Читать книгу "Матрицы. Определители и их свойства. Часть 1"
Автор книги: Николай Морозов
Жанр: Прочая образовательная литература, Наука и Образование
Возрастные ограничения: 16+
сообщить о неприемлемом содержимом
Матрицы. Определители и их свойства
Часть 1
Николай Петрович Морозов
© Николай Петрович Морозов, 2024
ISBN 978-5-0064-5649-5 (т. 1)
ISBN 978-5-0064-5650-1
Создано в интеллектуальной издательской системе Ridero
Понятия об определителях и их основные свойствах.
Об операциях с матрицами..
Введение
Этой книгой я начинаю курс практических занятий по Линейной алгебре, которые я проводил со студентами университета культуры и искусств в городе Санкт – Петербурге. Параллельно с этим, на порталах «Инфоурок « и «Знание» появились и мои авторские материалы в виде статей, презентаций, рабочих программ и т. д. Одно из доказательств этого – СВИДЕТЕЛЬСТВО № ЯЙ 70400661 от 27.01.2022г. показано в Приложении.
1. Матрицы и операции над ними
Матрицами называются массивы элементов, представленные в виде прямоугольных таблиц, для которых определены правила математических действий.
Элементами матрицы могут являться числа, алгебраические символы или математические функции.
Матрицы широко используются для решения систем алгебраических и дифференциальных уравнений, шифрования сообщений в Интернете и т. д.
Таким образом, матрица обозначается одной из заглавных букв латинского алфавита, например A, а набор ее элементов помещается в круглые скобки:

Формула матрицы
Представленная формулой (1) матрица A имеет m строк и n столбцов и называется m×n матрицей или матрицей размера m×n.
Строки матрицы нумеруются сверху вниз, а столбцы – слева направо (см. рис.1):

Рис.1.
Матричный элемент, расположенный на пересечении i-ой строки и j-го столбца, называется i,j-м элементом и записывается в виде ai j, а выражение A = || ai j || означает, что матрица A составлена из элементов ai j. (см. рис.2):

Рис.2.
Матрица (см. рис.2.) размера 1×n называется матрицей-строкой или вектором-строкой.

Рис.3.
Матрица (см. рис.3.) размера n×1 называется матрицей-столбцом или вектором-столбцом.
Для краткости вектор-строку и вектор-столбец обычно называют просто векторами.
Особую роль играют матрицы, у которых число строк совпадает с числом столбцов, то есть матрицы размера n×n. Такие матрицы называются квадратными (см. рис.4).

Рис.4.
При ссылке на квадратную матрицу достаточно указать ее порядок. Например, матрица третьего порядка имеет размер 3x3 (см. рис.5)

Рис.5.

Рис.6.

Рис.7.

Рис.8.
Единичную матрицу обозначают буквой E или I.

Рис.9.

Рис.10.
1.1.Равенство матриц
Матрицы A = || ai j || и B = || ai j || считаются равными, если они имеют одинаковые размеры и их соответствующие матричные элементы попарно равны:

для любых допустимых значений индексов i и j.
1.2. Умножение матрицы на число
Умножать на число можно матрицу любого размера. При умножении матрицы A на число λ каждый ее матричный элемент умножается на это число:

для любых допустимых значений индексов i и j.
В результате получим новую матрицу В.

В результате получим матрицу 3A.

Вынесение общего можителя за знак матрицы.
1.3.Сложение матриц
Операция сложения определена только для матриц одинаковых размеров. Результатом сложения матриц A = || ai j || и B = || bi j || является матрица C = || ci j ||, элементы которой равны сумме соответствующих матричных элементов:

Формула операции сложения.

Результат сложения двух матриц.
Складывать (и вычитать) можно матрицы только одного размера!

Результат сложения двух матриц с учетом правила A +0 = A.
1.4.Вычитание матриц

Формула вычитания двух матриц.

1.5.Умножение строки на столбец
Пусть А = – матрица-строка размера 1×n, и пусть В – матрица-столбец размера n×1. (Иначе говоря, пусть число элементов в строке матрицы A совпадает с числом элементов в столбце матрицы B.)
Тогда произведением AB называется число, равное сумме попарных произведений соответствующих матричных элементов:

Формула является правилом умножения строки на столбец.
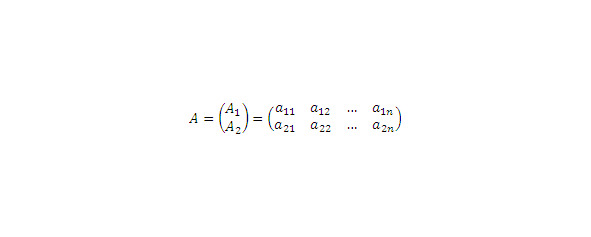
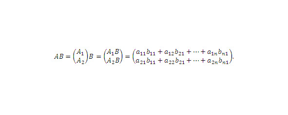
Если матрица A содержит m строк, а матрица B – n столбцов, то произведение AB представляет собой m×n матрицу, i,j-ый элемент которой вычисляется по правилу умножения i-ой строки матрицы A на j-ый столбец матрицы B. Например, при умножении двухстроковой матрицы:

Двухстроковая матрица A.
на матрицу-столбец:

Матрица – столбец B.
каждая из строк (A1 и A2) матрицы A поочередно умножается на столбец B.
Результатом произведения AB является матрица размера 2×1

Результат произведения AB.
1.6. Умножение матриц
Перемножать матрицы можно только, если число столбцов первой матрицы равно числу строк второй!
Пусть – m×l матрица и пусть – l×n матрица.

Матрица A.

Матрица B.
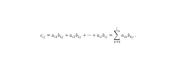
Тогда произведением AB называется матрица размера m×n, элементы которой вычисляются по правилу умножения i-ой строки матрицы A на j-ый столбец матрицы B:

Процесс умножения элементов матриц.

Продолжение процесса умножения матриц.

Результат процесса умножения матриц AB – новая матрица С.
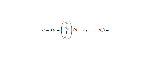
Если обозначить строки матрицы A символами

Строки матрицы A.
,а столбцы матрицы B – символами, то правило матричного умножения можно представить в следующем блочном виде:

Столбцы матрицы B.

Формула умножения столбцов и строк для итговой матрицы C.

Результат матричного умножения.
Таким образом, если матрица A содержит m строк, а матрица B содержит n-столбцов, то произведение AB представляет собой матрицу С размера m × n.
Элемент, стоящий в i-ой строке и j-ом столбце матрицы AB, вычисляется по правилу умножения строки на столбец: i-ая строка матрицы A умножается на j-ый столбец матрицы B.
Операция матричного умножения определена только для матриц, удовлетворяющих определенным условиям, из которых важнейшим является: Перемножать матрицы можно только, если число столбцов первой матрицы равно числу строк второй!
1.7. Транспонирование матриц
Любую матрицу А можно транспонировать.

Транспонированной матрицей называется матрица, в которой столбцы исходной матрицы А заменяются строками с соответствующими номерами.
Транспонированием называется операция перехода от исходной матрицы к транспонированной.

Обозначение транспонированной матрицы.
Т.о, если исходная А имеет размер n x m, то транспонированная матрица имеет размер m x n.
Пример 1.
Задана матрица А =
...
конец ознакомительного фрагмента
Внимание! Это не конец книги.
Если начало книги вам понравилось, то полную версию можно приобрести у нашего партнёра - распространителя легального контента. Поддержите автора!Популярные книги за неделю
-
Когда их загадочный приемный отец Па Солт умер, Майя и шесть ее сестер собираются вместе…
-
В последнее время Стас получал пугающие письма, потом в него стреляли и в конце концов…
-
1945 год. На побережье Восточной Пруссии немцы готовят диверсию под кодовым названием…
-
Долгожданное продолжение цикла «Парни из Аквикса» от Меган Брэнди, королевы современной…
-
Врач. Измена. Точка! Это конец!
– Ужинать будем? Холодные, но такие красивые глаза Аксенова смотрят на меня в упор. Я… -
Иногда сложно понять, как поступить правильно, особенно когда подруга, которой вы…
-
Бывшие. Ты не узнаешь о дочери
—Ты видела новости? – выпаливает мама. – Миша Зверев вернулся в город! Имя, которое я… -
Так плохо, как сегодня. Сволочей тоже…
Виктория Токарева – известный писатель и сценарист; ее имя знакомо российским читателям и… -
Планета Лима– Каприз подверглась нападению. Командир КОРП «АРМА» Михаил Шальнов, больше…
-
Баронесса Кашинская. Комбо над пропастью
Я всегда любила фэнтези и даже изредка представляла, что буду делать в той или иной… -
Егерь Императрицы. Сквозь лед и пламя
Весной 1799 года русская армия вступила в Италию, чтобы сокрушить французов. Фельдмаршал… -
Что делать, если во время случайного пожара тебя не спасают, а похищают из собственного…
-
Еще раз про любовь. Комплект из 3 книг
Комплект из 3 книг – платите меньше, читайте больше! С состав входят: Однажды ты узнаешь,… -
Князя Витгенштейна срочно отозвали с Кавказа и отправили… во избежание… В Европу, послом…
-
Я верила, что лечу в кавказскую республику к мужчине своей мечты. Тамерлан был идеальным,…
-
Изменил, Сибиряк? Признавайся!
– Какого черта – начал говорить мужчина, увидев вошедшую в кабинет без стука женщину, но… -
Девятнадцатилетняя Настя привыкла жить в тени своей матери, знаменитой актрисы Дианы…
-
Три шедевра Булгакова: must‑read…
Комплект из 3 книг – платите меньше, читайте больше! С состав входят: Белая гвардия,… -
Маня Денисова жила с мыслью, что ангел-хранитель про нее забыл. Во всех сферах жизни у…
-
Испытания любовью. Комплект из 3 книг…
Комплект из 3 книг – платите меньше, читайте больше! С состав входят: Дневник свекрови,… -
Судьбы водят хоровод. Комплект из 4 книг
Комплект из 4 книг – платите меньше, читайте больше! С состав входят: Судьбы водят… -
Дизайнер Жорка. Комплект из 2 книг
Комплект из 2 книг – платите меньше, читайте больше! С состав входят: Дизайнер Жорка.… -
«Жизнь порой бывает несправедлива», – думал Янис, сидя в чужом саду на дереве.…
-
Андрей Аствацатуров – петербургский прозаик, филолог, эссеист, профессор СПбГУ. Автор…