Читать книгу "Криминология"
Автор книги: Коллектив Авторов
Жанр: Юриспруденция и право, Наука и Образование
сообщить о неприемлемом содержимом
Глава 3 Преступность как социально-правовое явление и ее основные характеристики
§ 1. Понятие преступностиПреступность – сложное социально-правовое явление, в силу чего она изучается различными науками, исследующими ее отдельные стороны. Так, уголовное право дает представление о преступлении как уголовно наказуемом деянии; уголовно-процессуальное право рассматривает порядок, процедуру расследования преступлений; криминалистика – методы сбора доказательств, раскрытия преступлений; судебная медицина и психиатрия – влияние физического и психического состояния лица на совершение им преступления; социология – место и роль преступности в обществе, его отдельных структурных элементах.
Однако только криминология охватывает проблему преступности в целом. Данная наука изучает преступность как объективно существующее в обществе негативное явление, связанное с другими социальными явлениями, имеющее свои закономерности, требующее специфических форм и методов борьбы. Именно поэтому понятие преступности служит исходным положением для криминологической науки. Будучи стержневым элементом предмета криминологии, понятие преступности всегда определяло объем и границы научного поиска в сложном криминологическом комплексе многообразных явлений и процессов социальной жизни.
Преступность – собирательное понятие. Она представляет собой социальное явление, включающее совокупность различных актов индивидуального преступного поведения. Однако для преступности свойственно преодоление этих индивидуальных черт и наличие общих для всех преступных деяний признаков, совокупность которых и определяет ее понятие.
Под преступностью в криминологии понимается социальное исторически изменчивое, массовое, уголовно-правовое, системное явление общества, проявляющееся в совокупности общественно опасных уголовно наказуемых деяний и лиц, их совершивших, на определенной территории за определенный период времени. Причем преступность включает не просто множество преступлений. Их совокупность представляет собой сложное специфическое системно-структурное образование с многообразными взаимосвязями преступлений и преступников, разных видов преступлений и преступности в целом.
В приведенном определении преступности выражена ее сущность с точки зрения социально-правовой обусловленности этого явления. Структурные компоненты определения, отражая наиболее существенные признаки преступности, характеризуют ее содержание, реальное проявление (см. рис. 3.1).

Социальная природа и социальная обусловленность преступности проявляются прежде всего в том, что она складывается из конкретных деяний, совершенных людьми в обществе и против интересов общества, их особого социального поведения. При этом в основе преступного поведения людей лежат их конфликты с другими членами общества, возникающие в связи с различием присущих им способностей, интересов, потребностей, возможностей их удовлетворения.
Подчеркивая объективно существующие различия людей, Аристотель образно называл общество «единством непохожих». Такая непохожесть членов общества неизбежно приводит к возможности возникновения между ними конфликтов, наиболее острой формой разрешения которых становятся совершаемые ими преступления.
Преступность социальна еще и потому, что в основе поведения каждой личности лежат не биологические, а социальные причины, социально-экономические законы, обусловленные совокупностью сложившихся общественных отношений с их закономерностями и противоречиями. Это можно проследить на примере ошибок в социально-экономической политике, которые были допущены в нашей стране в «период застоя». Нарушение органичной связи между мерами труда и потребления, искажение принципов социальной справедливости негативно сказались на морально-нравственном состоянии общества, в том числе и на уровне преступности.
Сложившаяся в настоящее время социальная напряженность в нашем обществе, кризисные явления в экономике, политике, в социальной сфере, снижение авторитета органов власти и управления не замедлили сказаться на росте преступности, повышении степени общественной опасности отдельных видов преступлений. Особенно опасный характер приобрели коррупция, организованная преступность, межнациональные конфликты, терроризм, сопровождающиеся гибелью невинных людей и актами вандализма и насилия.
Все это свидетельствует о том, что преступность и ее параметры тесно взаимосвязаны со всеми сторонами социальной жизни общества, и в первую очередь с теми трудностями и социальными коллизиями, которые противостоят общественному прогрессу.
Как социальное явление, преступность обладает определенными закономерностями, т. е. присущими ей, повторяющимися существенными особенностями, отражающими ее связи с иными социальными явлениями.
К этим закономерностям относятся ее объективный, непреходящий характер; зависимость от состояния общественного развития, степени стабильности общества, существующих в нем противоречий; усложнение в связи с развитием научно-технического прогресса, экономики, средств связи, компьютеризации. Закономерностями преступности также являются ее рост в обществе, ослабленном реформированием социально-экономических и политических отношений; ее качественные и количественные изменения в связи с потребностями общества в защите вновь возникших общественных отношений от преступных посягательств; ее самовоспроизводство и т. п.
Преступность как исторически изменчивое явление характеризуется тем, что ее возникновение связано с разделением общества на классы, появлением частной собственности и образованием государственной власти. Признание исторической обусловленности преступности позволяет с полной достоверностью утверждать, что с момента ее появления в обществе она непрерывно изменялась, постоянно преобразовывалась, по-разному выглядели общая криминологическая картина преступности и ее уголовно-правовая характеристика. Это одинаково относится к криминологической характеристике преступности как в различных социально-экономических формациях (рабовладельческой, феодальной, капиталистической, социалистической), так и на отдельных исторических этапах. Постоянно изменялись ее уровень, динамика, структура, специфика причин и условий, оценка господствующими классами кругл деяний, относимых к разряду преступных.
Не была одинаковой преступность и за время существования нашего государства. Происходившие в стране социально-экономические, политические, социально-культурные и иные преобразования так или иначе отражались на общей криминологической картине преступности. Как только в обществе менялись общественные отношения, повышалась социальная напряженность либо его постигали различного рода социальные катаклизмы и неурядицы, почти сразу в неблагоприятную сторону изменялся криминологический облик преступности. Криминализация и декриминализация отдельных видов посягательств на интересы и права тех или иных лиц определяются возникновением новых общественных отношений, потребностями общества в их защите.
Криминология рассматривает преступление как единичный акт человеческого поведения, существующий в одном неповторимом виде. В силу взаимообусловливающих обстоятельств преступление в конкретной обстановке может совершиться, а может и не произойти, т. е. носит случайный, неустойчивый характер. Преступность же, складываясь из отдельных преступных актов, образует явление, объективно отличающееся от составляющих его частей. И в этой связи очень важным признаком преступности является ее массовость.
Преступность – это множество индивидуальных противоправных событий, которые в своей массе образуют негативное социальное явление, имеющее обобщенные статистические показатели и закономерности, характерные для всей их совокупности. При этом количественные характеристики преступности как массового явления обнаруживают устойчивость. В этом находит выражение действие закона больших чисел, заключающегося в том, что при достаточно большом числе единиц совокупности и некоторых определенных условиях случайные отклонения от общей нормы, свойственные отдельным единицам (в данном случае преступлениям), взаимно погашаются. В результате этого проявляется та или иная закономерность преступности как массового явления. Такая закономерность, либо, другими словами, характеристика преступности, не является случайной. Она носит устойчивый характер, и всякие второстепенные или побочные изменения не меняют ее сущности.
Необходимость здесь прокладывает себе дорогу через массу случайностей, проявляет себя в качестве неизбежной силы.
Важной характеристикой преступности является ее уголовно-правовой характер, объединение в ней индивидуальных актов нарушения запретов, сформулированных в уголовном законе. Это позволяет отграничить преступность от иных правонарушений и аморальных поступков.
Выработанная историческим опытом практика показывает, что нельзя регулировать поведение людей в обществе, не оценивая их поступки и не устанавливая меру ответственности за их совершение. Уголовно-правовая оценка того или иного действия – это прежде всего результат отношения к нему со стороны государства. Основной смысл такой оценки состоит в том, что из всего многообразия действий и поступков человека (гражданина) выделяются и оцениваются в соответствии с интересами того или иного общества те из них, которые причиняют обществу наибольший вред, обладают «общественной опасностью». Указанный признак является основным для оценки деяния в качестве преступного.
Уголовно-правовые категории и понятия являются основополагающими не только для науки уголовного права, но и для иных правовых и социально-правовых наук, в том числе и криминологии. При этом криминология должна создавать предпосылки и условия для обнаружения и установления в определенных социальных обстоятельствах тех явлений и процессов, которые порождают общественно опасный тип поведения. На базе этого и при наличии достаточных уголовно-правовых оснований проводится криминализация тех или иных общественно опасных деяний.
Криминологическая сущность преступности не может быть понята и без уяснения соотношения понятий «преступление» и «преступность». При этом следует заметить, что если понятие преступности является криминологическим, то понятие преступления – уголовно-правовым. Преступления, образно выражаясь, это кирпичики, из которых складывается все здание, именуемое преступностью.
Преступление обычно рассматривается в двух основных аспектах: как акт человеческого поведения и как уголовно наказуемое деяние. Среди множества наук, изучающих человека и его поведение, особым своеобразием обладает криминология. Ее задача состоит не столько в том, чтобы зафиксировать и диагностировать последствия нравственно-правового отторжения личности, сколько в изучении и познании тех жизненных условий и обстоятельств, которые сделали эту личность криминогенной и позволили (разумеется, с учетом ее нравственно-психологического и волевого комплекса, а также реального антиобщественного поведения) признать преступной.
Криминологический анализ преступления позволяет в определенной мере проследить социальную и генетическую природу последнего, распознать его движущие начала. Оценивая преступление в целом, необходимо иметь в виду его социально-правовую природу, взаимосвязь юридического и социального. Указанные обстоятельства предопределяют особый криминологический подход к изучению преступления. При этом следует обратить внимание на два момента. Во-первых, с юридической точки зрения, такой подход исключает необходимость выработки своего специального понятия преступления. Понятие преступления, данное в уголовном праве, включает все его правовые признаки, которые и для науки криминологии являются существенными. Во-вторых, с социальной точки зрения, криминологический подход определяет анализ преступления как реального негативного общественного явления. Понятие преступления при этом выносится за рамки, очерченные уголовным правом. Поэтому в качестве существенного и обязательного условия выступает исследование социального содержания преступления и его взаимосвязи с тем, что его породило и что явилось его результатом.
Однако преступность не просто множество преступлений или даже их статистическая совокупность. Она по своей природе является специфическим системным образованием с многообразными связями преступлений и преступников, преступлений и видов преступности, с наличием собственных закономерностей, т. е. объективных, устойчивых существенных связей с различными социальными явлениями и процессами общества.
Системный подход к пониманию преступности важен прежде всего потому, что позволяет подойти к ней как к сложному проявлению внешних и внутриструктурных связей, продукту социальной среды, несущему на себе отпечаток разных сфер жизни общества и жизнедеятельности различных групп и социальных общностей. С другой стороны, это позволяет рассматривать преступность как явление, обладающее относительной самостоятельностью, специфическими чертами. В частности, ее изменения не повторяют автоматически изменения внешних условий, а являются результатом их преломления через собственные специфические характеристики. При этом преступность способна оказывать обратное воздействие на условия социальной среды, породившие ее.
Между всеми вышеназванными признаками преступности существует диалектическое единство. Изменение одной стороны преступности неизбежно ведет к изменению других ее сторон и, следовательно, преступности в целом. Между преступностью, ее видами и отдельными преступлениями существует диалектическая связь общего, особенного и единичного.
Завершая рассмотрение признаков преступности, следует подчеркнуть, что она представляет собой не просто абстрактное криминологическое понятие, сформированное из совокупности ее свойств и признаков, но реальное жизненное негативное явление общества, имеющее место на определенной территории, зафиксированное за определенный период времени.
§ 2. Основные показатели преступностиГлубокое изучение преступности немыслимо без анализа ее статистических и социальных показателей. В криминологии принято выделять количественные и качественные показатели преступности (см. рис. 3.2), каждый из которых играет свою особую роль в оценке преступности, но, взятый в отдельности, не может дать объективного представления о ней. Только во взаимосвязи друг с другом показатели преступности могут выполнять свое криминологическое назначение с точки зрения углубления познания ее существенных сторон.
Анализ преступности обычно начинается с оценки такого ее показателя, как объем (состояние), который определяется общим количеством совершенных преступлений, а также числом лиц, их совершивших, на определенной территории за кои крепили период времени. При этом следует иметь в виду, что число преступлений не всегда совпадает с числом лиц, их совершивших, так как одно преступление может быть совершено группой лиц, а одно лицо зачастую совершает несколько преступлений.
Оценка распространенности преступности предполагает не только выяснение абсолютного числа преступлений и преступников, но и сопоставление полученных данных с показателями численности населения. Это достигается путем определения интенсивности (уровня) преступности.
Интенсивность преступности – это ее характеристика, измеряемая числом совершенных преступлений и их участников в расчете на определенную численность населения, например на 10 или на 100 тысяч жителей. Таким образом измеряется общий уровень преступности и уровень криминальной активности населения.

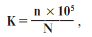
В целях определения интенсивности преступности производится расчет соответствующих коэффициентов для каждого из указанных ее уровней по следующим формулам:
коэффициент преступности (К):

где п – число совершенных (зарегистрированных) преступлений на определенной территории за определенный период;
N – численность населения, достигшего возраста наступления уголовной ответственности, проживающего на территории, для которой рассчитывается коэффициент;
105 – единая расчетная база;
коэффициент преступной активности (I):

где m – число лиц, совершивших преступления за определенный период на определенной территории;
N – численность активного населения (14–60 лет), проживающего на территории, для которой рассчитывается коэффициент;
105 – единая расчетная база.
При этом следует иметь в виду, что учет всего количества населения нельзя считать вполне корректным, так как в этом случае общий показатель уровня преступности нивелируется за счет лиц, не достигших возраста уголовной ответственности (14 лет), а также лиц в возрасте 60 лет и старше, которые, как известно, не обладают особой криминальной активностью. Эти категории лиц целесообразно исключать из расчетных данных интенсивности преступности.
Важное значение имеет и такой показатель преступности, как ее динамика, т. е. изменение во времени. Динамика преступности определяется путем расчета таких ее характеристик, как абсолютный рост (снижение), темпы ее роста и прироста, производимого по следующим формулам:
абсолютный рост (снижение) преступности (А):
А = U – U1,
где U – показатель объема (уровня) преступности;
U1 – предшествующее значение того же показателя;
темп роста (снижения) преступности (Тр):

темп прироста преступности (Тпр):
Тпр = Тр – 100 %.
Темпы роста преступности рассчитываются на основе использования базисных показателей динамики, когда данные ряда лет сопоставляются с постоянным базисом – объемом преступности в начальном для анализа периоде. Это позволяет в большей мере обеспечить сопоставимость относительных показателей – процентов, которые показывают, как соотносится преступность последующих периодов с предыдущим. При этом за 100 % принимаются данные исходного года, а все последующие годы отражают только процент прироста. Оперирование относительными данными снимает вопрос об обусловленности снижения или роста преступности увеличением или снижением численности жителей, достигших возраста уголовной ответственности.
Темп прироста преступности выражается в процентах и показывает, насколько увеличился или уменьшился последующий объем преступности по сравнению с предыдущим периодом. При увеличении процент, отражающий темп прироста, обозначается знаком «+», при снижении – знаком «—».
На динамику преступности как социально-правового явления влияют две группы факторов:
1) социальные, определяющие сущность преступности, ее общественную опасность (причины и условия преступлений, количество народонаселения, его миграция и т. п.);
2) юридические – изменения уголовного законодательства, раскрываемость преступлений, обеспечение неотвратимости ответственности и т. п.
К показателям преступности также относятся ее структура, характер, территориальное распределение, «цена».
Структура определяется соотношением (удельным весом) в преступности ее видов, групп преступлений, классифицируемых по уголовно-правовым либо криминологическим основаниям. Такими основаниями могут быть: социальная и мотивационная направленность; социально-территориальная распространенность; социально-групповой состав; степень и характер общественной опасности; устойчивость преступности; степень организованности и другие признаки, определяемые с учетом ее внешних и внутренних характеристик (см. рис. 3.3).
Анализируя структуру преступности, необходимо определить в процентах соотношение преступлений особо тяжких, тяжких, средней и небольшой тяжести; умышленных и неосторожных, а также удельный вес рецидивной, профессиональной, групповой преступности; долю преступности несовершеннолетних и т. п.
В криминологическом плане большое значение имеет характер мотивации личности преступника. Обычно выделяют насильственные, корыстные и корыстно-насильственные преступления. Сравнение мотивационной характеристики преступности в разные периоды и в разных административно-территориальных единицах позволяет, например, понять, какого рода искажения нравственного и правового сознания, потребностей и интересов лежат в основе наиболее распространенных видов преступности, и в соответствии с этим достаточно точно определить главные ориентиры предупредительной работы.
Анализ структуры преступности будет тем глубже, чем точнее избраны его основания. Так, если всю преступность несовершеннолетних принять за 100 %, а затем установить ее удельный вес с учетом территориальной распространенности, то можно выявить конкретные регионы, в наибольшей степени пораженные этим видом преступлений. Поступая таким же образом, но принимая за 100 % преступность несовершеннолетних на определенной территории, можно выяснить, какие возрастные и социальные группы обладают наибольшей криминогенностью и совершают преобладающее количество преступлений.

Для определения удельного веса отдельного типа, рода, вида или разновидности преступности (С) используется следующая формула:

где и – показатель объема отдельного типа, рода, вида или разновидности преступности на определенной территории за определенный период времени;
U – показатель объема всей преступности на той же территории за тот же период времени.
Характер преступности – доля наиболее опасных преступлений в ее структуре. Этот показатель отражает также характеристику лиц, совершающих преступления. Таким образом, характер преступности определяет степень ее общественной опасности, исходя из совокупности в общем объеме преступности особо тяжких и тяжких преступлений, а также лиц, их совершивших. Удельный вес тяжкой преступности (D) рассчитывается по формуле:

где и – показатель объема тяжкой преступности;
U – показатель объема всей преступности.
Особое значение имеет такой показатель преступности, как ее территориальное распределение по различным регионам страны («география» преступности).
Территориальные различия в объеме, интенсивности, структуре, динамике, характере преступности тесно связаны с уровнем социально-экономического развития отдельных регионов страны, с национальными традициями, обычаями, уровнем культурно-воспитательной работы, организацией быта и досуга населения, качеством правоохранительной деятельности, с другими факторами. Эти различия учитываются при определении задач общества по противодействию преступности, наиболее важных направлений предупредительной работы.
Показатель территориального распределения преступности (R) рассчитывается по формуле:

где и – показатель объема преступности на одной из административно обособленных территорий, входящих в состав государства;
U – показатель объема преступности на территории, в состав которой входит конкретная административно обособленная территория.
Своеобразная «цена» преступности отражается в таком ее дополнительном качественно-количественном показателе, как социальные последствия. К ним относятся реальный вред, причиняемый преступностью общественным отношениям, выражающийся в совокупности негативных последствий в результате совершения преступлений, а также в экономических и иных издержках общества, связанных с борьбой с преступностью.
Последствия преступности могут проявиться в самых разных сферах жизнедеятельности общества: социально-экономической, политической, духовной, нравственной, трудовой, семейной и т. п. Естественно, что не всякий ущерб, наносимый преступностью, может быть исчислен или выражен в денежном эквиваленте. Но все последствия преступности наносят ущерб обществу, отрицательно сказываются на общественных отношениях. Социальные последствия преступности могут быть прямыми, непосредственно связанными с преступлениями, и косвенными, связь которых с преступлениями опосредована через расходы на борьбу с преступностью либо на возмещение нанесенного потерпевшим нравственного или материального ущерба.
Имущественный (материальный) ущерб исчисляется в денежном выражении; ущерб от насильственных посягательств оценивается числом случаев смерти, причинения вреда здоровью, повлекшего инвалидность, числом рабочих дней, потерянных в связи с утратой трудоспособности потерпевших, размерами расходов на лечение и выплату денег по листкам нетрудоспособности и т. п.
Всестороннее и глубокое изучение преступности не может осуществляться без учета ее последствий. Особенно это важно при разработке мер предупреждения преступлений, ограничения, минимизации вреда от их совершения.