (от 0 до 100 %; с весом 2/3) и валовой коэффициент поступивших в начальные, средние и высшие учебные заведения (от 0 до 100 %; с весом 1/3);
уровень жизни: ВВП на душу населения по паритету покупательной способности в долларах США (от 100 долл. до 40 тыс. долл.)[26]26
Доклад о развитии человека. 2006 [Электронный ресурс]. – Режим доступа: http://www.un.org/russian/esa/hdr/2006/hdr2006_tech.pdf. – С. 393–394.
[Закрыть].
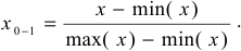
Каждый из перечисленных показателей переводится в шкалу от 0 до 1:

После чего рассчитывается их среднее арифметическое:

Индекс развития трудового потенциала (ИРТП) является подобием индекса развития человеческого потенциала. ИРТП страны, региона, трудового коллектива рассчитывается на основе таких показателей, как[27]27
Горисов, СП. О региональных различиях качества рабочей силы // Рекрутинг. – 2005. – № 3. – С. 41–43.
[Закрыть]:
доля трудоспособного населения в общей численности населения;
уровень образования, профессиональной подготовки и переподготовки;
уровень заработной платы;
вооруженность труда необходимыми средствами;
уровень занятости, трудовой активности населения.
Для каждого компонента трудового потенциала рассчитываются соответствующие индексы по шкале от 0 до 1, после чего находится среднее арифметическое пяти частных индексов:

Основное преимущество использования официальной статистики – работа с генеральной совокупностью.
Недостатками являются получение информации с отставанием; значительные сложности с анализом трудового потенциала населения в разрезе социально-демографических групп; выявлением причин и факторов, обусловливающих качественные характеристики рабочей силы.
Избежать этих недостатков позволяет вторая группа методологических подходов.
2. Оценка качества трудового потенциала на основе мониторинга.
Примерами использования такого подхода служат методика Т.В. Хлоповой и М.П. Дъякович[28]28
Хлопова Т.В., Дьякович М.П. К оценке трудового потенциала предприятия // Социс. – 2003. – № 3. – С. 67–74.
[Закрыть] и методика оценки трудового потенциала, представленная в исследованиях Института социально-экономических проблем народонаселения РАН (программа Д.И. Зюзина) и используемая Институтом социально-экономического развития территорий РАН (В.А. Ильин, Г.В. Леонидова и др.) для оценки трудового потенциала Вологодской области начиная с 1996 г.
Мониторинг трудового потенциала региона проводится путем анкетирования населения трудоспособного возраста. Согласно методике ИСЭПН РАН на базе мониторинга измеряются следующие структурные компоненты трудового потенциала: физическое и психическое здоровье населения, когнитивный потенциал, творческие способности, коммуникабельность, культурный и нравственный уровень, потребность в достижении. Для оценки перечисленных качеств используется шкала Лайкерта[29]29
Шкалы Лайкерта – разновидность опросников установок (аттитюдов). Названы по имени автора – Р. Лайкерта, предложившего их в 1932 г. Шкалы Лайкерта состоят из набора утверждений с пяти– или семибалльными рейтинговыми шкалами оценивания, которыми устанавливается степень согласия испытуемого с данным утверждением.
[Закрыть]. Опросник состоит из блоков утверждений большей частью с пятибалльными рейтинговыми шкалами оценивания (по степени согласия респондента с предложенными ему утверждениями). Каждому из качеств соответствует свой блок вопросов. В результате мониторинга компоненты трудового потенциала получают численную оценку в виде индексов от нуля до единицы, которые рассчитываются как отношение фактического числа баллов по шкале к максимально возможному (рис. 1.2).
Оценка компонентов трудового потенциала верхних уровней (психофизиологический, интеллектуальный, коммуникативный потенциал, социальная активность и др.) выполняется на базе нижних уровней путем вычисления среднего геометрического. При этом индекс социальной дееспособности рассчитывается как среднее геометрическое индексов энергетического и социально-психологического потенциалов. Т. е. социальная дееспособность является своего рода функцией от первичных качеств.

Рис. 1.2. Шкала измерения частного свойства
Примечание. Характеристика шкалы измерения частного свойства изложена в работе: Трудовой потенциал региона: состояние и развитие / В.А. Ильин, К.А. Гулин, Г.В. Леонидова, В.В. Давыдова. – Вологда: ВНКЦ ЦЭМИ РАН, 2004. – С. 23.
На наш взгляд, концепция трудового потенциала, представленная в исследованиях ученых Института социально-экономических проблем народонаселения, является наиболее обоснованной, а предложенная ими методика наилучшим образом подходит для оценки качественной стороны трудового потенциала региона.
Результаты оценки качества трудового потенциала Вологодской области, описанные в настоящей работе, получены на основе применения именно этого методологического подхода.
Однако не стоит забывать, что мониторинг имеет наряду с такими явными преимуществами, как оперативность сбора информации и возможность детализированного анализа базы данных, и некоторые недостатки: требует серьезной предварительной работы по подготовке анкет и технического задания, по грамотному определению выборки, организации опроса и формированию базы данных.
Внимание! Это не конец книги.
Если начало книги вам понравилось, то полную версию можно приобрести у нашего партнёра - распространителя легального контента. Поддержите автора!