Читать книгу "Молодые ученые – экономике. Выпуск 12"
Автор книги: Коллектив Авторов
Жанр: Экономика, Бизнес-Книги
Возрастные ограничения: 12+
сообщить о неприемлемом содержимом
Молодые ученые – экономике
Сборник работ молодежной научной школы
Выпуск 12
© ФГБУН ИСЭРТ РАН, 2012
Все права защищены. Никакая часть электронной версии этой книги не может быть воспроизведена в какой бы то ни было форме и какими бы то ни было средствами, включая размещение в сети Интернет и в корпоративных сетях, для частного и публичного использования без письменного разрешения владельца авторских прав.
Предисловие
В условиях глобализации экономики, стремительного роста науки и техники и их влияния на мировые процессы перед Россией остро встала проблема воспроизводства и усиления ее научного потенциала. Практика последних десятилетий убедительно доказывает, что в быстро изменяющемся мире стратегические преимущества будут у тех государств, которые смогут эффективно развивать и продуктивно использовать инновационный потенциал развития, основным носителем которого является молодежь.
На современном этапе реализация экономических и социальных преобразований в России нуждается в хорошо образованных, творчески мыслящих специалистах, которые могут активно воздействовать на уровень производственного и общественного развития государства. Необходимо широкое привлечение молодых, патриотически настроенных ученых к решению социальных и экономических задач, стоящих перед Россией. Об этом говорили участники заседания Президиума Государственного совета по вопросам поддержки талантливых детей и молодежи, проходившего 27 февраля 2012 года в г. Чебоксары.
Поэтому поддержка и развитие талантливой молодежи должна стать стратегической задачей государственной политики, проводимой в этом направлении.

В 2003 г. в Вологде создан Научно-образовательный центр экономики и информационных технологий ИСЭРТ РАН, представляющий собой многоступенчатую систему подготовки специалистов высшей квалификации для науки, хозяйствующих субъектов и органов власти Вологодской области на основе непрерывной образовательной цепочки «школа – вуз – аспирантура».
В НОЦ созданы все условия для включения талантливой молодежи в научно-исследовательскую деятельность, выявления и развития их способностей в процессе формирования молодежной научной школы по исследованию социально-экономических процессов в регионе. Учащиеся и аспиранты Центра принимают активное участие в работе конференций, семинаров, ежегодно становятся победителями олимпиад и конкурсов различного уровня.
В 2011 году в соответствии с программой Президиума РАН «Поддержка молодых ученых» в НОЦ проходили конкурс научно-исследовательских работ и научно-практическая конференция «Молодые ученые – экономике региона», в которых приняли участие аспиранты ИСЭРТ РАН, студенты филиала Санкт-Петербургского государственного инженерно-экономического университета в г. Вологде, Вологодского государственного технического университета, Вологодской государственной молочнохозяйственной академии им. Н.В. Верещагина и Вологодского государственного педагогического университета. Работы победителей и лауреатов конкурса НИР, а также доклады участников конференции опубликованы в этом сборнике.
Надеемся, что он будет полезен тем, кто интересуется проблемами развития региональной экономики.
В.И. ПОПОВА
зав. отделом исследований влияния интеграционных процессов
в науке и образовании на территориальное развитие ИСЭРТ РАН, к.э.н.
Раздел I
Конкурсные работы молодых ученых в области экономики
Н.А. Копейкина
Здоровье детского населения Вологодской области: состояние и проблемы[1]1
Копейкина Наталья Александровна – аспирант, младший научный сотрудник ИСЭРТ РАН.
Работе присуждена первая премия.
[Закрыть]
Введение
Актуальность темы исследования. Здоровье населения является одним из наиболее важных показателей уровня любого общества, который в значительной степени зависит от формирования здорового образа жизни людей. Особенно актуальны эти вопросы для России, где в конце XX – начале XXI века сложилась крайне неблагоприятная демографическая ситуация, обусловившая сокращение численности населения. Согласно статистическим данным, за период с 2000 по 2010 г. численность населения России уменьшилась почти на 5 млн. человек или 3,4 %. В Вологодской области за это время население сократилось на 86 тыс. чел. или 6,6 % [15].
Уменьшаясь в количестве, общество теряет и качественные характеристики в силу ослабления здоровья населения. За последние десятилетие произошли значительные изменения в состоянии здоровья детей и подростков, характеризующиеся ростом функциональных расстройств и хронических болезней, увеличением распространенности поведенческих факторов риска. Особенно вызывает тревогу рост заболеваемости среди детей и подростков. С 2000 по 2009 г. общая заболеваемость детей от 0 до 14 лет в России выросла на 34 % (со 146 236 до 195 814 чел. на 100 тыс. нас.) [15], в Вологодской области – на 41 % (с 184 809 до 261 267).

Н.А. Копейкина
Здоровье детей ухудшается от поколения к поколению. Неблагоприятные тенденции в состоянии здоровья детей и подростков наносят большой социальный и экономический ущерб. Вступая в период взросления, больные дети не только не смогут освоить наукоемкие профессии, но и полностью использовать свой интеллектуальный потенциал.
Здоровье обусловлено комплексным воздействием различных факторов. Но первостепенная роль в сохранении и формировании здоровья принадлежит самому человеку, его образу жизни. Поэтому изучение формирования здорового образа жизни детского населения в условиях продолжающегося демографического кризиса непростая и актуальная проблема. В связи с этим необходимо создание социальных институтов, направленных на формирование социальной среды и личной мотивации людей на ведение здорового образа жизни.
Объектом исследования в настоящей работе является детское население (в возрасте от 0 до 17 лет) Вологодской области. Предметом исследования — количественные и качественные показатели, характеризующие здоровый образ жизни детского населения.
Цель исследования – изучение здоровья и образа жизни детского населения Вологодской области на фоне продолжающегося демографического кризиса, разработка на этой основе комплекса мер по укреплению здоровья детей.
Для реализации поставленной цели необходимо решить следующие задачи:
1. Изучить теоретико-методологические аспекты здоровья и здорового образа жизни населения.
2. Провести анализ медико-демографической ситуации в Вологодской области и выявить основные тенденции здоровья детского населения.
3. Изучить характеристики образа жизни детского населения Вологодской области (на основе социологического опроса).
4. Разработать комплекс мероприятий по укреплению и формированию здоровья детей.
Научная новизна: на основе данных мониторинга «Изучение условий формирования здорового поколения» рассчитан интегральный показатель (по адаптированной к условиям Вологодской области методике, предложенной Министерством здравоохранения Республики Беларусь), характеризующий образ жизни детского населения Вологодской области.
В исследовании применялись методы сравнения и сопоставления, анализа и синтеза. Информационной базой работы послужили исследования российских и зарубежных ученых в области здоровья и здорового образа жизни населения, данные мониторинга «Изучение условий формирования здорового поколения», а также данные Федеральной службы государственной статистики и её Территориального органа по Вологодской области, Комитета медицинской статистики по Вологодской области по вопросам детского здоровья и демографических процессов, данные Всемирной организации здравоохранения (ВОЗ). Обработка и анализ исходной информации осуществлялась с помощью программного обеспечения прикладной программы Microsoft Office Excel и пакета статистической программы SPSS.
Медико-демографические характеристики Вологодской области. Здоровье детского населения регионаВ настоящее время население Вологодской области и России в целом стремительно сокращается. Все большую тревогу вызывает ситуация, при которой показатели рождаемости в стране в 1,6 раза ниже, чем необходимо для простого воспроизводства населения: поколение детей лишь на 60 % замещает поколение родителей [4]. Все это еще раз подтверждает, что страна в силу неблагоприятных факторов находится в глубоком демографическом кризисе, который характеризуется также крайне высокой смертностью в трудоспособном возрасте и относительно низкими показателями дожития в пожилых когортах населения.
Уровень рождаемости в Вологодской области соответствует среднероссийскому (за 2000–2010 гг. увеличился с 8,8 до 12,5‰), однако он ниже, чем необходимо даже для замещения новыми поколениями родительских когорт, что не позволяет преодолеть снижение численности населения (табл. 1). В результате за 11 лет численность населения в Вологодской области уменьшилась на 85 954 человек или на 6,6 % (в 2010 г. – 1 213,7 тыс чел.), что значительно превышает показатели по стране: за указанный период численность населения в России сократилась на 3,4 % (в 2010 г. – 141 914,5 тыс. чел.).
Таблица 1. Естественное движение населения в Вологодской области (ВО) и Российской Федерации (РФ)

Несмотря на повышение в 2000–2009 гг. продолжительности жизни как в Вологодской области (почти на 2 года), так и в России (в среднем на 3 года), отставание от Европейского Союза составляет 12 и 11 лет соответственно (табл. 2).
Таблица 2. Ожидаемая продолжительность жизни при рождении, число лет

Вологодская область среди всех регионов России занимает лишь 51 место по показателю ожидаемой продолжительности жизни (ОПЖ). Вместе с тем существует гендерное различие в продолжительности жизни: женщины в Вологодской области живут на 14 лет дольше мужчин, в России – на 12 лет.
По женским когортам, при совпадении областных показателей с российскими, отставание от экономически развитых европейских стран составляет 8 лет. Мужчины в области живут на 2 года меньше, чем в России, и на 16 лет меньше, чем в экономически развитых странах.
Таким образом, последствием сокращения численности населения в сочетании с увеличением средней продолжительности жизни является неуклонный рост в возрастной структуре доли населения старших возрастов. Этот процесс получил название демографического старения населения (точнее, его возрастной структуры). Происходит трансформация параметров воспроизводства населения в сторону более суженного замещения поколений, уменьшается доля детского населения в общей численности населения, возрастает нагрузка на трудоспособных и занятых жителей лицами престарелого возраста.
Динамика изменения возрастной структуры населения показала, что за последние 11 лет (с 2000 по 2010-й) удельный вес детей в общей численности населения Вологодской области сократился с 23,3 до 18,3 % (табл. 3). Аналогичная ситуация складывается и по стране в целом, где за указанный период доля детей и подростков (в возрасте от 0 до 17 лет) уменьшилась на 5 процентных пунктов (с 23,5 до 18,3 %).
Таблица 3. Численность постоянного населения (на начало года)

В возрастном составе населения видны и региональные различия. Самые «молодые» регионы России удалены от ее центра, «старое» население концентрируется в столицах и близлежащих регионах. Вологодская область в этом рейтинге занимает лишь 50-е место (табл. 4).
Изменения в возрастной структуре заметно влияют на демографическую нагрузку населения в трудоспособном возрасте. Данные таблицы 5 показывают, что в начале 80-х гг. в связи с повышением рождаемости нагрузка детьми и пожилыми резко отличалась в пользу детей, а в 2000 г. соотношение изменилось в пользу нагрузки пожилыми.
Таким образом, увеличение нагрузки пожилыми людьми еще раз доказывает тенденцию постарения населения, которая прогнозируется вплоть до 2050 г.
Таблица 4. Население в возрасте от 0 до 17 лет в некоторых регионах РФ в 2010 г. (в % от численности населения)

Таблица 5. Коэффициент демографической нагрузки в РФ в 1985–2050 гг. (на 100 человек трудоспособного населения)

В Вологодской области младенческая смертность снизилась с 16 случаев (на 1000 родившихся живыми) в 2000 г. до 7,8 случая в 2009 г. Этот показатель соответствует предельно допустимому значению, установленному Европейским Бюро ВОЗ, – 10 детей на 1000 родившихся живыми. И хотя за последние годы наблюдаются позитивные изменения в динамике младенческой смертности, ситуацию нельзя считать удовлетворительной, поскольку её уровень в нашей стране остается почти в 2 раза выше, чем в экономически развитых странах Европы (табл. 6).
Таблица 6. Младенческая смертность (в возрасте до одного года, на 1000 родившихся живыми)

Демографический кризис характеризуется не только убылью населения, обусловленной депопуляцией, но и такими качественными негативными изменениями, как рост заболеваемости детей, увеличение потребления алкоголя, распространение наркомании и табакокурения среди подростков. И все это происходит на фоне сокращения детей в общей численности населения.
Анализ заболеваемости детского населения Вологодской области показал, что за период с 2000 по 2009 г. общая заболеваемость детей выросла на 41 %. Такая же тенденция прослеживается и в России: общая заболеваемость детей в возрасте от 0 до 14 лет выросла на 34 %, увеличиваясь в среднем на 5 % ежегодно (рис. 1).
Вместе с тем уровень заболеваемости в регионе детей подросткового возраста (от 15 до 17 лет) в указанный период увеличился на 27 %, повышаясь в среднем за год на 3 % (рис. 2). За 2009 г. первичная заболеваемость выросла на 11 %. Хуже ситуация в России, где общая заболеваемость подростков за 2000–2009 гг. увеличилась на 60 %.

Рисунок 1. Заболеваемость детей в возрасте от 0 до 14 лет (на 100 тыс. населения соответствующего возраста)
Источники: Российский статистический ежегодник. 2010: cтат. сб. / Росстат. – М., 2010; Основные показатели деятельности учреждений здравоохранения Вологодской области за 2009 год: стат. сб. – Вологда: Департамент здравоохранения Вологодской области, ГУЗ ДЗ ВО «МИАЦ», 2000–2010.

Рисунок 2. Заболеваемость подростков в возрасте от 15 до 17 лет (на 100 тыс. населения соответствующего возраста)
Источники: Молодежь в России. 2010: стат. сб. / ЮНИСЭФ, Росстат. – М.: ИИЦ «Статистика России», 2010. – 166 с.; Основные показатели деятельности учреждений здравоохранения Вологодской области за 2009 год: стат. сб. – Вологда: Департамент здравоохранения Вологодской области, ГУЗ ДЗ ВО «МИАЦ», 2000–2010.
Увеличение количества детей, имеющих различные заболевания, является результатом двух процессов: ухудшения здоровья и повышения уровня выявления болезней на более ранних стадиях.
Таким образом, как в регионе, так и по стране в целом в последние десятилетия высокими темпами растет заболеваемость среди детей и подростков, что в принципе противоестественно. Несмотря на положительные тенденции уменьшения показателя младенческой смертности, здоровье детей ухудшается от поколения к поколению.
Кроме данных, основанных на медико-демографической статистике, важным является также использование оценок состояния индивидуального здоровья, полученных в результате социологического исследования.
Анализ здорового образа жизни детей Вологодской области (на материалах социологического исследования)На качественно ином уровне помогает увидеть здоровье детей и подростков медико-социологическое мониторинговое исследование «Изучение условий формирования здорового поколения»[3]3
Мониторинг «Изучение условий формирования здорового поколения» проводится в ИСЭРТ РАН с 1995 г. при методологическом руководстве ИСЭПН РАН. Для оценки здоровья и развития детей привлекаются медицинские работники. Исследование проводится в городах Вологде, Череповце, районных центрах Кириллове, Великом Устюге, поселке городского типа Вожеге. В исследовании участвуют все семьи, в которых родились дети в период с 15 по 30 мая 1995 г. (первая когорта) и с 1 по 20 марта 1998 г., 2001 г., 2004 г. (вторая – четвертая когорты). Мониторинг предполагает использование комплексного инструментария, основу которого составляют социологические вопросники.
[Закрыть], проводимое ИСЭРТ РАН с 1995 г.
Одним из основных достоинств мониторингового исследования является то, что оно помогает понять основные причины изменений в здоровье детского населения, а именно предоставляет возможность выявить факторы, оказывающие неблагоприятное воздействие на формирование здоровья детей.
Факторы, влияющие на здоровье, специалисты условно объединяют в четыре группы: биологические (пол, возраст, наследственность и др.); природные (климатические, гелиогеофизические, антропогенное загрязнение и др.); социально-экономические (образ жизни); медицинские (организация медицинской помощи).
Все названные группы факторов воздействуют на уровне как индивидуального, так и популяционного здоровья. Они взаимосвязаны между собой, но степень их влияния на здоровье неодинакова [5]. Согласно модели экспертов ВОЗ, соотношение факторов, влияющих на здоровье, таково: социально-экономические условия и образ жизни – 50 %; биологические свойства организма – 20 %; внешняя среда, природные условия – 20 %; здравоохранение – 10 %. Таким образом, наполовину состояние здоровья человека зависит от самого индивида, его образа жизни. Поэтому для укрепления и улучшения состояния здоровья детского населения необходимо уделять внимание формированию у ребенка здорового образа жизни, как одного из основных факторов, влияющих на здоровье.
Формирование здорового образа жизни начинается уже в раннем детстве, поэтому в обеспечении нормального развития и полноценного здоровья детей огромна роль семьи. Институт семьи выполняет в обществе определенные социальные функции, через которые воздействует на образ жизни подрастающего поколения. Своими привычками, культурой поведения, образом жизни родители являются примером для своих детей. Роль семьи в формировании здоровья ребенка определяется также тем, что человек получает в наследство состояние здоровья своих родителей и основной процесс формирования здоровья (обучение навыкам заботы о здоровье и соблюдение санитарно-гигиенической культуры) происходит прежде всего в семье.
В результате исследования были получены следующие данные, которые, на наш взгляд, и показывают, насколько образ жизни ребенка в семье соответствует здоровому.
Несомненно, что позитивные установки и ценность «здоровья» являются положительной предпосылкой для формирования здорового образа жизни. В сознании подавляющего большинства семей (86 %) «здоровье ребенка» как ценность вместе с ценностью «семьи» (83 %) занимает 1–2 место среди других важнейших социальных ценностей – «свое здоровье» (60 %), «материальное благополучие» (44 %), «образование» (23 %).
Одним из главных показателей, характеризующих отношение человека к своему здоровью, выступает самооценка здоровья. По данным обследования 2010 г., самооценка детьми (12 и 15 лет) своего здоровья показала, что отличным считали состояние своего здоровья 16 % обследованных, хорошим – 48 %, удовлетворительным – 29 %, плохим – 2 %, затруднились определить – 5 %. Представления детей о состоянии своего здоровья крайне завышенные, о чем свидетельствуют приведенные ниже данные.
Поскольку знания и представления родителей о состоянии здоровья ребенка также не всегда соответствуют действительности, сравним родительское мнение с мнением врачей. Результат сопоставления показал: родители в 2 раза чаще, чем педиатры, оценивают здоровье детей как «хорошее». В то же время «плохим» здоровье ребенка родители называют в 6 раз реже, чем педиатры (табл. 7).
Необоснованное спокойствие родителей, незнание ситуации и, как следствие, слабая мотивация на укрепление здоровья детей и проведение семейных мероприятий могут являться причиной ухудшения здоровья детей. По данным исследования 2010 г., более половины родителей (63 %) ответили, что за последний год их отношение к здоровью ребенка не изменилось, и только 36 % родителей стали уделять больше внимания укреплению здоровья ребенка и профилактике заболеваний.
Таблица 7. Сопоставление оценки здоровья детей родителями и педиатрами

В анкетном опросе детей попросили дать ответ на вопрос: «Что такое в твоем понимании здоровый образ жизни?». Самым популярным вариантом ответа было «занятие спортом», затем – «отсутствие вредных привычек», «здоровое питание», «прогулки на свежем воздухе». Тогда как родители на первое место поставили здоровое питание и отсутствие вредных привычек, на третье место – взаимопонимание всех членов семьи.
В принятых Генеральной Ассамблеей ВОЗ документах указано, что около 1/3 всех болезней системы кровообращения обусловлено неправильным питанием [14]. Несмотря на то что на первое место родители ставят здоровое питание, углубленный анализ показал, что 50 % детей ежедневно балуются сладостями, не каждый день получают овощи. В то же время сбалансированное и рациональное питание во многом зависит от привычек, образа жизни семей с детьми. По данным исследования, в 2010 г. по сравнению с 2001 г. увеличилось ежедневное потребление детьми молочных продуктов (на 5 %), фруктов (5 %), соков (7 %), сладостей (2 %). Однако уменьшилось потребление продуктов, содержащих белок и протеины (в мясе – на 6 %, рыбе – 4 %, яйцах – 5 %).
Рациональное и правильное питание также является основной составляющей здорового образа жизни. Не стоит оставлять без внимания и регулярность питания. Регулярно завтракают в среднем 82 % школьников в возрасте 9 лет и только 64 % детей в возрасте 15 лет. В большей степени это определяется пищевыми привычками семей. В будущем это может привести к формированию у части молодых людей неправильной организации своего питания.
Наличие вредных привычек среди ближайшего окружения детей тоже является препятствием для формирования у них позитивных ориентаций на здоровый образ жизни. Для детей очень важно, курят родители или нет. В семьях, где курил хотя бы один из членов семьи, дети 12 лет пробовали курить в 4 раза чаще, чем при некурящих родственниках. С возрастом количество детей, пробовавших курить, увеличилось в 2 раза (табл. 8).
Таблица 8. Влияние курящих членов семьи на вероятность пробы курения ребенком (в % от числа опрошенных, дети 1995 г.р.)

Еще одной вредной привычкой, которая может оказывать негативное влияние на здоровье детей, является чрезмерное потребление алкогольных напитков. Исследование показало, что если в семье есть практика употребления алкоголя, то 12 % детей в возрасте 12 лет и половина – в возрасте 15 лет его тоже пробовали (табл. 9).
Таблица 9. Влияние употребляющих алкоголь членов семьи на вероятность потребления алкоголя ребенком (в % от числа опрошенных, дети 1995 г.р.)

Когда мы говорим о здоровье, то нельзя обойти и двигательную активность. Постоянная физическая нагрузка необходима и полезна, она делает организм выносливее и крепче, повышает его сопротивляемость болезням. Исследование показало, что большинство родителей мало уделяют внимания привитию ребенку навыков физической культуры. Установлено, что дети в 54 % случаев не выполняют утреннюю зарядку, 14 % родителей проводят закаливающие процедуры с детьми и лишь 36 % детей занимаются спортом и физической культурой вне школы. Это проблема не только детского населения. Данные российских исследований, проведенных в 2002 г., свидетельствуют о низком уровне физической активности у 73–81 % мужчин и 73–86 % женщин в России [12]. Слабая мотивация на проведение закаливающих и укрепляющих семейных мероприятий может являться причиной ухудшения здоровья детей.
На основе данных мониторинга рассчитан интегральный показатель (по адаптированной к условиям Вологодской области методике, предложенной Министерством здравоохранения Республики Беларусь [13]), характеризующий образ жизни детского населения Вологодской области. Интегральный показатель – индекс жизнеобеспечения (Иж) – используется для оценки социально-гигиенических условий проживания и воспитания детей в семье. И отражает степень соответствия образа жизни ребенка «оптимальному». Значения индекса могут колебаться от 0 до 1, где 0 – наличие неблагоприятных факторов, которые показывают отдельные аспекты образа жизни, а 1 означает оптимальную характеристику образа жизни ребенка.
В методику вошли следующие показатели (критериальные признаки): возраст матери при рождении ребенка; социальное положение матери и ее образование; виды физической активности ребенка; регулярность потребления основных видов продуктов питания; информированность родителей о весе своего ребенка; оценка родителями своих знаний по физиологии и гигиене ребенка, вопросам здорового образа жизни. Было выделено 3 категории оценки критериальных признаков, которым соответствовало три названия: «оптимальный», «субоптимальный», «неоптимальный». Например, для «оптимального» критерия возраст матери при рождении ребенка должен быть до 30 лет, для «субоптимального» – от 30 до 40 лет, для «неоптимального» – свыше 40 лет.
Расчет проводился по следующей формуле:

где N – общее число критериальных признаков, отклонения которых влияют на исследуемый интегральный показатель (N=12); k – количество категорий оценки критериальных признаков (k=3); i – номер категории; ni – число значений для i-категории.
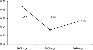
На основе исследования получены следующие результаты. За период с 2008 по 2010 г. наблюдается снижение интегрального показателя, характеризующего образ жизни детей. В 2010 г. образ жизни детей соответствовал «оптимальному» только на 65 % (рис. 3).
При этом следует отметить, что значение интегрального показателя уменьшается с возрастом, что можно видеть из рисунка 4 на примере двух когорт (1995 и 1998 годов рождения).

Рисунок 3. Интегральный показатель соответствия образа жизни детей «оптимальному»

Рисунок 4. Интегральный показатель соответствия образа жизни детей «оптимальному» (на примере когорт 1995, 1998 гг.)
Так, в 2010 г. в когорте 1995 г. в среднем образ жизни детей соответствовал оптимальному на 63 %, снизившись за три года на 5 %. Такая же тенденция прослеживается и в когорте 1998 г. рождения: за трехлетний период показатель снизился на 7 % и в среднем образ жизни детей соответствует «оптимальному» только на 64 %.
Данные интегрального показателя позволили сделать вывод о том, что большинство родителей недостаточно внимания уделяют формированию здорового образа жизни ребенка, в частности привитию навыков физической культуры, правильному и рациональному питанию. По мере взросления ребенка внимание к его здоровью со стороны родителей также ослабевает.
Нужно повышать мотивацию родителей на формирование здорового образа жизни в семье. Для этого очень важно улучшение социально-экономической ситуации в регионе и создание в обществе позитивной установки на здоровьесберегающее поведение, приобретение навыков здорового образа жизни. В связи с этим стоит подчеркнуть, что проблема формирования здорового образа жизни является не только медицинской и находится на стыке здравоохранения и социальной политики государства.