Автор книги: Д. Павлов
Жанр: Биология, Наука и Образование
сообщить о неприемлемом содержимом
Текущая страница: 4 (всего у книги 8 страниц) [доступный отрывок для чтения: 2 страниц]
7.3. Применение амблисейуса
Расселение табачного трипса в теплицах носит очаговый характер. Первые колонии обнаруживаются в местах обогрева теплиц или на крайних к проходам растениях. Сначала обнаруживаются имаго. Повреждения малозаметны, в виде штрихов светлого тона на листьях. После появления личинок через 10–14 дней характер повреждений меняется: листья желтеют, усыхают. Имаго трипсов скапливаются на молодых листьях, а личинки на нижних ярусах.
В связи с низкой поисковой способностью амблисейуса его надо колонизировать в теплицах непосредственно в очагах трипса своевременно, проводя постоянные учеты численности вредителя и хищника.
На огурце при плотности 15–30 личинок трипса на лист выпускают амблисейуса из расчета 3–5:1. При низкой численности жертвы соотношение 1:1 достаточно эффективно.
На сладком перце хищника вносят в очаги трипса в соотношении 1–3:1.
Выпуски амблисейуса осуществляют еженедельно в течение 4–5 недель, внося клеща вместе с субстратом (отрубями) в почву под стебель растения или подвешивая в полиэтиленовом пакете на черешке листа.
Потребность в хищнике для защиты 1 га огурца составляет 1 млн особей, перца – 500 особей за сезон.
Более экономичен однократный массовый выпуск амблисейуса в теплице при первом обнаружении трипсов. Выпускают по 50 самок на заселенные растения, или 1–2 самки на лист.
При сплошном заселении растений (более 50 %) трипсом и низкой его плотности хищника выпускают на все растения: на заселенные 4–5 самок на лист (при численности до 5 имаго трипса на лист), а на незаселенные – по 1–2 самки на лист.
Контрольные вопросы и задания:
1. Опишите жизненный цикл и биологические особенности амблисейуса.
2. Приведите общую блок-схему производства клеща амблисейуса.
3. На каких культурах и в каком соотношении хищник: жертва выпускается амблисейус?
Лабораторная работа № 8. Использование в борьбе с тепличной белокрылкой микробиологических препаратов
Цель работы: рассмотреть пораженных насекомых и изучить технологию получения грибных препаратов и их применение.
Материалы и оборудование: культуры грибов ашерсонии и вертициллиума, предметные и покровные стекла, микроскоп, образцы пораженной грибами белокрылки.
Для борьбы с тепличной белокрылкой большой интерес как достаточно эффективный способ представляет применение энтомопатогенных грибов из родов вертициллиум (Verticillium) и ашерсония (Ashersonia).
8.1. Применение ашерсонии
Ашерсония – представитель энтомопатогенных грибов, относящихся к сборному классу несовершенных грибов. Это тропические виды. Они имеют мясистые стромы с погруженными в них перитециями. Споры бесцветные, веретеновидные. В Россию было интродуцировано из разных стран мира 11 видов и форм ашерсонии. В условиях защищенного грунта наибольшее применение нашли тринидадская, кубинская оранжевая, вьетнамская красная, вьетнамская желтая, китайская оранжевая, индийская кремовая формы. Название форм определяется окраской стром.
Заражение личинок белокрылки происходит при попадании на их тело спор гриба. Затем мицелий заполняет все тело личинки и выходит на поверхность. Образуется плотная пустула, по периферии которой от конидиеносцев отчленяются конидии, погруженные в клейкую жидкость (рис. 22).
С каплями влаги или насекомыми они переносятся по поверхности листьев, заражая новых личинок.
Первые признаки заражения – появление по краям тела личинок желтых пятен. Затем тело вздувается и окружается ореолом белых нитей мицелия. Пустулы обычно расположены на нижней стороне листа, напротив тела пораженной личинки.
В лабораториях ашерсонию выращивают на питательной среде – агаризованном пивном сусле или на неохмеленном жидком сусле. Пивное сусло разводят водой до содержания в нем сахаров 10–11 %, добавляют 2 % агар-агара и с помощью КОН доводят кислотность до pH = 6. Кипятят до растворения агара. Фильтруют и разливают по 80–100 мл в полулитровые колбы. Их закрывают ватно-марлевыми пробками, стерилизуют 30 мин в автоклаве, а затем оставляют для застывания среды. Через сутки проводят микробиологический засев споровой суспензией ашерсонии.
Для приготовления споровой суспензии переносят кусочки мицелия культуры в пробирку со стерильной водой и взбалтывают. Посев проводят микробиологической пипеткой или шприцем – по 1 мл суспензии в бутылку. Все операции ведут в стерильных боксах, облучаемых бактерицидными лампами.
Для прорастания мицелия гриба колбы сначала помещают в темноту на 5–7 дней, затем ставят под светоустановки для образования спороношения. В зависимости от формы ашерсонии при температуре 22–30 °С, влажности 80 %, освещении – 16 часов продолжительность выращивания культуры составляет 25–40 дней. К этому времени на поверхности питательной среды образуется жидкий экссудат, что служит признаком созревания культуры. Готовую культуру можно хранить в холодильниках при 4 °С до 1 года.

Рис. 22. Личинка тепличной белокрылки, пораженная грибом ашерсонией (пустула «мумии» личинки окружена гифами мицелия)
При выращивании на жидком сусле без агара сахаристость доводят до 8–10 %, рН до 5–6, сусло разливают в колбы на 1/5 их объема, стерилизуют и после охлаждения проводят засев спорами гриба. В течение 3–4 суток колбы выдерживают на электрической качалке при 25 °С. Суспензия приобретает густую консистенцию из-за образования мицелия. Ее разливают слоем 1–1,5 см в стерильные эмалированные кюветы и ставят в плотно закрытые шкафы для получения спор на 15–20 дней. Полученную спороносную пленку со среды снимают, высушивают, размалывают и хранят или сразу используют для приготовления суспензии. При выращивании без качалок срок получения спор увеличивается до 30–40 дней. Высушенную пленку можно хранить в холодильниках до 9 месяцев.
При длительном выращивании гриба на ИПС (искусственной питательной среде) наблюдается снижение его вирулентности. Для ее восстановления проводят периодические пассажи гриба через хозяина – белокрылку. Заражают личинок 2-го возраста суспензией спор, полученных из погибших личинок. Так повторяют несколько раз. Затем выделяют чистую культуру гриба: вырезают части листьев с наиболее крупными пустулами, стерилизуют их в слабом растворе молочной кислоты, промывают в дистиллированной воде и готовят маточную культуру гриба. Оздоровление культуры проводят ежегодно перед началом массового производства препарата.
Перед применением готовят суспензию спор гриба с титром не менее 2–5–107 спор в одном мл. Такой титр получают от 3–4 колб с культурой, разбавленной 100 л воды. На 1 тыс. м2 теплиц требуется 200–600 л рабочего раствора в зависимости от размера растений. Растения опрыскивают рабочей суспензией спор сразу же после обнаружения первых личинок белокрылки, а затем ежедекадно. Обычно используют компрессорные опрыскиватели, создающие туманообразный распыл, смачивающий листья с верхней и нижней стороны, где в основном обитает белокрылка. Рабочая жидкость в резервуаре должна постоянно перемешиваться, чтобы споры не оседали.
Споры ашерсонии быстро прорастают в тело личинок белокрылки, поэтому применение гриба можно сочетать с химическим методом борьбы с белокрылкой и другими вредителями и болезнями растений. Ашерсория не заражает энкарзию, поэтому ее можно применять одновременно с выпусками паразита.
8.2. Применение вертициллиума
Энтомопатогенная активность грибов рода вертициллиум известна в отношении многих чешуекрылых, жесткокрылых и равнокрылых. Грибы образуют белый налет, заражая насекомых на стадиях яйца, личинки или имаго. Куколок гриб не поражает. Через 5–6 дней после заражения на теле насекомых появляется коричневое пятно, окаймленное мицелием гриба. На 10-е сутки белый мицелий полностью покрывает тело личинки и может распространятся в радиусе 2–3 см вокруг нее. Пораженное насекомое грифами прикреплено к субстрату.
Гриб развивается в широком диапазоне температур – от 5 до 32 °С. Жизнеспособность спор сохраняется в течение 15 дней, даже при – 15 °С. Оптимальные температуры – 22–26 °С и влажность 95–100 %. Кратковременное снижение влажности не снижает эффективности паразитического гриба.
Методика получения вертициллина состоит в получении маточной культуры, приготовлении субстрата, засеве его маточной культурой, культивировании, приготовлении и использовании рабочей суспензии спор гриба. Для выделения штамма (чистой культуры) используют больных насекомых, которых помещают на суслоагаровую питательную среду в стерильные пробирки. Через 5–6 дней на поверхности ИПС образуется белый налет, кусочки которого переносят в полулитровые колбы (банки) со средой. Еще через 7–8 суток приготовляют маточную культуру – суспензию спор для засева субстрата. В качестве субстрата можно использовать отходы зерна ячменя после выращивания на нем зерновой моли при производстве трихограммы. Эти отходы просушивают и хранят в сухом помещении в бумажных мешках.
Для приготовления препарата в колбы насыпают 5–6 столовых ложек отходов ячменя и добавляют 120–130 мл воды для набухания, закрывают пробками и оставляют на 10–12 часов, затем автоклавируют 2 часа при давлении 2 атм. Затем стерильное зерно равномерно распределяют по дну колб. Через 10 часов его засевают, добавляя по 2–3 мл споровой маточной суспензии и тщательно перемешивают встряхиванием. Колбы кладут горизонтально на стеллажи для прорастания спор. На 4–5-е сутки их переворачивают, чтобы мицелий равномерно пророс через зерно. Через 2–3 недели, когда зерно полностью пронизывается мицелием и образует обильное спороношение, культура готова для применения.
Рабочую суспензию готовят путем тщательной промывки зерна водопроводной водой до титра 2–3х108 спор в 1 мл (зерно из 3–4 колб). Суспензию фильтруют и опрыскивают растения в вечерние часы, когда белокрылка находится в состояние покоя на нижней стороне листьев. Опрыскивание 3–4-кратное. Гриб вирулентен для энкарзии, поэтому совместно с ней не применяется.
Контрольные вопросы и задания:
1. Составьте самостоятельно блок-схемы разведения культур грибов ашерсонии и вертициллиума.
2. Расскажите о биологических особенностях грибов, поражающих белокрылку.
3. Возможно ли применение энтомопатогенов против белокрылки совместно с энкарзией?
Лабораторная работа № 9. Технология разведения и применения алеохары
Цель работы: изучить технологию разведения алеохары в борьбе с капустными мухами в защищенном грунте.
Материалы и оборудование: коллекционные образцы алеохары и мух-цветочниц (капустной, свекловичной, луковичной), бинокуляры.
9.1. Биологические особенности алеохары
Алеохара двуполосая (Aleochara bilineata Gyllh.) жук из семейства стафилинид (Staphilinidae). Одновременно является паразитом и хищником. Жуки питаются личинками и яйцами капустных и других мух-цветочниц, а личинки – паразиты пупариев, внутри которых питаются куколками мух (рис. 23).
Самки откладывают до 800 шт яиц в почву. Отродившиеся личинки отыскивают пупарии мух и внедряются в них. Предпочитают питаться мухами семейства цветочниц (весенняя и летняя капустные мухи, луковая, свекловичная мухи и др.).
Зараженность пупариев может достигать 85 %. В природных условиях алеохара двуполосая широко распространена и имеет от первого до четвертого поколений. При 20–25 °С одна генерация развивается 20–33 дня. Это наиболее эффективный природный энтомофаг капустных мух, но из-за позднего вылета алеохары весной первое поколение мух успевает нанести вред и «уйти» от заражения алеохарой.
ВИЗР разработаны методы лабораторно-промышленного разведения алеохары и ее колонизации в открытом и защищенном грунте. Технология разведения алеохары состоит в следующем: разведение весенней капустной мухи, заготовка и содержание лабораторного материала алеохары, заражение пупариев алеохарой, выращивание личинок алеохары, содержание жуков, хранение жуков, выпуск.

Рис. 23. Алеохара двуполосая
9.2. Разведение весенней капустной мухи
Взрослых мух содержат в трехъярусных деревянных садках, обтянутых марлей или мельничным газом (размер каждой секции садка 50x50x50 см). В одну из стенок вшит матерчатый рукав, дно садка из оргстекла. По бокам садков расположены люминесцентные лампы. В помещении поддерживается температура днем 22–25 °С, ночью 15–18 °С. Относительная влажность воздуха 60–70 %. В каждой секции содержится до 100 мух. Их подкармливают 10 %-ным раствором сахара и автолизатом пивных дрожжей. Ватные тампоны с этим раствором кладут в садки на чашках Петри и сменяют ежедневно.
Откладка яиц начинается на 4-6-й день после отрождения мух. В садки помещают чашки Петри с ломтиками черной редьки или других крестоцветных, расположенных на кружочках черной бумаги. На корм кладут ватные тампоны, смоченные водой, чтобы он не высыхал. Обычно самки откладывают яйца на растения. Яйца собирают ежедневно, сметая кисточкой, взвешивают, чтобы определить количество: 100 яиц весят 60 мг.
Личинок мух выращивают на корнеплодах редьки или других крестоцветных в деревянных ящиках размером 50x50x20 см (рассадные ящики). На дно насыпают прокаленный и увлажненный песок, а на него хорошо промытые неповрежденные здоровые корнеплоды. Яйца рассыпают равномерно с помощью перечницы или солонки из расчета 1 яйцо мухи на 2 г корма. Отродившиеся личинки внедряются в корнеплоды, а на окукливание уходят в песок. При сборе пупариев песок просеивают или промывают. С одного ящика получают 2–3 тыс. пупариев.
Развитие поколения мухи проходит за 35–37 дней. Перед загрузкой новой партии песка, овощей и мух ящики дезинфицируют 5 %-ным раствором формалина. Автоклавируют также все инструменты, чашки Петри и материалы. Если мухи в садке поражены энтомофторозом, то дезинфицируют и яйца в течение 5 мин 2 %-ным раствором формалина. Затем промывают их в проточной воде. От трех садков за 3 летних месяца получают более 1,5 млн яиц и 500 тыс. пупариев.
9.3. Содержание маточного материала алеохары
Маточный материал заготавливают с осени при сборе пупариев капустной мухи. Из собранных в природе летом (в июне – июле) пупариев алеохара быстро отрождается и активно заражает лабораторных мух. Осенью алеохара впадает в диапаузу в пупариях хозяина, и для ее реактивации требуется 2–3 месяца. Отродившихся молодых жуков содержат в 20-30-литровых банках (цилиндрах). Можно использовать и меньшие емкости. На дно садков помещают увлажненный песок и (или) увлажненный черный ситец. Кормят жуков измельченными личинками капустной, комнатной и других мух или свинным фаршем. К мясу добавляют аскорбиновую кислоту (4–5 г на 100 г).
Для заражения пупариев капустной мухи жуков используют многократно в течение их жизни.
Для разведения алеохары используют те же ящики, что и для разведения капустных мух. В ящик с влажным песком помещают 2 тыс. свежих пупариев мухи и выпускают 150 жуков. Алеохара спаривает и откладывает яйца.
В ящики помещают бумажные кормушки с пищей для жуков, меняя через 3–4 дня. Песок увлажняют. Через 7 дней жуков выбирают из ящика и пересаживают в другой. Песок с пупариями перекладывают в стеклянный цилиндр на 12–15 дней. Нельзя допускать пересыхания песка, так как личинки алеохары при пересыхании грунта погибают. В 1 пупарии мухи развивается в среднем 2 личинки алеохары.
9.4. Хранение и применение алеохары
Хранить алеохару лучше на стадии имаго или предимаго в стеклянных сосудах. Дно сосудов покрывают слоем влажного песка или ткани. В 10-литровый цилиндр помещают 2000 жуков алеохары, ставят кормушку с пищей. Раз в 10 дней сосуд вынимают из холодильника на 2–3 часа и при 25 °С проводят кормление.
Жуков алеохары выпускают для защиты капусты от мух в открытом и защищенном грунте.
Из-за растянутости периода лёта капустной мухи жуков выпускают в 3 срока: в начале откладки яиц мухой, в период массовой яйцекладки и еще через 7 дней. При численности мух не более 20 яиц на растение (ЭПВ) норма выпуска алеохары должна составлять 10–30 тыс. экз/га. Биологическая эффективность при этом достигает 85–90 %. Жуков выпускают в 20 точках на 1 га поля.
В закрытом грунте эффективность алеохары достигает 100 %, при защите редиса и рассады капусты, а также салатных сортов капусты от весенней капустной мухи при норме выпуска 100–200 жуков на 100 м2 (рис. 24).

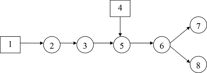
Рис. 24. Блок-схема разведения алеохары
1 – разведение в садках капустной мухи; 2 – сбор яиц мухи;
3 – выращивание личинок мух; 4 – содержание маточной культуры алеохары; 5 – заражение пупариев мух хищником; 6 – получение алеохары; 7 – хранение жуков; 8 – применение (выпуск)
Контрольные вопросы и задания:
1. Расскажите о жизненном цикле и биологических особенностях алеохары.
2. Опишите технологию разведения весенней капустной мухи.
3. В каких условиях содержат маточный материал алеохары?
4. При какой численности капустной мухи производят выпуск алеохары?
Лабораторная работа № 10. Технология разведения и применения кокцинеллид и златоглазок
Цель работы: рассмотреть стадии развития кокцинеллид и златоглазок, записать методики их размножения и блок-схемы технологических процессов.
Материал и оборудование: бинокулярные микроскопы, коллекции кокцинеллид и златоглазок, таблицы, кинофильм.
К числу перспективных энтомофагов во всех типах агроценозов и в различных природно-климатических зонах СНГ относятся кокцинеллиды, или тлевые коровки, уничтожающие тлей на овощных, плодовых, технических, зерновых культурах. Преимуществом тлевых коровок является то, что они питаются тлями во взрослом и личиночном состоянии, обитают в разных экологических нишах, легко восстанавливают численность, часто размножаясь в массовых количествах, поддаются интродукции и акклиматизации. Их используют для борьбы с тлями, червецами и щитовками, белокрылками, паутинными клещами. На территории СНГ обитают более 250 видов кокцинеллид. В степной зоне встречаются 7-точечная, изменчивая, 2-точечная, 11-точечная, хилокорусы, 5-точечная и другие виды коровок.
В последние годы кокцинеллид стали использовать для борьбы с тлями в теплицах, в комплексе со златоглазками и галлицами. Применение их в открытом грунте сдерживается отсутствием механизированных линий для наработки массовых количеств.
Разводят в лабораториях главным образом три вида кокцинеллид – 7-точечную, 2-точечную и интродуцированную с Кубы циклонеду. Против бахчевой и персиковой тлей на огурцах наиболее эффективной оказалась изменчивая коровка. Циклонеда имеет преимущество в том, что развивается круглый год без диапаузы. Личинок коровок расселяют в теплицах при появлении первых колоний персиковой тли в соотношении «хищник: жертва» 1:15–20. Выпуски повторяют каждые 8 дней. Биологическая эффективность этого приема достигает 70 %.
10.1. Разведение кокцинеллид
Разведение на естественном корме. В качестве корма для большинства видов коровок наиболее приемлема бобовая и гороховая тли, а также оранжерейная. Тлю разводят на растениях бобов, гороха или корнеплодах свеклы. Для выращивания растений используют отдельные боксы в теплице площадью обычно не менее 12 м2. На высоте 100–120 см устанавливают стеллажи, а над ними на высоте 40 см – 40-ваттные лампы дневного света. В боксе поддерживают температуру 22–24 °С, влажность воздуха 60–70 %, фотопериод – 17 часов. Горох или бобы замачивают на сутки, промывают, помещают слоями, разделенными марлей, в стеклянные кюветы, плотно закрывают стеклом. Через 3 дня, когда длина корешков достигнет 2–3 см, их высаживают в пластмассовые ящики, заполненные почвой, песком или пенопластом, обильно поливают. Растения заселяют тлей до развертывания листьев. За 5–7 дней на одном растении гороха развиваются в среднем 150 особей тли.
Бобовая тля развивается быстрее гороховой и может вытеснять ее. Поэтому разные виды тли выращивают в разных боксах. Бобовая тля сильнее поражается паразитами и мельче гороховой. Оранжерейную тлю разводят на проращиваемых корнеплодах свеклы, плотно посаженных во влажный песок или грунт. Предложено также выкармливать кокцинеллид злаковой тлей, выращиваемой на загущенных проростках зерновых.
С весны для разведения кокцинеллид можно использовать и природную тлю, собирая ее с осота, пастушьей сумки, лопуха, бобовых, кустарников. Природную тлю замораживают для хранения при -10-13 ºС или высушивают, хотя это снижает качество корма.
Заменителями тлей могут быть яйца мельничной огневки, мух, личинки медоносных пчел и трутней. В биолабораториях, занимающихся разведением кокцинеллид, надо иметь запас сухой цветочной пыльцы, которую коровки могут поедать при отсутствии тли. Короткое время имаго кокцинеллид могут питаться только 15 %-ным раствором меда или сахара.
При разведении коровок содержат в деревянных садках с открывающейся дверцей, затянутых марлей или капроном. Оптимальные размеры садка 50×50×70 см3. В них содержат до 1000 жуков.
Новую и оригинальную конструкцию садков создали ученые ВИЗР: на круглую кювету диаметром 50 см и высотой бортов 5 см надевается треугольный изолятор из мельничного газа размером 156×65 см. В боковой шов изолятора вшита застежка-молния. На кювету изолятор надевается с помощью резинки, пришитой к его основанию. Емкость садка 27 л. В нем можно содержать до 700 имаго и до 1000 личинок кокцинеллид. Превышение плотности жуков в садках разных типов вызывает появление миграционной реакции у жуков и старение популяции.
Кормом для коровок в садках служат тли. Кюветы с заселенными тлей растениями ставят в садки на 4–5 дней, а затем сменяют на новые или по мере необходимости подсаживают тлю. В садки помещают также куски марли, ваты, бумаги, на которую самки откладывают яйца. Циклонеда предпочитает черную бумагу. Яйца коровок собирают ежедневно и помещают в чашки Петри, куда кладут листочки растений с тлей. Если тли не будет, личинки уничтожат друг друга. Выпускают в теплицы личинок уже после первой линьки во 2-й возраст.
Для воспроизводства лабораторной популяции личинок помещают в садки с кормом, где они развиваются до окукливания и отрождения жуков (рис. 25).

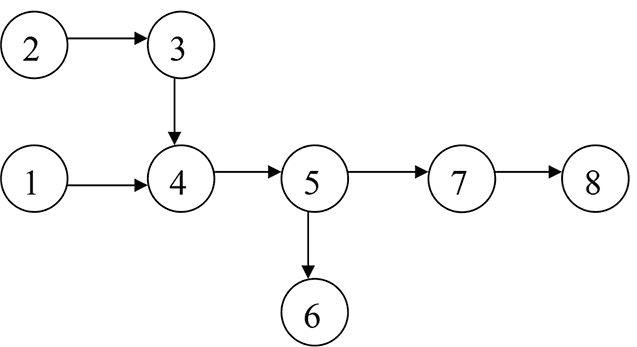
Рис. 25. Блок-схема разведения кокцинеллид в биолабораториях:
1 – сбор коровок в природе; 2 – выращивание кормовых растений для тли; 3 – заселение растений тлей; 4 – содержание имаго коровок и сбор яиц; 5 – содержание личинок коровок; 6 – выпуск личинок 2-го возраста; 7 – получение куколок; 8 – воспроизведение популяции (имаго)
Разведение на искусственных питательных средах. Выращивать тлевых коровок на искусственных питательных средах (ИПС) проще, чем разводить для них естественный корм. Недостатком ИПС является то, что уже через два поколения коровки теряют способность откладывать яйца, удлиняется период развития личинок. Поэтому питательные среды для кокцинеллид являются полусинтетическими. Их рецепты были разработаны ВИЗР.
Полусинтетическая среда для личинок 7-точечной коровки состоит из пивных дрожжей, в которые добавляются сырая говяжья печень, соль Вессона (комплекс минеральных элементов), агар, сахароза, кукурузное масло, кокосовое масло, холестерин, козеин, аминокислоты – цестин, глицин, глютаминовая кислота, витамины B1, B2, В12, инозит, токоферол, парааминобензойная кислота, пантотеиновая кислота, холинхлорид, биотин, фолиевая кислота. На этой среде личинки развиваются в 2 раза медленнее, чем на естественной пище. Добавление высушенных бобовых тлей ускоряет развитие. Свежие или высушенные бобовые тли необходимы также для размножения имаго 7-точечной коровки.
Для имаго искусственная питательная среда состоит из козеина, сухого молока, сухой и свежезамороженной тли, сахарозы, кукурузного и кокосового масла, автолизата пивных дрожжей, соли Вессона, цестина, токоферола, агара.
Питательные среды для 14-точечной пропилеи и циклонеды составлены из соевой муки и бабочек ситотроги. К ней также добавляют растительные масла, витамины, аминокислоты. Эта среда слабо снижает жизнеспособность коровок. Она может применяться даже в высушенном и измельченном виде, что устраняет необходимость ежедневной замены корма из-за его плесневения.
Такие среды необходимо иметь в биолабораториях на те периоды, когда естественного корма недостаточно. Чередование при выкормке естественного корма и питательных сред значительно ускоряет процесс разведения кокцинеллид и упрощает их разведение.
Для промышленного разведения кокцинеллид необходима разработка и внедрение автоматических линий по производству тли. Во Франции и США такое производство коровок налажено, и там осуществляют массовые выпуски кокцинеллид в открытом грунте – садах, на картофеле, хлопчатнике и т. д.
Во Франции в садах выпускают по 700-1000 имаго 2-точечной коровки против зеленой яблонной тли. Через 2 недели ее численность с 3 баллов снижается до 1. Личинок 7-точечной коровки по 75,5 тыс/га применяют в США против тлей на картофеле.