Читать книгу "Анализ финансово-хозяйственной деятельности"
Денис Александрович Шевчук
Анализ и диагностика финансово-хозяйственной деятельности предприятия
Тема 1. Ведение в экономический анализ
1.1. Понятие экономического анализа
Менеджер – наемный управленец, начальник!
Если у вас нет ни одного подчиненного – вы не менеджер, а максимум специалист!
Денис Шевчук
Предмет экономического анализа – хозяйственные процессы предприятий, их социально-экономическая эффективность и конечные финансовые результаты деятельности, складывающиеся под воздействием объективных и субъективных факторов, находящие отражение через систему экономической информации.
Предмет экономического анализа определяет стоящие перед ним задачи. Среди основных:
• повышение научно-экономической обоснованности бизнес-планов, бизнес-процессов и нормативов в процессе их разработки;
• объективное и всестороннее исследование выполнения бизнес-планов, бизнес-процессов и соблюдения нормативов;
• определение эффективности использования трудовых и материальных ресурсов;
• контроль за осуществлением требований коммерческого расчета;
• выявление и измерение внутренних резервов на всех стадиях производственного процесса;
• проверка оптимальности управленческих решений.
Экономический анализ как наука представляет собой систему специальных знаний, базирующихся на законах развития и функционирования систем и направленных на познание методологии оценки, диагностики и прогнозирования финансово-хозяйственной деятельности предприятия.
Экономический анализ является необходимым элементом управления экономикой. В зависимости от потребностей управления можно выделить виды анализа (табл.1).
На практике отдельные виды экономического анализа встречаются редко.
В процессе управления для обоснования принимаемых решений используется совокупность различных видов экономического анализа. Например, рыночная экономика характеризуется динамичностью ситуаций внешней и внутренней среды деятельности предприятия. В этих условиях важная роль отводится оперативному анализу. Его отличительными чертами являются комплексность, компьютерная обработка оперативных информационных массивов, использование его результатов на уровне отдельных функциональных служб предприятия в виде ориентированной фрагментарной информации.
Таблица 1. Классификация видов экономического анализа

Метод экономического анализа представляет собой способ подхода к изучению хозяйственных процессов в их плавном развитии.
Характерными особенностями метода экономического анализа являются:
• определение системы показателей, всесторонне характеризующих хозяйственную деятельность организаций;
• установление соподчиненности показателей с выделением совокупных результативных факторов и факторов (основных и второстепенных), на них влияющих;
• выявление формы взаимосвязи между факторами;
• выбор приемов и способов для изучения взаимосвязи;
• количественное измерение влияния факторов на совокупный показатель.
Совокупность приемов и способов, которые применяются при изучении хозяйственных процессов, составляет методику экономического анализа.
Методика экономического анализа базируется на пересечении трех областей знаний: экономики, статистики и математики.
К экономическим методам анализа относят сравнение, группировку, балансовый и графический методы.
Статистические методы включают в себя использование средних и относительных величин, индексный метод, корреляционный и регрессивный анализ и др.
Математические методы можно разделить на три группы: экономические (матричные методы, теория производственных функций, теория межотраслевого баланса); методы экономической кибернетики и оптимального программирования (линейное, нелинейное, динамическое программирование); методы исследования операций и принятия решений (теория графов, теория игр, теория массового обслуживания).
1.2. Характеристика основных приемов и методов экономического анализа
Чтение книг – престижно, современно, выгодно.
Знания – тоже капитал, который всегда с тобой.
Шевчук Денис
Сравнение – сопоставление изучаемых данных и фактов хозяйственной жизни. Различают горизонтальный сравнительный анализ, который применяется для определения абсолютных и относительных отклонений фактического уровня исследуемых показателей от базового; вертикальный сравнительный анализ, используемый для изучения структуры экономических явлений; трендовый анализ, применяемый при изучении относительных темпов роста и прироста показателей за ряд лет к уровню базисного года, т. е. при исследовании рядов динамики.
Обязательным условием сравнительного анализа является сопоставимость сравниваемых показателей, предполагающая:
• единство объемных, стоимостных, качественных, структурных показателей;
• единство периодов времени, за которые производится сравнение;
• сопоставимость условий производства;
• сопоставимость методики исчисления показателей.
Средние величины – исчисляются на основе массовых данных о качественно однородных явлениях. Они помогают определять общие закономерности и тенденции в развитии экономических процессов.
Группировки – используются для исследования зависимости в сложных явлениях, характеристика которых отражается однородными показателями и разными значениями (характеристика парка оборудования по срокам ввода в эксплуатацию, по месту эксплуатации, по коэффициенту сменности и т. д.)
Балансовый метод состоит в сравнении, соизмерении двух комплексов показателей, стремящихся к определенному равновесию. Он позволяет выявить в результате новый аналитический (балансирующий) показатель.
Например, при анализе обеспеченности предприятия сырьем сравнивают потребность в сырье, источники покрытия потребности и определяют балансирующий показатель – дефицит или избыток сырья.
Как вспомогательный, балансовый метод используется для проверки результатов расчетов влияния факторов на результативный совокупный показатель. Если сумма влияния факторов на результативный показатель равна его отклонению от базового значения, то, следовательно, расчеты проведены правильно. Отсутствие равенства свидетельствует о неполном учтете факторов или о допущенных ошибках:

где у – результативный показатель; x– факторы; Δу (хi) – отклонение результативного показателя за счет фактора хi.
Балансовый метод применяют также для определения размера влияния отдельных факторов на изменение результативного показателя, если известно влияние остальных факторов:

Графический способ. Графики являются масштабным изображением показателей и их зависимости с помощью геометрических фигур.
Графический способ не имеет в анализе самостоятельного значения, а используется для иллюстрации измерений.
Индексный метод основывается на относительных показателях, выражающих отношение уровня данного явления к его уровню, взятому в качестве базы сравнения. Статистика называет несколько видов индексов, которые применяются при анализе: агрегатные, арифметические, гармонические и т. д.
Использовав индексные пересчеты и построив временной ряд, характеризующий, например, выпуск промышленной продукции в стоимостном выражении, можно квалифицированно проанализировать явления динамики.
Метод корреляционного и регрессионного (стохастического) анализа широко используется для определения тесноты связи между показателями не находящимися в функциональной зависимости, т. е. связь проявляется не в каждом отдельном случае, а в определенной зависимости.
С помощью корреляции решаются две главные задачи:
• составляется модель действующих факторов (уравнение регрессии);
• дается количественная оценка тесноты связей (коэффициент корреляции).
Матричные модели представляют собой схематическое отражение экономического явления или процесса с помощью научной абстракции. Наибольшее распространение здесь получил метод анализа «затраты-выпуск», строящийся по шахматной схеме и позволяющий в наиболее компактной форме представить взаимосвязь затрат и результатов производства.
Математическое программирование – это основное средство решения задач по оптимизации производственно-хозяйственной деятельности.
Метод исследования операций направлен на изучение экономических систем, в том числе производственно-хозяйственной деятельности предприятий, с целью определения такого сочетания структурных взаимосвязанных элементов систем, которое в наибольшей степени позволит определить наилучший экономический показатель из ряда возможных.
Теория игр как раздел исследования операций – это теория математических моделей принятия оптимальных решений в условиях неопределенности или конфликта нескольких сторон, имеющих различные интересы.
1.3. Методика факторного анализа
Чтение – вот лучшее учение! Книгу ничто не заменит.
Все явления и процессы хозяйственной деятельности предприятий находятся во взаимосвязи и взаимообусловленности. Одни из них непосредственно связаны между собой, другие косвенно. Отсюда важным методологическим вопросом в экономическом анализе является изучение и измерение влияния факторов на величину исследуемых экономических показателей.
Под экономическим факторным анализом понимается постепенный переход от исходной факторной системы к конечной факторной системе, раскрытие полного набора прямых, количественно измеримых факторов, оказывающих влияние на изменение результативного показателя.
По характеру взаимосвязи между показателями различают методы детерминированного и стохастического факторного анализа.
Детерминированный факторный анализ представляет собой методику исследования влияния факторов, связь которых с результативным показателем носит функциональный характер.
Основные свойства детерминированного подхода к анализу:
• построение детерминированной модели путем логического анализа;
• наличие полной (жесткой) связи между показателями;
• невозможность разделения результатов влияния одновременно действующих факторов, которые не поддаются объединению в одной модели;
• изучение взаимосвязей в краткосрочном периоде.
Различают четыре типа детерминированных моделей:
Аддитивные модели представляют собой алгебраическую сумму показателей и имеют вид:

К таким моделям, например, относятся показатели себестоимости во взаимосвязи с элементами затрат на производство и со статьями затрат; показатель объема производства продукции в его взаимосвязи с объемом выпуска отдельных изделий или объема выпуска в отдельных подразделениях.
Мультипликативные модели в обобщенном виде могут быть представлены формулой:

Примером мультипликативной модели является двухфакторная модель объема реализации:

где Ч – среднесписочная численность работников;
CB – средняя выработка на одного работника.
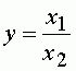
Кратные модели:

Примером кратной модели служит показатель срока оборачиваемости товаров (в днях). ТОБ.Т:

где ЗТ – средний запас товаров; ОР – однодневный объем реализации.
Смешанные модели представляют собой комбинацию перечисленных выше моделей и могут быть описаны с помощью специальных выражений:

Примерами таких моделей служат показатели затрат на 1 руб. товарной продукции, показатели рентабельности и др.
Для изучения зависимости между показателями и количественного измерения множества факторов, повлиявших на результативный показатель, приведем общие правила преобразования моделей с целью включения новых факторных показателей.
Для детализации обобщающего факторного показателя на его составляющие, которые представляют интерес для аналитических расчетов, используют прием удлинения факторной системы.
Если исходная факторная модель:

а:

то модель примет вид:

Для выделения некоторого числа новых факторов и построения необходимых для расчетов факторных показателей применяют прием расширения факторных моделей. При этом числитель и знаменатель умножаются на одно и тоже число:

Для построения новых факторных показателей применяют прием сокращения факторных моделей. При использовании данного приема числитель и знаменатель делят на одно и то же число.

Детализация факторного анализа во многом определяется числом факторов, влияние которых можно количественные оценить, поэтому большое значение в анализе имеют многофакторные мультипликативные модели. В основе их построения лежат следующие принципы:
• место каждого фактора в модели должно соответствовать его роли в формировании результативного показателя;
• модель должна строиться из двухфакторной полной модели путем последовательного расчленения факторов, как правило качественных, на составляющие;
• при написании формулы многофакторной модели факторы должны располагаться слева направо в порядке их замены.
Построение факторной модели – первый этап детерминированного анализа. Далее определяют способ оценки влияния факторов.
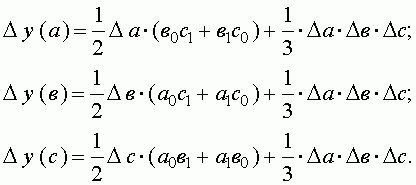
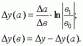
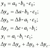
Способ цепных подстановок заключается в определении ряда промежуточных значений обобщающего показателя путем последовательной замены базисных значений факторов на отчетные. Данный способ основан на элиминировании. Элиминировать – значит устранить, исключить воздействие всех факторов на величину результативного показателя, кроме одного. При этом исходя из того, что все факторы изменяются независимо друг от друга, т. е. сначала изменяется один фактор, а все остальные остаются без изменения. потом изменяются два при неизменности остальных и т. д.
В общем виде применение способа цепных постановок можно описать следующим образом:

где a0, b0, c0 – базисные значения факторов, оказывающих влияние на обобщающий показатель у;
a1, b1, c1 – фактические значения факторов;
ya, yb, – промежуточные изменения результирующего показателя, связанного с изменением факторов а, b, соответственно.
Общее изменение Δу = у1 – у0 складывается из суммы изменений результирующего показателя за счет изменения каждого фактора при фиксированных значениях остальных факторов:

Рассмотрим пример:
Таблица 2. Исходные данные для факторного анализа

Анализ влияния на объем товарной продукции количества работников и их выработки проведем описанным выше способом на основе данных табл.2. Зависимость объема товарной продукции от данных факторов можно описать с помощью мультипликативной модели:

Тогда влияние изменения величины количества работников на обобщающий показатель можно рассчитать по формуле:

Далее определим влияние изменения выработки работников на обобщающий показатель:

Таким образом, на изменение объема товарной продукции положительное влияние оказало изменение на 5 человек численности работников, что вызвало увеличение объема продукции на 730 тыс. руб. и отрицательное влияние оказало снижение выработки на 10 тыс. руб., что вызвало снижение объема на 250 тыс. руб. Суммарное влияние двух факторов привело к увеличению объема продукции на 480 тыс. руб.
Преимущества данного способа: универсальность применения, простота расчетов.
Недостаток метода состоит в том, что, в зависимости от выбранного порядка замены факторов, результаты факторного разложения имеют разные значения. Это связано с тем, что в результате применения этого метода образуется некий неразложимый остаток, который прибавляется к величине влияния последнего фактора. На практике точностью оценки факторов пренебрегают, выдвигая на первый план относительную значимость влияния того или иного фактора. Однако существуют определенные правила, определяющие последовательность подстановки:
• при наличии в факторной модели количественных и качественных показателей в первую очередь рассматривается изменение количественных факторов;
• если модель представлена несколькими количественными и качественными показателями, последовательность подстановки определяется путем логического анализа.
Под количественным факторами при анализе понимают те, которые выражают количественную определенность явлений и могут быть получены путем непосредственного учета (количество рабочих, станков, сырья и т. д.).
Качественные факторы определяют внутренние качества, признаки и особенности изучаемых явлений (производительность труда, качество продукции, средняя продолжительность рабочего дня и т. д.).
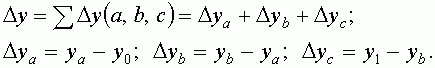
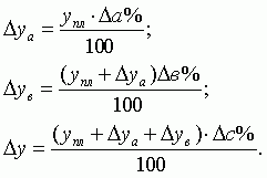
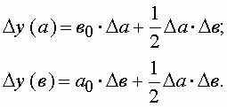
Способ абсолютных разниц является модификацией способа цепной подстановки. Изменение результативного показателя за счет каждого фактора способом разниц определяется как произведение отклонения изучаемого фактора на базисное или отчетное значение другого фактора в зависимости от выбранной последовательности подстановки:

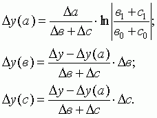
Способ относительных разниц применяется для измерения влияния факторов на прирост результативного показателя в мультипликативных и смешанных моделях вида у = (а – в). с. Он используется в случаях, когда исходные данные содержат определенные ранее относительные отклонения факторных показателей в процентах.
Для мультипликативных моделей типа у = а. в. с методика анализа следующая:
• находят относительное отклонение каждого факторного показателя:

• определяют отклонение результативного показателя у за счет каждого фактора:

Пример. Воспользовавшись данными табл. 2, проведем анализ способом относительных разниц. Относительные отклонения рассматриваемых факторов составят:

Рассчитаем влияние на объем товарной продукции каждого фактора:

Результаты расчетов те же, что и при использовании предыдущего способа.
Интегральный метод позволяет избежать недостатков, присущих методу цепной подстановки, и не требует применения приемов по распределению неразложимого остатка по факторам, т. к. в нем действует логарифмический закон перераспределения факторных нагрузок. Интегральный метод позволяет достигнуть полного разложения результативного показателя по факторам и носит универсальный характер, т. е. применим к мультипликативным, кратным и смешанным моделям. Операция вычисления определенного интеграла решается с помощью ПЭВМ и сводится к построению подынтегральных выражений, которые зависят от вида функции или модели факторной системы.
Можно использовать также уже сформированные рабочие формулы, приводимые в специальной литературе (4):
1. Модель вида:


2. Модель вида:


3. Модель вида:


4. Модель вида:


Рассмотрим возможность использования основных методов детерминированного анализа, обобщив вышеизложенное в виде матрицы (табл.3).
Таблица 3. Матрица применения способов детерминированного факторного анализа

Тема 2. Анализ производства и реализации продукции
2.1. Анализ формирования и выполнения производственной программы
2.1.1. Анализ объема продукции
2.1.2. Анализ ассортимента продукции
2.1.3. Анализ структуры продукции
2.2. Анализ качества продукции
2.3. Анализ ритмичности выпуска продукции
2.4. Анализ выполнения договорных обязательств и реализации продукции
Предприятия самостоятельно планируют свою деятельность на основе договоров, заключенных с потребителями продукции и поставщиками материально-технических ресурсов, и определяют перспективы развития исходя из спроса на производимую продукцию, работы и услуги. В своей деятельности предприятия обязаны учитывать интересы потребителя и его требования к качеству поставляемой продукции и услуг.
Как считает Заместитель генерального директора «Кредитный брокер INTERFINANCE» (ИПОТЕКА * КРЕДИТОВАНИЕ БИЗНЕСА) Шевчук Денис (www.denisсredit.ru), анализ работы промышленных предприятий начинают с изучения показателей выпуска продукции, который предполагает следующие этапы:
1. Анализ формирования и выполнения производственной программы;
1.1. Анализ объема продукции;
1.2. Анализ ассортимента продукции;
1.3. Анализ структуры продукции;
2. Анализ качества продукции;
3. Анализ ритмичности производства;
4. Анализ выполнения договорных обязательств и реализации продукции.
Источники информации: плановые и оперативные планы-графики, данные текущей и годовой отчетности (ф.1-П «Отчет предприятия (объединения) по продукции, ф. № 1 „Баланс предприятия“, ф. № 2 „Отчет о прибылях и убытках“; данные текущего бухгалтерского и статистического учета (ведомость № 16 „Движение готовых изделий, их отгрузка и реализация“, журнал ордер № 1, карточки складского учета готовой продукции и др.)
Объем производства промышленной продукции может выражаться в натуральных, условно-натуральных и статистических измерителях. Обобщающие показатели объема производства продукции получают с помощью стоимостной оценки – в оптовых ценах.
Основными показателями объема производства являются товарная и валовая продукция.
Валовая продукция – стоимость всей продукции и выполненных работ, включая незавершенное производство, выраженная в сопоставимых ценах.
Товарная продукция – валовая продукция за минусом внутризаводского оборота и незавершенного производства.
Реализованная продукция – стоимость реализованной продукции, отгруженной и оплаченной покупателями.