Автор книги: Д. Павлов
Жанр: Биология, Наука и Образование
сообщить о неприемлемом содержимом
Текущая страница: 5 (всего у книги 8 страниц) [доступный отрывок для чтения: 2 страниц]
10.2. Технология разведения и применения златоглазки обыкновенной
Златоглазка обыкновенная – Crysopa carnea L. – представитель семейства златоглазок (Chrysopidae) отряда сетчатокрылых (Neuroptera). Имаго энтомофага летом светло-зеленого, зимой желтоватого цвета с красноватым оттенком. Спинка и брюшко с продольной светлой полосой. Яйца овальные, зеленоватые, сидят на стебельках. Личинки камподиевидные, с длинными серповидно изогнутыми мандибулами. Личинки проходят в развитии 3 возраста, имеют замкнутую пищеварительную систему. Окукливаются в зеленовато-белом шаровидном коконе на листьях, под корой, на почве. Куколка зеленая, свободная.
Зимуют имаго в укромных местах в природе или в помещениях. Вылет из мест зимовки происходит при 11–16 ºС. После непродолжительного дополнительного питания нектаром и пыльцой растений самки откладывают яйца. Отрождающиеся через 2–3 дня личинки хищничают, питаясь тлями, щитовками, яйцами и личинками младших возрастов 76 видов насекомых, а также 11 видами паутинных клещей. Высокая прожорливость и плодовитость, а также широкая экологическая пластичность златоглазки обыкновенной послужили основанием для использования ее в биологической борьбе с тлями методом сезонной колонизации.
В настоящее время при разведении личинок златоглазки выкармливают яйцами зерновой моли. Личинок выращивают в бумажных ячеистых садках – по одной личинке в ячейке из-за каннибализма личинок, помещенных на мелкоячеистую сетку (мельничный газ), натянутую на рамку.
Для получения одновозрастных личинок златоглазки свежеотложенные яйца помещают в термостат, где они при 25 ºС и относительной влажности воздуха 80 % проходят инкубацию. Через двое суток после помещения на инкубацию, когда яйца приобретают сероватый цвет, их рассеивают с помощью простого приспособления типа перечницы в садки из расчета 2 яйца на 1 ячейку. Для заполнения 1 садка требуется около 800 яиц, или 34,8 г. Одновременно вносят яйца ситотроги из расчета 2 мг на 1 ячейку.
Садок накрывают стеклом и снова ставят в термостат. Через 5 дней проводят повторное кормление личинок уже 2-го возраста, внося по 14 мг на одну ячейку. Третье кормление – личинок 3-го возраста проводят через 3 дня после второго, внося по 16 мг на ячейку.
Яйца ситотроги рассеивают на стекло, смазанное тонким слоем меда. Личинок предварительно усыпляют углекислым газом или охлаждают в холодильнике. Затем заменяют стекло, покрывающее садок, стеклом с наклеенными яйцами зерновой моли. Заблаговременно подготовленные стекла с кормом можно хранить в холодильнике длительный срок.
Через 3–5 дней после третьего кормления личинки заканчивают питание и окукливаются. С одного садка получают до 450 коконов.
Во ВНИИ биометодов предложен метод группового содержания личинок златоглазки при избыточном кормлении яйцами моли в пол-литровых банках по 100 особей. Этот способ применяют для получения и выпуска в природу личинок 2-го возраста.
Для получения имаго златоглазок необходимо содержание в садках, так как личинки поедают коконы (каннибализм).
Через 6–7 дней после образования коконов в садках их переносят в садки для содержания имаго. Они представляют собой контейнеры диаметром 30 см с высотой стенки 10 см. Стенки изготовляются из кровельного железа или другого материала, а дно затягивается мельничным газом. Сверху садок покрывают плотной темной тканью или бумагой. На нее через ячейки в сетке самки откладывают яйца. Заменяя бумагу или ткань, получают ежедневно свежую партию яиц. В одном садке содержат до 200 имаго. Для кормления имаго используют сменные пластинки с нанесенным кормом или поролоновые кормушки. Первые 4–5 дней имаго кормят только медом (20 %-ный раствор), а затем и 40 %-ным автолизатом пивных дрожжей (витамины, белок, углеводы).
Яйца срезают бритвой или сбивают раствором гипохлорита натрия каждые два дня. Хранят яйца при температуре +5 °С и влажности воздуха 80–90 % не более 20 дней. Личинок 1-го возраста при таких же условиях хранят до 30–40 дней, личинок 2-го возраста – до 20 дней. Коконы можно хранить после сформирования в них куколок (через 7 дней после образования кокона) при 20 °С и влажности 75 % не более 10 дней.
Взрослых златоглазок хранят в холодильниках в садках или стеклянных 0,5 л банках по 200 экземпляров при 4 °С, влажности 70–90 %. Перед закладкой на хранение имаго кормят медом или сиропом 5 дней, а во время хранения – 1 раз в 5 дней. Длительное хранение снижает жизнеспособность имаго и других стадий развития.
Работу по размножению златоглазки начинают за 35–40 дней до предположительного появления тлей в теплицах или в открытом грунте. В случае опережения сроков выпуска златоглазку хранят при пониженной температуре (рис. 26).
Важным моментом, обеспечивающим эффективность выпуска златоглазки, является тщательное обследование, своевременное выявление очагов тли на растениях.
Наиболее эффективны выпуски личинок 2-го возраста златоглазки по сравнению с выпусками имаго или раскладыванием яиц. При численности тлей 150–200 особей на 1 растение огурцов до начала плодоношения или 1000 особей на плодоносящих растениях личинок выпускают в соотношении с тлей 1:5. При каждом очередном обследовании учитывают соотношение в старых очагах тли и выявляют новые. В случае необходимости выпуски повторяют.

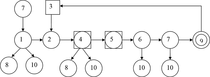
Рис. 26. Блок-схема разведения златоглазки обыкновенной:
1 – инкубация яиц до заселения садков; 2 – заселение садков; 3 – получение яиц ситотроги; 4 – кормление личинок 2-го возраста; 5 – кормление личинок 3-го возраста; 6 – сбор коконов; 7 – содержание имаго; 8 – выпуск в поле, теплицах; 9 – хранение имаго зимой; 10 – временное хранение
На зеленных культурах производят массовые выпуски личинок 2-го возраста в соотношении 1:10 – 1:50 в качестве «живого инсектицида», то есть без расчета на их дальнейшее размножение на культуре.
Разработаны технологические линии по производству златоглазки, включающие те же процессы, что и при лабораторном разведении.
Контрольные вопросы и задания:
1. Для борьбы с какими вредителями используются кокцинеллиды?
2. Опишите общую схему разведения кокцинеллид на естественном корме.
3. Назовите компоненты полусинтетических питательных сред для кокцинеллид.
4. Опишите общую схему разведения златоглазки обыкновенной на яйцах зерновой моли.
5. Расскажите о методе группового содержания личинок златоглазки.
6. В каком соотношении «хищник: жертва» производят выпуск златоглазки?
Лабораторная работа № 11. Развбдбниб и применение энтомофагов тлей в закрытом грунте
Цель работы: рассмотреть стадии развития энтомофагов тлей – афидимизы, афидиуса, лизифлебуса – и записать технологию их разведения и применения, составить блок-схему производства.
Материалы и оборудование: бинокулярные микроскопы, биологические коллекции афидимизы, афидиуса, лизифлебуса, таблицы.
11.1. Хищная галлица афидимиза
Биологические особенности афидимизы. Хищная галлица афидимиза (Aphidoletes aphidimyza Rond.) – эффективный афидофаг в условиях защищенного и открытого грунта.
По сравнению с другими хищниками она менее требовательна к дополнительному питанию и хорошо переносит условия теплиц. Наиболее активна в ночные часы, когда понижается температура и влажность воздуха. Самки при откладке яиц не пропускают даже единичных особей тлей, что важно в период расселения тли. Не откладывают яиц при отсутствии тли на листьях.
Хищная галлица-афидимиза является представителем семейства галлиц (Cecidomyiidae) отряда двукрылых, или мух (Diptera). Взрослые насекомые – небольшие комарики длиной 1,8–2,2 мм бурого цвета с дуговидно изогнутыми 12-члениковыми усиками. У самцов они равны длине тела, у самок – в два раза короче. У молодых и стерильных самок брюшко полупрозрачное светло-серое, у фертильных самок при созревании яиц оно становится красноватым. Яйца – удлиненно-овальные, от бурой до оранжевой окраски. Личинки червеобразные, желто-коричневые. Куколка свободная, находится в шелковистом коконе, снаружи покрытом частичками почвы. Зимует диапазитирующая личинка в коконе под растительными остатками.
После вылета имаго нуждаются в дополнительном питании медвяной росой или падью тли, пьют воду. Размножаются частично партеногенетически, а в основном гамогенетическим (обоеполым) путем.
Яйца откладывают на стебле и листьях в колониях различных видов тлей. Плодовитость самок от 25 до 118 яиц, а при дополнительном питании углеводами бывает выше.
При длительном бездиапаузном содержании в лабораториях в популяциях преобладают самки, но они становятся стерильными.
Личинки афидимизы активно ищут тлю, могут развиваться на 61 ее виде. Они сначала парализуют жертву, прокалывая одно из сочленений ног и вводя сильнодействующий токсин, затем питаются ее гемолимфой. За период своего развития одна личинка уничтожает до 50 и более тлей, а парализует значительно большее количество.
Технология массового размножения афидимизы. Размножают афидимизу в биолабораториях и в тепличных хозяйствах, где выделяют специальные разводочные теплицы.
Разведение включает 4 основных технологических операции: 1) выращивание кормовых растений для тли; 2) накопление на них тли; 3) разведение личинок афидимизы; 4) получение и хранение коконов хищника.
Для массового разведения необходимо иметь два изолированных помещения. Одно для накопления тлей, другое для разведения афидимизы. Площадь разводочной теплицы для 10 га производственных теплиц должна составлять 100–150 м2.
Наиболее удобной для выращивания афидимизы является виковая тля, заселяющая ограниченный круг бобовых растений. Она крупная, легко стряхивающаяся с растений бобов, вики, чины. Можно использовать также свекловичную, капустную, гороховую и другие виды тли. Часто выращивают афидимизу и на обыкновенной злаковой тле. В любом случае обязательно создают запас кормовых растений тли. Зерновые выращивают в узких кюветах с торфом, а бобовые – в пол-литровых банках с водой. Афидимиза не заражает тлю в загущенных посевах. Выращивают растения при температуре 25 °С, интенсивном освещении, которые регулируются автоматически.
Растения заселяют тлей непосредственно перед помещением в садки с галлицей или заранее, предоставляя ей развиваться на растениях. Всходы бобовых ставят в помещение с уже заселенными тлей растениями (маточник тли), и они самостоятельно переходят на всходы, или заселяют их искусственно из расчета 20 тлей на растение. При достижении всходами высоты 5–6 см на них накапливается большое количество тли, и их ставят в боксы с афидимизой для заселения.
Заселение колоний тли афидимизой производят в садках объемом 40 см3. Через отверстие-дверцу в садок помещают на сутки или двое заселенные тлей растения. Чтобы предотвратить вылет галлицы из садков, на дверцу направляют вентилятором слабый поток воздуха. Для поддержания высокой плотности галлицы в садках туда 2–3 раза в неделю вносят коконы афидимизы в количестве 1,5–2 тыс., из которых за 2–3 недели отрождаются имаго галлицы. За сутки самки галлицы откладывают на растения с тлей 5–6 тыс. яиц.
Растение с отложенными яйцами галлицы и тлей ставят в другие садки. Инкубация яиц длится 2–3 дня. Перед отрождением личинок галлицы растения переносят в другие садки, где на дно насыпан предварительно просеянный и прокаленный песок. Посредине помещают банку с растениями. Или песок насыпают в кюветы, над которыми помещают наклонно растения зерновых в двух кюветах, чтобы ростки соприкасались. Это делается для того, чтобы на окукливание закончившие питание личинки галлицы уходили в песок. Проводят дополнительное питание тлями, если их оказалось недостаточно. Развитие личинок завершается за 7–8 дней. За 1–2 суток все личинки окукливаются. После этого растения из садка убирают, песок просушивают при комнатной температуре. Затем просеивают через сита для отделения коконов от песка. Песок дезинфицируют и используют повторно.
Для хранения зимой используют коконы с диапазитирующими личинками галлицы. Для введения в диапаузу их выращивают при 14 °С.
Хранят в пол-литровых банках со стерильным песком до 1 года в холодильниках при 3–4 °С (рис. 27).
Применяют афидимизу в теплицах, расставляя заселенные личинками галлицы растения с бобовой (гороховой, злаковой) тлей. Личинки после уничтожения тли на этих растениях переходят на основную культуру. Или расселяют личинок афидимизы, находящихся в коконах. При обнаружении единичных очагов тли в теплице раскладывают по 1 кокону на 1 м2. Если очаги большие и обнаружены самки-расселительницы тли, то норму увеличивают в 2–3 раза. Личинок или имаго афидимизы выпускают из расчета 1:20, или 1 самка на 25 тлей в очагах.

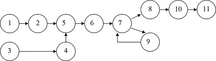
Рис. 27. Блок-схема разведения и применения афидимизы:
1 – сбор коконов в природе; 2 – маточник афидимизы; 3 – выращивание кормовых растений тли; 4 – заселение растений тлей (маточник тли); 5 – садок для заражения тли афидимизой; 6 – инкубация яиц галлицы; 7 – развитие личинок в садке с песком до окукливания; 8 – сбор коконов с куколками; 9 – стерилизация и просушивание песка; 10 – хранение коконов афидимизы; 11 – выпуск афидимизы в теплице
11.2. Афидиус – внутренний паразит тлей
Афидиус (Aphidius matricariae L.) – представитель рода афидиус (Aphidius) семейства афидиид (Apidiidae) надсемейства хальцидовых (Chalcidoidea).
Играет важную роль в регуляции численности тлей на различных культурах – полевых, плодовых – как в открытом, так и защищенном грунте. Часто афидиусы могут заражать несколько видов тлей, т. е. являются олигофагами. Встречается и узкая специализация – монофагия. В свою очередь один вид тли может служить хозяином для разных видов афидиид. Наиболее часто и широко на многих культурах и видах тлей паразитирует афидиус матрикариэ (A. matricariae Hal.). Он активно заражает злаковую, гороховую, вишневую, оранжерейную и другие виды тли.
На зерновых большой злаковой тлей питаются личинки афидиид А. urticae Hal., А. ervi Hal., А. picipes Nees., заражающие также персиковую тлю, гороховую и др. виды.
На Дальнем Востоке и Сахалине встречается местный вид, разводимый теперь в лабораториях и других регионов – А. giphuensis. Он в природе заражает капустную, обыкновенную картофельную и бобовую тлей, а при отсутствии предпочитаемых видов откладывает яйца в бахчевую, зонтичную, злаковую и др. тлей. В лабораторных условиях воспитывают в основном два вида афидиид – A. matricariae Hal. и А. giphuensis Ahmead.
Тело взрослых афидиид отличается мелкими размерами – 1,5–2,2 мм, коротким грудным отделом, удлиненным, обычно стебельчатым брюшком. Усики с небольшим количеством члеников. Крылья, как у всех халицидовых, с упрощенным жилкованием, иногда имеют замкнутую центральную ячейку.
Все афидииды – паразиты тлей, окукливающиеся внутри хозяина. Зимует афидиус в фазе личинки последнего возраста и очень редко – в фазе предкуколки в мумифицированном хозяине. Имаго эндопаразита, отрождающееся из мумифицированной тли, перед вылетом прогрызает летное отверстие на нижней стороне брюшка хозяина. Вылетевшим насекомым подкормка углеводами не нужна, так как они получают ее из «медвяной росы» тлей. Насекомые охотно пьют капли воды.
Афидиусы обладают хорошими поисковыми способностями. Они наиболее активны в утренние и вечерние часы: в это время они спариваются, отыскивают жертву и откладывают яйца. Оптимальная температура для развития паразита находится в пределах 20–26 °С. Продолжительность жизни имаго при таком режиме 7–9 дней. Одна генерация развивается за 12–14 дней. Фактическая плодовитость одной самки 60–80 яиц. В популяции может быть до 50 % самцов. При разведении и в природе афидииды страдают от сверхпаразитов. Самки афидиусов откладывают яйца в личинок тлей всех возрастов, предпочитая личинок 2–4-го возраста; личинки тли младших возрастов после заражения паразитом погибают.
Для разведения A. matricariae Hal. в лабораториях используют проростки зерновых и обыкновенную злаковую тлю. В мелкие кюветы насыпают песок или грунт слоем 1–2 см (можно использовать опилки или другие материалы). Субстрат увлажняют и покрывают зерном (пшеница, ячмень, кукуруза) сплошным слоем. Сверху присыпают тонким слоем субстрата. При достижении проростками высоты 2–3 см их заселяют тлей из расчета 2–3 особи тли на растение. Для поддержания процесса непрерывного разведения посевы зерна производят через каждые 2–3 дня.
На 5-й день после заселения тлей ее численность достигает 30–40 экз/растение. Кюветы с заселенными тлей растениями переносят в помещение, где идет лет афидиуса, и оставляют для заражения паразитом.
Образование мумий паразитированной тли (с личинками афидиуса 4-го возраста) завершается при 26 °С за 8–9 суток.
Затем растения срезают и применяют в производственных теплицах, раскладывая в очагах тли (оранжерейной или персиковой) на возделываемых культурах (огурец, томаты, зеленные, цветочные и др.).
Хранить срезанные растения с мумиями можно в холодильниках при 7–8 °С до 15 суток. Выход паразита с 1 м2 проростков составляет 50 тыс. мумий.
При необходимости паразита можно хранить в мумиях тли до 2–2,5 месяцев, предварительно введя в диапаузу. Мумии с диапаузирующими личинами афидиуса отличаются более темной окраской, блеском, как бы полированные. Оболочка их очень плотная. Их хранят при 1–2 °С в холодильниках, влажности 60–80 %. Весной из мумий выходят 45–50 % нормальных особей паразита.
Для разведения А. giphuensis зимой и весной используют растения черной редьки, а летом – перца или баклажана. В качестве хозяина используют персиковую тлю. Чистую маточную культуру тли поддерживают отдельно. При налаженном конвейере выход мумий с 1 растения редьки составляет 300–400 особей.
Биологическая эффективность применения афидиуса зависит от защищаемой культуры, температуры воздуха, нормы выпуска. Наиболее высокая она при выпуске на сладком перце и баклажанах (до 90–95 %), меньше – на салате и редисе, цветочных культурах. Выше – при оптимальных температурах (20–26 °С), а при понижении температур зимой, особенно на зеленных культурах – петрушке, сельдерее, укропе, эффективность минимальная.
Рекомендуются профилактические выпуски афидиусов на всех культурах на молодые растения, до обнаружения очагов тлей. Затем еженедельно проводят обследования. При выявлении первых очагов тли выпускают паразита из расчета 1:25. Выпуски повторяют 4-кратно с интервалом в 1 неделю. На зеленных и цветочных культурах (хризантемы, пинии, гвоздики, розы) нормы выпуска в холодные месяцы повышают до 1:5 и 1:10.
11.3. Лизифлебус – эндопаразит тлей
Перспективным паразитическим афидофагом является лизифлебус бобовый (Lysiphlebus fabarum L.) из семейства афидиид (Apidiidae) надсемейства хальцидовых (Chalcidoidea), также широко распространный в природе. Рекомендуется применение паразита на огурце, томатах, картофеле в открытом и закрытом грунте.
В лабораториях паразита разводят на бобовой тле, размноженной на растениях бобов или фасоли. В отдельном боксе выращивается тля. В другом – паразит. Бобовые перед посевом замачивают на сутки и высаживают в кюветы с торфом или другим субстратом. Всходы высотой 1–2 см заселяют тлей по 140 тлей на побег. Через 1–2 дня помещают в бокс с паразитом. Через 5–6 дней появляются мумии тли, а через 9 дней – наступает лет нового поколения лизефлебуса.
С 1 м2 кювет с проростками получают 10–50 тыс. мумий. Для 1 га пленочных теплиц требуется для защиты перца или баклажан всего 1,5 м2 стеллажей для разведения паразита.
Колонизацию лизифлебуса начинают с рассадного отделения теплицы, внося мумии или имаго в соотношении 1:20 с численностью хозяина. В дальнейшем паразит размножается в теплице самостоятельно.
В природе лизифлебус является эндопаразитом 75 видов тлей, т. е. более многояден, чем афидиусы.
Контрольные вопросы и задания:
1. Расскажите о биологических особенностях афидимизы.
2. Опишите технологические операции при разведении афидимизы.
3. На каких видах тли разводят афидимизу?
4. Какова технология применения афидимизы?
5. Расскажите о биологических особенностях афидиуса.
6. Опишите технологию разведения афидиуса.
7. Какова технология разведения и применения лизифлебуса?
Лабораторная работа № 12. Технология разведения и применения хищных клопов макролофуса, периллюса и подизуса
Цель работы: изучить биологию и стадии развития хищных клопов, технологию их разведения и применения, составить блок-схему производства.
Материалы и оборудование: бинокулярные микроскопы, биологические коллекции макролофуса, периллюса и подизуса.