Текст книги "Проблемы эффективности государственного управления. Человеческий капитал территорий: проблемы формирования и использования"
Автор книги: Елена Чекмарева
Жанр: Экономика, Бизнес-Книги
Возрастные ограничения: +12
сообщить о неприемлемом содержимом
Текущая страница: 2 (всего у книги 11 страниц) [доступный отрывок для чтения: 2 страниц]
1.2. Трудовой потенциал и человеческий капитал: общее и особенное
Необходимость теоретического осмысления новейших аспектов категории человеческого потенциала и его подсистем – трудового потенциала, человеческого капитала – основывается на значительном усилении роли человеческого фактора во всех областях развития экономики и общества. Эти проблемы вызывают значительный исследовательский интерес, требуют системного концептуального изучения и поиска путей их решения.
Трудовой потенциал – одна из ключевых подсистем человеческого потенциала, его ядро. От формирования, распределения и использования трудового потенциала регионов зависит не только эффективное воспроизводство человеческого потенциала страны, но и возможности ускорения темпов догоняющего развития, перехода из разряда «развивающихся экономик» в «развитые». Кроме того, в условиях затянувшегося демографического кризиса стратегически важным становится поиск резервов и потенциальных возможностей для устойчивого экономического роста в ситуации дефицита трудовых ресурсов. Такие резервы скрыты в процессе реализации трудового потенциала.
Трудовой потенциал – это совокупность всех трудовых возможностей как отдельного человека, так и различных групп работников и общества в целом. В отличие от трудовых ресурсов, определяющих количество и структуру труда, трудовой потенциал характеризует его качество и потенциальные возможности. Качественная характеристика трудового потенциала включает физическую, интеллектуальную и социальную составляющие. Развитие трудового потенциала определяется интеллектуальной составляющей, а именно развитием в стране системы образования и накоплением на этой основе человеческого капитала.
Трудовой потенциал и человеческий капитал взаимосвязаны, что определяется включением человека в общественное производство. В основе структуры человеческого потенциала лежит рабочая сила, под которой понимается совокупность физических и духовных способностей, которыми обладает живая личность человека и которые используются им всякий раз, когда он производит какие-либо потребительные стоимости (рис. 1.2.1).

Рисунок 1.2.1. Структура человеческого потенциала и основные факторы его развития
В современных условиях, когда в мире высоко котируется интеллект, творчество, самобытность личности, качество рабочей силы становится одним из решающих факторов современного производства. При этом для совокупной рабочей силы должен быть закономерным интерес к творчеству и постоянное участие в новаторском поиске. Этого можно ожидать только от высокоразвитой, высококультурной рабочей силы, трудового потенциала общества.
Понятие «трудовой потенциал» появилось в научных публикациях начала 1980-х годов ХХ в. Вопросы его формирования и использования обсуждались не только экономистами, но и демографами, философами, социологами и специалистами в других областях знаний. Вследствие этого появилось большое количество точек зрения на толкование новой экономической категории. Дискуссии по поводу сущности трудового потенциала способствовали углублению его конкретно-экономического анализа и заложили основы перехода к детальному изучению трудовых ресурсов по разным признакам. Проблеме трудового потенциала посвящены монографии А. С. Панкратова «Управление воспроизводством трудового потенциала» (М., 1988), Р. П. Колосовой «Трудовой потенциал промышленности» (М., 1987), Н. А. Иванова, Ю. Г. Одегова и К. Л. Андреева «Трудовой потенциал промышленного предприятия» (Саранск, 1988) и др.
Отечественными экономистами выделяются два основных подхода к пониманию категории «трудовой потенциал»: ресурсный и факторный.
Одни ученые-экономисты определяют трудовой потенциал как обобщающую характеристику трудовых ресурсов (Е. Сагиндиков, Н. Дорогов); другие – как ресурсы и резервы живого труда, то есть полную потенциальную совокупную способность к труду, которой обладает трудоспособное население в условиях данного общественного строя (В. Волков, С. Пирожков). У большинства авторов (Н. Волгин, Г. Бояркин и др.) понятие трудового потенциала увязывается с трудовыми ресурсами, поскольку они персонифицируют трудовой потенциал. Вместе с тем целый ряд исследователей трактуют данную категорию расширенно, то есть увязывают трудовые ресурсы со средствами производства, а также с организацией личностных и материально-вещественных элементов производительных сил (В. Врублевский, Б. Сухаревский). В частности, Г. Сергеева и Л. Чижова отмечают, что трудовой потенциал – это те ресурсы труда, которыми располагает общество.
В этой связи следует остановиться на определении данной категории, предложенной В. Адамчуком, О. Ромашовым и М. Сорокиной: «Трудовой потенциал – это ресурсная категория, включающая в себя источники, средства, ресурсы труда, которые могут быть использованы для решения какой-либо задачи, достижения определенной цели, возможности отдельного лица, общества, государства в конкретной области» [1]. В. Костаков и А. Попов отмечают, что трудовой потенциал страны и ее регионов – это соответствующие трудовые ресурсы, рассматриваемые в аспекте единства их качественной и количественной сторон.
Таким образом, на взгляд приверженцев «ресурсного» подхода, «трудовой потенциал – это ресурсы труда, которыми располагает общество» и «инструмент изучения распределения трудовых ресурсов». При этом реальное значение трудового потенциала определяется, как считают ученые, численностью трудоспособного населения и его качественными характеристиками (полом, возрастом, образованием, профессиональной подготовкой и т. д.).
В отличие от этого, представители «факторного» подхода характеризуют трудовой потенциал как форму личного или человеческого фактора, расширяя его сугубо ресурсное толкование оценкой возможностей общества в использовании способностей работников в качестве активного субъекта производства. Так, в работах М. И. Гольдина под трудовым потенциалом понимается «форма проявления человеческого фактора, интегральной меры способностей к труду». На взгляд Р. П. Колосовой, трудовой потенциал – это важнейший обобщающий показатель уровня развития возможностей созидательной активности человеческого фактора. Подобное понимание трудового потенциала было изложено и А. С. Панкратовым. Рассматриваемое понятие он трактует как интегральную форму, количественно и качественно характеризующую способность общества в динамике обеспечить человеческий фактор производства в соответствии с требованиями его развития.
Однако существует и третий (комбинированный) подход к пониманию сущности категории «трудовой потенциал региона», являющийся своего рода слиянием первого и второго подходов. К представителям комбинированного подхода можно отнести И. С. Маслову, М. М. Магомедова, С. И. Пирожкова, М. С. Токсанбаеву и некоторых других.
На наш взгляд, комплексный анализ трудового потенциала региона требует комбинированного подхода к пониманию данной экономической категории, учёта его ресурсной и факторной сущности в их единстве.
Слабым аспектом исследований трудового потенциала является оценка его качественных компонентов и степени использования их в экономике. Актуальность и значимость решения данной проблемы связана с тем, что достоверное измерение состояния трудового потенциала позволит объективно оценивать имеющиеся возможности использования рабочей силы на внутреннем и внешнем рынках труда, а также эффективно управлять ими, постоянно повышая качественные аспекты рабочей силы.
На наш взгляд, все методологические подходы к оценке качества трудового потенциала можно объединить в две основные группы:
1. Оценка качества трудового потенциала на основе данных официальной статистики.
Примерами использования такого подхода служат индекс развития человеческого потенциала и индекс развития трудового потенциала.
Индекс развития человеческого потенциала (ИРЧП) активно используется Организацией Объединенных Наций (ООН) для межстрановых и межрегиональных сопоставлений и рассчитывается на основе следующих показателей:
• долголетие: ожидаемая продолжительность жизни при рождении (минимальное значение по шкале – 25 лет; максимальное – 85 лет);
• уровень образования: уровень грамотности взрослого населения страны (от 0 до 100 %; с весом 2/3) и валовой коэффициент поступивших в начальные, средние и высшие учебные заведения (от 0 до 100 %; с весом 1/3);
• уровень жизни: ВВП на душу населения по паритету покупательной способности в долларах США (от 100 до 40 тыс. долл.).
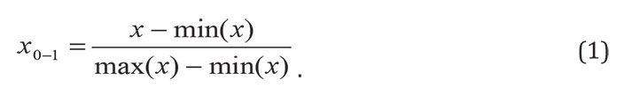
Каждый из перечисленных показателей переводится в шкалу от 0 до 1:

После чего рассчитывается их среднее арифметическое:

Индекс развития трудового потенциала (ИРТП) является подобием индекса развития человеческого потенциала. ИРТП страны, региона, трудового коллектива рассчитывается на основе таких показателей, как:
• доля трудоспособного населения в общей численности населения;
• уровень образования, профессиональной подготовки и переподготовки;
• уровень заработной платы;
• вооруженность труда необходимыми средствами;
• уровень занятости, трудовой активности населения.
Для каждого компонента трудового потенциала рассчитываются соответствующие индексы по шкале от 0 до 1, после чего находится среднее арифметическое пяти частных индексов:

Используемая в представленном исследовании методика основывается на методологии расчёта индекса человеческого потенциала. Данные подходы были адаптированы российскими исследователями (С. П. Горисов [27, с. 41–43]) для расчета интегрального индекса трудового потенциала в регионах России путём агрегирования данных о состоянии здоровья, профессиональном образовании, материальном благосостоянии и возможностях для реализации трудового потенциала (табл. 1.2.1).
Таблица 1.2.1. Показатели, используемые для оценки качества трудового потенциала регионов РФ

Состояние трудового потенциала в значительной мере определяется интеллектуальной составляющей, а именно состоянием системы образования. Если при оценке человеческого потенциала используется такой показатель, как грамотность населения, то применительно к трудовому потенциалу следует говорить скорее о наличии профессионального образования. В качестве базовых показателей для оценки уровня образования трудового потенциала выбран охват профессиональным и, в частности, высшим профессиональным образованием. Акцентирование на высшем образовании связано с требованием инновационной экономики, в которой интеллектуальный компонент приобретает особенно высокое значение.
Здоровье населения является одной из важнейших составляющих как человеческого, так и трудового потенциала. В качестве обобщающего показателя состояния здоровья использовалась смертность населения в трудоспособном возрасте, отражающая состояние здоровья той части населения, которая задействована в общественном производстве. При расчете индекса использовался обратный данному показатель – численность лиц, полностью проживших период трудоспособного возраста.
Материальное положение определяет условия воспроизводства и развития рабочей силы, влияет на состояние здоровья и трудовую мотивацию. Для его оценки в данном исследовании используется среднемесячный денежный доход в расчете на душу населения, скорректированный с учетом рассчитываемой Росстатом стоимости фиксированного набора потребительских товаров и услуг.
Трудовой потенциал населения той или иной территории реализуется на рынке труда, состояние которого является важным условием развития данного потенциала. Для оценки возможностей его реализации на рынке труда нами использовались такие показатели, как уровень общей безработицы, рассчитываемой по методологии МОТ, и уровень длительной безработицы (доля безработных, ищущих работу 12 месяцев и более, в общей численности безработных).
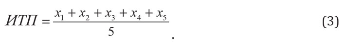
Таким образом, формула сводного индекса трудового потенциала (ИТП) имеет следующий вид:

где: ILP (Index of Labor Potential) – индекс трудового потенциала;
HLI (Health and Longevity Index) – индекс состояния здоровья (долголетия трудового потенциала);
II (Income Index) – индекс доходов трудового потенциала;
LMI (Labor Market Index) – индекс состояния рынка труда.
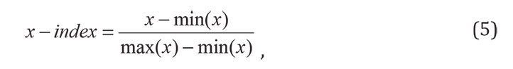
Частные индексы рассчитывались по формуле:

где: x-index – индекс одного из четырех показателей;
x(min) – минимальное значение данного показателя,
x(max) – его максимальное значение.
Важной методологической проблемой методики считается установление эталонных показателей, характеризующих минимальные и максимальные значения. Значения, установленные ООН, непригодны для расчета рейтинга определенного круга территорий, поэтому нами были установлены минимальные и максимальные значения, исходя из показателей исследуемых регионов.
Основное преимущество методик с использованием официальной статистики – работа с генеральной совокупностью.
Недостатками являются получение информации с отставанием; значительные сложности с анализом трудового потенциала населения в разрезе социально-демографических групп, выявлением причин и факторов, обусловливающих качественные характеристики рабочей силы.
Избежать этих недостатков позволяет вторая группа методологических подходов.
2. Оценка качества трудового потенциала на основе социологических опросов.
Примерами использования такого подхода служат методика Т. В. Хлоповой и М. П. Дьякович и методика оценки трудового потенциала, представленная в исследованиях Института социально-экономических проблем народонаселения РАН (Н. М. Римашевская) и используемая, начиная с 1996 г., Институтом социально-экономического развития территорий РАН (В. А. Ильин, Г. В. Леонидова, Е. А. Чекмарева и др.) для оценки трудового потенциала населения Вологодской области.
Согласно концепции ИСЭПН РАН, система компонентов трудового потенциала представляется в виде «дерева» свойств, вершиной которого является наиболее общее свойство – социальная дееспособность (интегральный показатель качества трудового потенциала).
Компонентами первого уровня служат качественные характеристики, подлежащие непосредственному измерению:
• физическое здоровье;
• психическое здоровье;
• когнитивный (образовательно-квалификационный) потенциал;
• творческие способности (креативность);
• коммуникабельность;
• культурный уровень;
• нравственный уровень;
• потребность в достижении (социальные притязания), т. е. стремление человека занять определенное место в социальной структуре общества (рис. 1.2.2).
Свойства второго, третьего и четвертого уровней являются интегративными, их измерение возможно только на основе вышеуказанных первичных элементов.

Рисунок 1.2.2. Компоненты трудового потенциала (согласно концепции ИСЭПН РАН)
Качества второго уровня:
• психофизиологический потенциал (составляющие – физическое и психическое здоровье);
• интеллектуальный потенциал (уровень общих и профессиональных знаний, творческие способности);
• коммуникативный потенциал (коммуникабельность и культурный уровень);
• социальная активность (нравственность и социальные притязания).
Качества третьего уровня:
• энергетический потенциал, или функциональные возможности работника (составляющие – психофизиологический и интеллектуальный потенциалы);
• социально-психологический потенциал, или способность человека воздействовать на социальные условия своей деятельности (составляющие – коммуникативный потенциал и социальная активность).
Четвертый уровень – социальная дееспособность или качество трудового потенциала, составляющие – энергетический (естественно-природная основа человеческого развития) и социально-психологический потенциалы.
Существуют и другие подходы к определению структуры трудового потенциала региона, однако концепция, разработанная специалистами ИСЭПН РАН, представляется нам наиболее логичной и целостной.
Мониторинг трудового потенциала региона проводится путем анкетирования населения трудоспособного возраста. Согласно методике ИСЭПН РАН на базе мониторинга измеряются следующие структурные компоненты трудового потенциала: физическое и психическое здоровье населения, когнитивный потенциал, творческие способности, коммуникабельность, культурный и нравственный уровень, потребность в достижении. Для оценки перечисленных качеств используется шкала Лайкерта[1]1
Шкалы Лайкерта – разновидность опросников установок (аттитюдов). Названы по имени автора – Р. Лайкерта, предложившего их в 1932 г. Шкалы Лайкерта состоят из набора утверждений с пяти– или семибалльными рейтинговыми шкалами оценивания, которыми устанавливается степень согласия испытуемого с данным утверждением.
[Закрыть]. Опросник состоит из блоков утверждений большей частью с пятибалльными рейтинговыми шкалами оценивания (по степени согласия респондента с предложенными ему утверждениями). Каждому из качеств соответствует свой блок вопросов. В результате мониторинга компоненты трудового потенциала получают численную оценку в виде индексов от нуля до единицы, которые рассчитываются как отношение фактического числа баллов по шкале к максимально возможному (рис. 1.2.3).
Оценка компонентов трудового потенциала верхних уровней (психофизиологический, интеллектуальный, коммуникативный потенциал, социальная активность и др.) выполняется на базе нижних уровней путем вычисления среднего геометрического. При этом индекс социальной дееспособности рассчитывается как среднее геометрическое индексов энергетического и социально-психологического потенциалов. То есть социальная дееспособность является своего рода функцией от первичных качеств. На наш взгляд, концепция трудового потенциала, представленная учеными Института социально-экономических проблем народонаселения, является наиболее обоснованной, а предложенная ими методика наилучшим образом подходит для оценки качественной стороны трудового потенциала региона. Результаты оценки качества трудового потенциала Вологодской области, описанные в настоящей работе, получены на основе применения именно такого методологического подхода. Однако не стоит забывать, что мониторинг имеет, наряду с такими явными преимуществами, как оперативность сбора информации и возможность детализированного анализа базы данных, и некоторые недостатки, заключающиеся в необходимости серьезной предварительной работы по подготовке анкет и технического задания, грамотного определения выборки, организации опроса и формирования базы данных.

Рисунок 1.2.3. Шкала измерения частного свойства
Примечание. Характеристика шкалы измерения частного свойства изложена в работе: Трудовой потенциал региона: состояние и развитие / В. А. Ильин, К. А. Гулин, Г. В. Леонидова, В. В. Давыдова. – Вологда: ВНКЦ ЦЭМИ РАН, 2004. – С. 23.
1.3. Трудовое поведение как способ реализации индивидуального трудового потенциала и человеческого капитала
Человеческий потенциал становится капиталом лишь в том случае, если накопленный запас знаний, умений и навыков будет эффективно реализован на практике, то есть население должно быть включено в трудовую деятельность. И только тогда можно рассчитывать на то, что инвестиции смогут принести общественную пользу и прибыль.
В настоящее время трудовые ресурсы, трудовой потенциал с точки зрения поведенческих аспектов являются предметом исследования многих дисциплин, в т. ч. социологии, экономики труда, психологии и др. Многообразие критериев трудового поведения стало причиной возникновения большого количества концептуальных и методологических подходов к его определению.
Одно из первых определений трудового поведения в 1991 году было сформулировано В. И. Верховиным и А. С. Афониным. Первый считал, что это «целесообразный комплекс индивидуальных и групповых действий и поступков, определяющих направленность; вектор, интенсивность реализации человеческого фактора в производственной организации», дифференцируя его по признакам:
• предметно-целевой направленности, т. е. по тому, на что оно направлено;
• глубине пространственно-временной перспективы достижения определённой цели, т. е. по «пределу достижения»;
• контексту реализации линии трудового поведения;
• методам, способам и средствам достижения конкретного результата;
• интенсивности достижения сформулированных субъектом цели, действия;
• социокультурным образцам, положенным в основу тех или иных способов достижения результата;
• глубине и типу рационализации, обоснования конкретной тактики и стратегии трудового поведения.
В подходе В. И. Верховина речь идет о том, что работник относится к своим трудовым функциям как к средству и условиям достижения частных целей, интересов и потребностей [18, с. 26–28]. А. С. Афонин оценивал сущность трудового поведения по полноте реализации индивидами в процессе труда физических и духовных способностей [5, с. 159].
Рассматривая сущность трудового поведения, мы выделили следующие подходы к его определению: функциональный, реакционный, социально-экономический (табл. 1.3.1).
Таблица 1.3.1. Подходы к определению трудового поведения

Они имеют как сильные, так и слабые стороны. К примеру, авторы функционального подхода уделяют наибольшее внимание вопросам синхронизации действий работника с функциями, целями и задачами организации, оставляя без внимания поведение на рынке труда (поиск работы, дополнительная занятость и т. д.).
Достоинством реакционного подхода является всестороннее исследование факторов, воздействующих на поведение работника. Вместе с тем сосредоточение авторов только на анализе внешне наблюдаемых реакций работника без привязки к трудовым функциям может привести к тому, что любое действие во время работы будет трактоваться как трудовое поведение.
Социально-экономический подход, на наш взгляд, более полно отражает предмет нашего исследования, так как показывает взаимосвязь категорий «трудовое поведение» и «трудовой потенциал» и позволяет дать углублённую качественную оценку трудового поведения на основе анализа компонентов трудового потенциала.
В рамках данного подхода Н. И. Шаталова характеризует трудовое поведение с точки зрения общественно значимого способа практической реализации трудового потенциала работника как меры наличных ресурсов и возможностей, непрерывно формируемых в процессе всей социализации [102, с. 12]. Трудовой потенциал работника воплощается в трудовом поведении, поэтому, исследуя трудовое поведение, можно получить представление о состоянии трудового потенциала; изучая его состояние, можно прогнозировать поведение (рис. 1.3.1).

Рисунок 1.3.1. Взаимодействие трудового поведения и трудового потенциала
Источник: составлено автором на основе: Шаталова Н. И. Трудовой потенциал работника. – М.: Юнити-Дана, 2003. – С. 106.
Исследуя трудовое поведение, следует учитывать, что оно может варьироваться в широком спектре всевозможных действий и поступков: от жестко регламентированного последовательного комплекса мероприятий на рабочем месте до спонтанных поведенческих реакций. Ввиду многообразия компонентов трудового поведения и с учетом отсутствия единого подхода исследователей к изучению его структуры, становится актуальным изучение этого вопроса.
Ряд ученых (В. И. Верховин, В. В. Адамчук и др.) выделяют следующие структурные составляющие трудового поведения, представленные в основном совокупностью различных действий и поступков (рис. 1.3.2).

Рисунок 1.3.2. Структура трудового поведения
Источник: составлено автором на основе: Адамчук В. В., Ромашов О. В., Сорокина М. Е. Экономика и социология труда: учеб. для эконом. спец. вузов. – М.: ЮНИТИ, 1999. – С. 284.
Большое количество структурных компонентов трудового поведения приводит к необходимости учета множества факторов, влияющих на изменение этих составляющих. В частности, Н. И. Шаталова выделяет следующие праксеологические (характеризующие способ взаимодействия субъекта профессиональной культуры с орудиями, средствами и предметами труда) параметры: система выбора профессии; трудовые ситуации; вознаграждение за труд; интересы и потребности личности; сравнение как побудительная сила активности; трудовые возможности [103, с. 111]. Представленные параметры определяют состояние и процесс реализации трудового потенциала. Несмотря на достоинства данной классификации, нечеткость границ и сложность изучения параметров затрудняют её использование.
Л. А. Андросова, критикуя набор характеристик, которые используются в литературе для определения возможностей эффективного труда, с позиций неполноты соответствия реалиям современной экономики, подчеркивает необходимость расширения этого набора на основе понятия трудового потенциала. Его компоненты должны отвечать требованиям, представленным в таблице 1.3.2 [3, с. 111]:
Таблица 1.3.2. Взаимосвязь между требованиями, предъявляемыми к эффективному труду, и компонентами трудового потенциала

Данный подход соотносится с позицией И. А. Кульковой, которая среди факторов, влияющих на трудовое поведение, выделяет уровень образования, воспитание, установки и ценности и др. (рис. 1.3.3) [42].
На наш взгляд, наиболее удачный критерий выделения факторов – отношение к труду (учитывается трудовая мотивация, трудовая активность, удовлетворенность трудом), так как оно может влиять и на его результативность (рис. 1.3.4).
Среди компонентов, которые характеризуют отношение к труду, одним из ключевых является трудовая мотивация. Данная структурная составляющая определяется как процесс выбора и обоснования способа участия человека в производственной деятельности. Она формируется под воздействием:
• потребностей – забота индивида об обеспечении необходимых средств и условий для собственного существования и самосохранения;
• установок – аккумулирование природных задатков индивида, его социального опыта, побуждение к целесообразной деятельности;
• функционального состояния личности – возможности и способности, которые работник может применить в трудовой деятельности;
• стимулов – внешние факторы, побуждающие к трудовой активности.

Рисунок 1.3.3. Классификация факторов, влияющих на трудовое поведение
Источник: Кулькова И. А. Оценка активности трудового поведения человека в период поиска работы [Электронный ресурс]. – Режим доступа: http://www.e-rej.ru/Articles/2007/Kulkova.pdf

Рисунок 1.3.4. Факторы, определяющие трудовое поведение Источник: составлено автором.
Трудовая мотивация проявляется посредством трудовой активности как формы воздействия субъекта трудовых отношений (личности, группы) на трудовую среду, при этом его целесообразные усилия обусловлены свободой, инициативностью, сознательностью, заинтересованной субъективностью, добросовестностью и служат удовлетворению его потребностей [38]. Трудовая активность охватывает:
• собственно трудовую деятельность, характеризуемую качеством и количеством выполненной работы (то есть производительность труда, объём выполненной работы за единицу времени, овладение передовыми методами и приёмами труда);
• характер трудовой активности – творческий, нетворческий (сроки и степень освоения новой технологии, видов продукции; участие работников в рационализаторстве, изобретательстве, совершенствовании организации производства и труда);
• дисциплинированность участников трудового процесса (соблюдение норм и правил внутреннего трудового распорядка, технологической и трудовой дисциплины; показатели использования оборудования).
Удовлетворенность трудом, характеризующая состояние сознания, продуцирующее положительные реакции на процесс реализации ожиданий по тем или иным проблемам производственной жизни [96, с. 33], представляет собой внутреннюю оценку работником трудовой деятельности: содержания, оплаты и условий труда.
Все компоненты находятся в тесной взаимосвязи и оказывают влияние друг на друга. К примеру, если высокомотивированный работник по тем или иным причинам не справляется со своей работой, то появляется вероятность снижения внутренних побуждений.
Составленная схема групп факторов даёт возможность обосновать причины трудовой пассивности и выявить резервы роста трудового потенциала субъектов социально-трудовой системы.
В зависимости от степени влияния факторов у работника формируются определенные модели поведения. В. И. Верховин выделил следующие группы затратно-компенсационных моделей трудового поведения:
1. Основана на форсировании профессиональных и личностных ресурсов, опережающем, как правило, возможности их восполнения. Независимо от предмета достижения результата здесь имеет место феномен отложенной компенсации затрат.
2. Базируется преимущественно на эквивалентном и гарантированном способе затрат профессиональных ресурсов и их возмещений. Основная особенность этих моделей трудового поведения – их симметричность, т. е. затраты всегда соизмеряются с вознаграждением, а эквивалентность – необходимое и достаточное условие того, что данная модель поведения может быть реализована.
3. Реализуется при условии неэквивалентного и несимметричного обмена. Она основана на принципе минимизации профессиональной активности личности [96, с. 112–114].
Среди всех характеристик трудового поведения, по мнению А. И. Рофе, основной является конечный результат. Ученым была построена развернутая типология трудового поведения, в основе которой лежит социально-экономическая значимость (рис. 1.3.5).

Рисунок 1.3.5. Развернутая типология трудового поведения
Источник: Рофе А. И. Экономика и социология труда: учеб. пособие. – М.: МИК, 1996. – С. 67.
А. И. Рофе отмечал, что дать исчерпывающе всестороннюю характеристику названных типов поведения невозможно, поскольку число описывающих их признаков и взаимосвязей бесконечно [77, с. 67–68].
В. В. Адамчук, О. В. Ромашов и М. Е. Сорокина, в свою очередь, обобщили различные классификации трудового поведения. Среди признаков для выделения типов трудового поведения они определили следующие: субъекты поведения, наличие (отсутствие) взаимодействий с другими субъектами, степень соответствия принятым нормам и др. (табл. 1.3.3).
Таблица 1.3.3. Классификация трудового поведения

Другую классификацию предлагает Н. И. Шаталова, выделяя следующие критерии и виды трудового поведения (табл. 1.3.4). Важно отметить, что представленные классификации трудового поведения не ограничиваются данным перечнем.
Многими учеными (Н. И. Шаталова, В. И. Верховин и др.) выделяются еще как особая категория «деформации трудового поведения». По мнению Н. И. Шаталовой, все деформации ведут к разбалансированию и последующему разрушению трудового потенциала работника. В большинстве случаев, считает она, наблюдаемые поведенческие деформации в сфере труда представляют собой несколько деформаций одновременно.
Таблица 1.3.4. Классификация трудового поведения

Так, рестрикционизм[2]2
Рестрикционизм – сознательное ограничение работниками своей производительности труда, использование не в полную силу своих физических и умственных способностей при выполнении служебных обязанностей.
[Закрыть] может сочетаться с некомпетентностью; избыточная интенсивность труда – с карьеризмом и деформациями закрытости личности и т. д. Деформации могут быть следствием превращений, связанных с изменениями трудовой ситуации, и исчезать после удаления вызвавшего их фактора. Длительность и глубина деформаций зависят от силы и продолжительности действия возмущающих факторов. Они могут быть весьма малы и почти незаметны, но могут и определять все трудовое поведение работника.
Внимание! Это не конец книги.
Если начало книги вам понравилось, то полную версию можно приобрести у нашего партнёра - распространителя легального контента. Поддержите автора!