Текст книги "Веленью Божьему, о муза, будь послушна! Книга 1. Вечный двигатель. Космическое миропонимание"
Автор книги: Евгений Кузьменков
Жанр: Классическая проза, Классика
Возрастные ограничения: +16
сообщить о неприемлемом содержимом
Текущая страница: 2 (всего у книги 23 страниц) [доступный отрывок для чтения: 6 страниц]
«Сия же есть жизнь вечная, да знают Тебя, единого истинного Бога и посланного Тобою Иисуса Христа» (Ин. 17:3).
Различают два вида Божественного откровения: естественное и сверхъестественное. Отсюда и два способа богопознания. «Из здешних наземных познаний, – пишет преподобный Феодор Студит, – одно бывает по естеству, а другое – сверх естества…
Знанием естественным называем мы то, которое душа может получить чрез исследование и изыскание, естественными пользуясь способами и силами, о творении и Виновнике творения, – разумеется, – сколько это доступно для связанной с веществом души… А сверхъестественное знание есть то, которое привходит в ум путём, превышающим его естественные способы и силы, или в котором познаваемое сравнительно превышает ум, связанный с плотью, так что такое познание очевидно свойственно уму бестелесному. Бывает же оно от единого Бога, когда найдёт Он ум очищенным от всякого вещественного пристрастия и объятым Божественною любовью»[5]5
Кузьменков Е. В. Горизонты будущего. СПб.: СуперИздательство, 2023. 864 с.
[Закрыть].
Итак, естественным откровением именуется то, которое преподаётся Владыкой и воспринимается человеком естественным образом через исследование мира, хода истории и личного внутреннего опыта.
В отличие от сверхъестественного откровения, преподаваемого через отдельные лица (собрания), но предназначающегося, как правило, многим, естественное откровение является общим достоянием не только потому, что его содержание адресовано всем, но и в связи с тем, что его восприятию причастен каждый живущий. Ведь оно созерцается всюду: «Ибо невидимое Его, вечная сила Его и Божество, от создания мира через рассматривание творений видимы» (Рим. 1:20); «Небеса возвещают правду Его, и все народы видят славу Его» (Пс. 96:6). В связи с этим естественное откровение нередко именуется общим.
Материалисты, прикрываясь маской научности, веруют в собственного, созданного их философским воображением идола – материальную субстанцию. За отсутствием здравой веры эти люди ищут причину бытия мира внутри самого мира, в движущейся и вечно развивающейся материи, отвергая истинное Начало начал. «Материя, – утверждают они, – есть единственный источник и последняя причина всех процессов в природе»[6]6
Воронцов-Вельяминов Б. А. Происхождение небесных тел. Иркутск: Иркутское обл. изд-во, 1946. 39 с.
[Закрыть]. Как результат, они отрицают естественное откровение, объясняя этот феномен самообманом религиозно ангажированных людей, интерпретируя его как субъективную проекцию на мир ложных знаний, предварительно почерпнутых из сакральных источников.
«Разные роды животных произвёл Бог словом Своим для нашей пользы, – учит преподобный Антоний Великий, – одних – для употребления в пищу, других – для служения. А человека создал Бог, чтобы он был зрителем и благодарным истолкователем Его дел. Об этом и надо стараться людям, чтобы иначе не умереть им, не узревши и не уразумевши Бога и дел Его, подобно животным бессловесным»[7]7
Преподобный Антоний Великий. Сост. Смирнова Е.А. М.: Изд-во Сретенского монастыря, 2008. 701 с.
[Закрыть].
Быть внимательными к общему откровению учит нас Книга Иова: «…Спроси у скота, и научит тебя; у птицы небесной, и возвестит тебе; или побеседуй с землёю, и наставит тебя, и скажут тебе рыбы морские. Кто во всём этом не узнает, что рука Господа сотворила сие?» (Иов. 12:7–9).
Центральная идея концепции о естественном откровении выражается в том, что Бог действительно раскрывает Себя в царстве творения, и в этом царстве объективно присутствуют формы, заключающие в себе высшее значение и смысл. Стало быть, мир не мнимо, а реально содержит в себе начертание истин о Боге, доступных для восприятия и деятельного раскрытия. Возможность естественного богопознания связана с тем, что хотя Бог и «обитает в неприступном свете» (1Тим. 6:16), однако по отношению к нам Он не является всецело сокровенным.
Так как в Господе заключена полнота жизнеобразующей любви, то, сотворив и обустроив Вселенную, Он не оставляет её без попечения, никогда не исчезает со сцены истории, непрестанно хранит и направляет наш мир к предначертанным целям. Можно сказать, что мир и существует настолько, насколько причастен к Источнику своего бытия.
Проявляясь в созданиях, Бог обнаруживается двойственным образом: как Творец и как Царь-Вседержитель. Каждое Божье произведение, каждое домостроительное действие – следствие Его предвечного совета, предвечных идей: «Ведомы Богу от вечности все дела Его» (Деян. 15:18). Это значит, что всё сотворённое и существующее отражает сияние Славы Господней, несёт на себе отпечаток Божественной жизни, отблеск Его сил и совершенств.
В глубокой древности для тех, кто через созерцание мира утверждался в мысли о бытии Первообраза и Источника мироздания, естественное откровение становилось ступенью на пути восхождения к Истине. «Богопознание через сущее, – пишет святитель Григорий Палама, – отвечало младенчеству живущих на Земле людей до закона; и Авраам, как сказано, от него получил начало своего богопознания, но потом беседовал с Богом и познавал Его уже иначе… Ради несовершенных в знании людей надлежало, чтобы явная суть мира предшествовала невидимому существу Божию…»[8]8
Кузьменков Е. В. Горизонты будущего. СПб.: СуперИздательство, 2023. 864 с.
[Закрыть]. «В предметах творения, – пишет святитель Григорий Богослов, – Бог показывает Своё величие “подобно тому, как отражение и изображение Солнца в водах показывает Солнце слабым взорам, которые не могут смотреть на него, потому что живость света поражает чувство”»[9]9
Творения: в 2 томах / свт. Григорий Богослов, архиеп. Константинопольский. Т. 1: Слова. М.: Сибирская благозвонница, 2007. 895 с.
[Закрыть].
Стало быть, правильно осуществляемое исследование творений, не ограничивающееся внешне-эмпирической стороной дела, а, глубоко проникающее в их высший смысл и предназначение, способно возвысить человеческий разум до твёрдой убеждённости в бытии «неведомого Бога» (Деян. 17:23), до ряда истинных представлений о мире и его Творце. В частности, это подтверждается всемирной историей, опытом науки, философии и религий.
О существовании вечного двигателя по отношению к материи учил ещё Аристотель: «…Ясно, – говорил он, – что, во всяком случае, есть некоторое начало и что причины вещей не бесконечны – ни в прямом последовательном ряду, ни по виду… Если нет ничего первого, то вообще нет никакой причины»[10]10
Аристотель. Метафизика. Перевод Кубицкого А. М.: АСТ, 2019. 448 с.
[Закрыть].
Любая существующая в мире вещь, любое явление, утверждали последователи этой идеи, имеет непосредственную причину, которая, в свою очередь, является следствием иной причины, произведшей её, а та – своей. Мысленно отсчитывая назад и скользя от одной условной причины к другой, нельзя остановиться ни на одной из них как на достаточной причине для бытия всех вещей. Вместе с тем ясно, что простирать этот ряд в бесконечность бессмысленно.
Гораздо уместнее заключить о существовании Бога, Который, будучи основанием всех условных, конечных причин, Сам не имеет перед Собой превосходящей причины, то есть не обусловлен никем и ничем; самобытного, неограниченного, вечного и неподвижного. По логике, Бог, или Первопричина, давшая начало бытию мира, не могла заключаться внутри этого мира, до того не существовавшего. В дальнейшем озвученный довод, скорректированный и доведённый теологами до надлежащего оформления, получил наименование космологического доказательства бытия Бога.
Глава 2
Чудеса веры
Всё в этой жизни зависит от силы нашей веры. Мы все хотим и ждём чудес, а их нет как нет. Почему? Может быть, потому, что где-то в глубине души мы считаем свои мечтания несбыточными? Не верим, что сбудутся? Нам не хватает веры. Может, в этом дело? Над Генрихом Шлиманом смеялся весь учёный мир: невежда, дилетант, авантюрист, – а он продолжал раскопки. Десятки лет он зарабатывал деньги, чтобы осуществить задуманное в детстве. И чудо произошло: Генрих Шлиман раскопал-таки Трою – город, который все считали вымыслом, красивым мифом. Почему так случается – кто-то добивается успеха в безнадёжном на первый взгляд деле, а другие, у которых есть все шансы, чтобы сделать даже больше, не добиваются ничего? У Шлимана не было ни малейших оснований, чтобы вкладывать весь свой капитал в археологическую экспедицию. Но было страстное желание, постоянная мысль о задуманном. Что такое вера? Активная сила. Это «убеждённость, глубокая уверенность», – говорит толковый словарь С. Ожегова.
Но если вдуматься, это ровным счётом ничего не объясняет. Учёные говорят о вере несколько иначе – как о некоем внутреннем состоянии, о психологической установке. Всё элементарно – мол, это результат какого-то внушения извне или самовнушения. Но никто из них не объяснил, что же это такое – внушение, почему оно обладает такой колоссальной силой и, наконец, каков его механизм? Есть, однако, учёные, которые пришли к выводу, что все наши эмоции, чувства и мысли вполне материальны, что это некие тонкие энергии. Выдвигается ещё более крамольная гипотеза: вера, которая относится к сфере сознания, – это тоже какая-то пока неведомая нам энергия. «Вера же есть осуществление ожидаемого и уверенность в невидимом… Верою познаем, что веки (мироздания. – Прим. авт.) устроены словом Божиим, так что из невидимого произошло видимое» (Евр. 11:1, 3).
Очевидно, что вера занимает в нашей жизни гораздо большее место, чем нам кажется. В отличие от знания, которое характеризуется формулой «это есть», вера присутствует везде, где мы употребляем или подразумеваем «так должно быть», «вполне вероятно», «скорее всего». Мы верим все без исключения. Даже те, кто думает, что не верит, на самом деле верит – в противоположное. Кто не верит в Бога – верит в то, что Его нет. Кто не верит в успех, тот верит в поражение. Вера всегда выступает и как некая активная сила Духа Божьего. «Положительная» вера – вера в возможность, реальность, осуществимость чего-либо – побуждает нас к действию. И, напротив, дьявольская, «отрицательная» вера становится силой тормозящей, сковывающей, парализующей.
Мысль – страшная сила. Мы привыкли к тому, что вера лежит в основании религии. Но фактически на ней держатся и философия, и искусство, и наука. Без веры в свой талант художник не создаст произведения. «Без веры, что природа подчинена законам, не может быть никакой науки», – утверждал Норберт Винер[11]11
Норберт Винер. Кибернетика и общество (сборник). Пер. с англ. Желнинова В. М.: АСТ. 2019. 288 с.
[Закрыть]. Энергия веры пронизывает всю нашу жизнь. Но что она из себя представляет? Можно предположить, что энергия веры – куда более тонкая, а значит, и более проникающая, чем энергия мыслей и эмоций.
По своей природе она нейтральна, то есть не несёт какойлибо информации. Тем не менее информация на неё может быть наложена, записана. И тогда объединённая с ней – модулированная мыслью – энергия веры проникает в самые укромные уголки физического мира и приносит туда чью-то идею, которая начинает действовать, вызывая удивительные последствия. Исследования последних лет привели к неожиданному выводу: мысль человека способна программировать траектории элементарных частиц, изменять химический состав веществ, вызывать реакции у растений, внушать нужное поведение животным[12]12
Ратников Б. К., Рогозин Г. Г., Фонарев Д. Н. За гранью познанного. Антология. М.: Академия Управления. 2010. 246 с.
[Закрыть].
Но человек может воздействовать таким же образом и на собственный организм. Своей мыслью, сопряжённой с глубокой верой, он в состоянии повлиять на функционирование своих органов и клеток. Вот откуда чудесные исцеления верующих и оптимистов. Иногда, кроме веры, для излечения или успеха нет ни малейших оснований, а результаты в то же время налицо. Работала вера.
Спасение тысяч людей происходило благодаря вере в Божественную силу, в чудесные источники, во врача, в святые мощи или силу молитвы. И это не было иллюзией, самообманом или сознательным самовнушением. Они на самом деле получили помощь. Так благодаря вере возникает шанс реализоваться даже у самых, казалось бы, безнадёжных предприятий. Так чудесным образом начинают исполняться наши сильные желания и мечты, исчезают, казалось бы, неизлечимые заболевания. Порой человек и не подозревает, что, обращаясь за помощью к намоленной иконе или святому целителю, он благодаря своей вере подключается к Духу Божьему, с Которым они связаны. Эти мощные религиозные святыни способны не только концентрировать колоссальную силу Божественной энергии, но и передавать её страждущим людям, исцелять, помогать, спасать. Главное, чтобы у человека была вера, то есть настрой на эту помощь. Скорее всего, святые мощи или чудотворная икона способны своими излучениями и сами воздействовать на человека, который приблизился к ним. Чрезвычайно важно, чтобы человек не только находился рядом, но и был настроен на взаимодействие с ними.
Вера способна привести человеческое сообщество в Царство Божие ещё на земле.
Иисус пояснял: «Истинно, истинно говорю, если кто не родится от воды и Духа, не может войти в Царствие Божие… Никто не восходил на небо, как только сшедший с небес Сын Человеческий, сущий на небесах» (Ин 3:5, 13). «Рождённое от плоти есть плоть, а рождённое от Духа есть дух» (Ин. 3:6). «Не удивляйся тому, что Я сказал тебе: должно вам родиться свыше. Дух дышит, где хочет, и голос его слышишь, а не знаешь, откуда приходит и куда уходит: так бывает со всяким, рождённым от Духа» (Ин. 3:7–8).
Быть с Богом – это общение с Ним с помощью молитвы при очищении бренного тела постом и воздержанием, в которых мы получаем благодать Божию, Божественную энергию. Люди должны быть готовы духовно, как Иисус сказал: «Я и Отец – одно» (Ин. 10:30).
Далее Иисус поясняет: «Видевший Меня видел Отца… Слова, которые говорю Я вам, говорю не от Себя; Отец, пребывающий во Мне, Он творит дела. Верьте Мне, что Я в Отце и Отец во Мне; а если не так, то верьте Мне по самым делам. Истинно, истинно говорю вам: верующий в Меня, дела, которые творю Я, и он сотворит, и больше сотворит, потому что Я к Отцу Моему иду. И если чего попросите у Отца во имя Моё, то сделаю, да прославится Отец в Сыне. Если чего попросите во имя Моё, Я то сделаю. Если любите Меня, соблюдите Мои заповеди» (Ин. 14:9–15).
Иисус сказал: «Кто любит Меня, тот соблюдёт слово Моё; и Отец Мой возлюбит его, и Мы придём к нему и обитель у него сотворим. Нелюбящий Меня не соблюдает слов Моих; слово же, которое вы слышите, не есть Моё, но пославшего Меня Отца» (Ин. 14:23–24). Один Господь, одна вера, одно крещение, «один Бог и Отец всех, Который над всеми, и через всех, и во всех нас» (Еф. 4:6). В то же время из утверждений Иисуса следует: «Отец Мой более Меня» (Ин. 14:28).
Глава 3
Теория Большого взрыва
Как и любая научная теория, теория Большого взрыва и последующей эволюции Вселенной является своеобразной верой. Она имеет и своих многочисленных критиков. Наибольшее количество критических замечаний вызывает, конечно, исходное событие всей теории Вселенной. Многих учёных не устраивает умолчание о том, что же существовало до Большого взрыва и какие силы послужили причиной столь грандиозного перехода от пассивности, небытия к активности и началу существования Вселенной. Является Большой взрыв научным обозначением акта сотворения мира Богом или нет? Несомненно, Большой взрыв положил начало существованию нашей Вселенной. Он экспериментально объясняет оба наиболее значительных факта космологии: расширяющуюся Вселенную и существование космического фонового излучения. Однако теория ошибочно утверждает, что вся существовавшая и существующая сейчас во Вселенной материя появилась в одно и то же время – около 13,8 миллиарда лет назад. Она возникла из объёма меньшего, чем точка.
Тщательное изучение материи показывает её аномальность. Например, под микроскопом горная порода выглядит мозаикой из кристаллов. А электронный микроскоп позволяет увидеть в них отдельные атомы, образующие правильную решётку и разделённые большими промежутками пустого пространства. В свою очередь, атомы включают в себя ещё больше пустоты. Крохотное ядро занимает всего лишь 10−15часть объёма атома. Остальное пространство заполняет облако эфемерных электронов – ничтожно малых островков твёрдого вещества в океанах пустоты. Аналогичная картина представляется также на звёздном небе галактик и в целом во Вселенной.
Возможность превращения энергии в вещество показывает, что во Вселенной первоначально вещества вовсе не было. Была абсолютная пустота. И вот стало рождаться вещество из сгустка колоссальной Божественной энергии, сконцентрированной в точечном пространстве. Это, по нашему мнению, было началом Большого вселенского взрыва. Сама Вселенная образовалась, когда температура и давление начальной плазмы достигли экстремальных значений.
Так, по слову Бога, из пустоты началась всеобъемлющая эволюция мироздания – Вселенной. Это весь существующий материальный мир, безграничный во времени и пространстве и бесконечно разнообразный по формам, которые принимает материя в процессе своего развития.
Теории о возникновении Вселенной можно разделить на две группы: религиозные, в которых в качестве созидающего фактора выступает Творец (иными словами, Вселенная представляет собой одухотворённое и осознанное творение, появившееся в результате воли Высшего разума); и научные, которые основываются на научных фактах и безосновательно отвергают как понятие Творца, так и Его участие в создании мира. Они часто основываются на принципе заурядности, который рассматривает возможность существования жизни не только на нашей, но и на других планетах, находящихся в других солнечных системах или даже галактиках.
Из чего состоит Вселенная? Водород – самый распространённый элемент во Вселенной (75 %), на втором месте находится гелий (23 %), на остальные элементы приходятся ничтожные 2 % от общего количества вещества. Средняя плотность – 10−29г/см3. Космос – это не просто огромная пустота, в которой равномерно рассеяны звёзды, планеты и галактики. Структура Вселенной довольно сложна и имеет несколько уровней организации, которые мы можем классифицировать в соответствии с масштабом объектов:
1. Астрономические тела во Вселенной обычно группируются в системы. Звёзды нередко образуют пары или входят в состав скоплений, которые содержат десятки, а то и сотни светил. В этом отношении наше Солнце довольно нетипично, так как оно не имеет «двойника».
2. Следующей ступенью организации являются галактики. Они могут быть спиральными, эллиптическими, линзовидными, неправильными. Учёные пока не до конца понимают, почему галактики имеют разную форму. На этом уровне мы обнаруживаем чёрные дыры, межзвёздный газ, двойные звёзды. Кроме звёзд в их состав входит пыль, газ, электромагнитное излучение. Во Вселенной обнаружено несколько сотен миллиардов галактик.
3. Несколько галактик образуют местную группу. В нашу кроме Млечного Пути входит Туманность Треугольника, Туманность Андромеды и ещё 31 система. Скопления галактик – самые крупные из известных устойчивых структур Вселенной, их удерживает вместе гравитационная сила. Учёные подсчитали, что одного лишь притяжения явно недостаточно для поддержания стабильности этих объектов[13]13
Сурдин В. Г. Галактики. Изд. 2-е, исправленное и дополненное. М.: Физматлит, 2017. 432 с.
[Закрыть]. Научного обоснования данного феномена пока не существует.
4. Следующим уровнем структуры Вселенной являются сверхскопления галактик, каждая из которых содержит десятки, а то и сотни галактик и скоплений. Однако тяготение их уже не удерживает, поэтому они следуют за расширяющейся Вселенной.
5. Последним уровнем организации мироздания являются ячейки, или пузыри, стенки которых формируют сверхскопления галактик. Между ними находятся пустотные области, именуемые войдами. Эти структуры Вселенной имеют масштабы около 100 мегапарсеков. На этом ярусе наиболее заметны процессы расширения Вселенной, также с ним связано реликтовое излучение – отголосок Большого взрыва.
Реликтовое излучение – это космическое сверхвысокочастотное фоновое излучение, творящее историю Вселенной. Оно равномерно заполняет Вселенную в виде теплового излучения. Обладает высокой степенью изотропности и спектром, свойственным для абсолютно чёрного тела с температурой 2,72548 ± 0,00057 градуса по Кельвину. Существование реликтового излучения было предсказано теоретически Георгием Гамовым в рамках теории Большого взрыва.
Экспериментально его существование было подтверждено в 1965 году. В 1983 году был проведён первый эксперимент (Реликт-1) по измерению реликтового излучения с борта космического аппарата. В январе 1992 года российские учёные объявили об открытии анизотропии (анизотропия – различие свойств среды в различных направлениях внутри этой среды. – Прим. авт.) реликтового излучения. Взгляните, как творилась Вселенная!

Рис. 1. Панорама Большого взрыва и его анизотропии реликтового излучения
Красный цвет означает более горячие области, а синий – более холодные, по данным спутника WMAP (рис. 1). Его максимум приходится на частоту 160,4 ГГц (микроволновое излучение), что соответствует длине волны 1,9 мм. Оно изотропно с точностью до 0,01 % – среднеквадратичное отклонение температуры составляет приблизительно 18 мкК. Плотность энергии реликтового излучения составляет 0,25 эВ/см3 (4 ∙ 10−14Дж/м3) или 400–500 фотонов/см3.
Ещё в 1969 году было обнаружено, что в реликтовом излучении заметно выделена дипольная составляющая: в направлении созвездия Льва температура этого излучения на 0,1 % выше, чем в среднем, а в противоположном направлении – настолько же ниже[14]14
Смут Дж. Ф. Анизотропия реликтового излучения: открытие и научное значение // Успехи физических наук. Российская академия наук, 2007. Т. 177, № 12. 1294 с.
[Закрыть]. За счёт расширения Вселенной длина волны реликтового излучения сегодня находится в миллиметровом диапазоне, но в момент, когда оно было испущено, она была примерно в 1100 раз меньше. Реликтовое излучение доминирует в современной Вселенной, то есть старых фотонов даже сейчас во много раз больше, чем фотонов от всех звёзд.
Ныне существующая гипотеза Большого взрыва не даёт удовлетворительного объяснения происхождения галактик. Стивен Вайнберг в своей книге «Первые три минуты» пишет: «Теория возникновения галактик представляет собой одну из самых трудных проблем астрофизики, проблем, ещё очень далёких от разрешения»[15]15
Стивен Вайнберг. Первые три минуты. Регулярная и хаотическая динамика, 2000. 272 с.
[Закрыть]. Во-первых, она не даёт ответов на следующие вопросы: «Что заставило вещество Вселенной расширяться?», «Что происходило до начала расширения, до момента сингулярности?», «Конечны ли пространство и масса?», «Откуда они берутся?». Во-вторых, выдвигается гипотеза о первоначальной сингулярной точке Вселенной с бесконечно большой плотностью вещества.
Согласно теории Большого взрыва, всё вещество в Космосе в какой-то начальный момент было сдавлено буквально в ничто – спрессовано в одну-единственную точку. Астрономы назвали такое состояние сингулярностью. Предполагается, что в этой точке изначально была сосредоточена вся масса современной Вселенной (по расчётам учёных, масса только наблюдаемой части Вселенной более 1051 кг), тогда как реально самая большая плотность материи может быть только у электрона и протона (1017 кг/м3). Следовательно, сингулярность невещественна, а наполнена всеобъемлющей Божественной энергией.
Почему и как это произошло – совершенно не обосновано. Учёным приходится выносить за скобки множество вопросов, связанных с природой сингулярности и её происхождением:
законченной физической теории этого этапа истории Вселенной не существует. Однако эта гипотеза позволила определить точный возраст Вселенной.
Есть в гипотезе Большого взрыва многие слабые места. Если бы мироздание образовалось мгновенно из одной небольшой точки, то должно было бы существовать неоднородное распределение вещества, чего мы не наблюдаем. Также данная модель не может объяснить, куда подевалась антиматерия, количество которой в момент творения не должно было уступать обычной барионной материи. Но самый весомый недостаток данной теории – её неспособность объяснить феномен Большого взрыва: он просто воспринимается как свершившийся факт.
Сторонники гипотезы Большого взрыва в замешательстве после того, как выяснилось, что в настоящее время Вселенная расширяется с ускорением. По этой причине современная наука, к сожалению, в значительной степени утратила острое зрение – видит всего лишь 4 % Вселенной. Остальную часть, как она считает, составляют невидимая тёмная материя и тёмная энергия. Таким образом, небо почти полностью для нас оказалось закрытым, а научные основы мироздания, прежде казавшиеся незыблемыми, были оспорены буквально со всех сторон. Твёрдое вещество не составляет больше важнейшую природную субстанцию.
Трёхмерное пространство и одномерное время превратились в относительные проявления четырёхмерного пространственно-временного континуума. Время течёт по-разному для тех, кто движется с разной скоростью. Вблизи тяжёлых предметов время замедляется, а при определённых обстоятельствах оно может и совсем останавливаться. Законы Евклидовой геометрии более не являются обязательными в масштабах Вселенной. Планеты движутся по своим орбитам не потому, что их притягивает к Солнцу сила тяготения, действующая на расстоянии, но потому, что само пространство, в котором они движутся, искривлено.
Принцип неопределённости в корне подрывал и вытеснял собой детерминизм. Физический мир, увиденный глазами современной физики, по словам сэра Джеймса Джинса, напоминал не столько огромную машину, сколько благие намерения, ведущие в ад, необъятную произвольную мысль, иллюзию.
«Трудно найти чёрную кошку (тёмную материю и тёмную энергию. – Прим. авт.) в тёмной комнате, особенно если её там нет», – так сказал китайский философ Кун Фу-цзы. Афоризм Конфуция звучит так: «Не делай ничего дурного даже в темноте» – и обычно трактуется как требование устранять дурные мысли прежде, чем они проявятся в уме. Высказывание Конфуция надо понимать в переносном смысле, так как это метафора. Так он говорил об учёных своего времени, которые искали не зная что и не зная где.
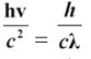
Сторонники Большого взрыва не обратили внимания на космические реликтовые и другие электромагнитные излучения, которые обладают огромной энергией. Взглянем на ту работу, которая совершается этими излучениями. Как известно, гравитационно-связанные звёзды уравновешиваются центробежными силами при их относительном вращении около общего центра тяжести. Кроме того, все горячие космические тела истекают плазмой, тем самым создают всесторонний космический ветер, от которого возникают реактивные силы отталкивания звёзд друг от друга, как бы далеко они ни находились (рис. 2).

Рис. 2. Схема расширения Вселенной. Взаимное удаление гравитационно-связанных звёзд под воздействием Духа Божьего (космического ветра)
Таким образом, все звёзды, в том числе и наше Солнце, имеют собственные реактивные двигатели. Вот в этом и заключается механизм ускоренного расширения Вселенной. Звёзды отталкиваются от соседних космических тел, образуя тем самым в космическом пространстве связанную среду. Так происходит ускоренное расширение Вселенной из-за преобладающего ослабления сил гравитации при удалении звёзд друг от друга. В космических масштабах всё увеличивается давление электромагнитных излучений, которое было открыто на примере солнечного излучения ещё на пороге двадцатого века. Оказалось, давление могут создавать не только твёрдые тела, жидкости и газы.
Падая на поверхность тела, электромагнитное излучение также оказывает на него давление. Рассмотрим некоторые моменты теории светового давления. Впервые предположение о том, что давление света существует, было сделано немецким учёным Иоганном Кеплером в XVII веке. Изучая поведение комет, пролетающих вблизи Солнца, он обратил внимание, что хвост кометы всегда отклоняется в сторону, противоположную Солнцу. Кеплер предположил, что каким-то образом это отклонение вызывается воздействием солнечных лучей.
Теоретически существование светового давления было предсказано в XIX веке британским физиком Джеймсом Клерком Максвеллом, создавшим электромагнитную теорию и утверждавшим, что свет – это также электромагнитные колебания и он должен оказывать давление на препятствия.
Свет – это электромагнитная волна. Она создаёт электрическое поле, под действием которого электроны в теле, встречающемся на её пути, совершают колебания. В теле возникает электрический ток, направленный вдоль напряжённости электрического поля. Со стороны магнитного поля на электроны действует сила Лоренца. Её направление совпадает с направлением распространения световой волны.
Это и есть сила светового давления. По расчётам Максвелла, солнечный свет производит на чёрную пластину, расположенную на Земле, давление определённой силы (р = 4 ∙ 10−6Н/м2). Но это было всего лишь теоретическое предположение. Чтобы доказать его, нужно было подтвердить теорию практическим экспериментом, то есть измерить величину светового давления. На практике это осуществил русский физик-экспериментатор Пётр Николаевич Лебедев. Опыт, проведённый им в 1899 году, подтвердил предположение Максвелла о том, что световое давление на твёрдые тела существует.
Для проведения своего опыта Лебедев создал специальный прибор, который представлял собой стеклянный сосуд. Внутрь сосуда помещался лёгкий стерженёк на тонкой стеклянной нити. По краям этого стерженька были прикреплены тонкие лёгкие крылышки из различных металлов и слюды. Из сосуда выкачивался воздух. С помощью специальных оптических систем, состоящих из источника света и зеркал, пучок света направлялся на крылышки, расположенные с одной стороны стерженька. Под воздействием светового давления стерженёк поворачивался, и нить закручивалась под каким-то углом.
По величине этого угла и определяли величину светового давления. Чтобы сделать эксперимент более точным, Лебедев взял сосуд большого объёма. Крылышко он изготовил из двух пар очень тонких кружочков из платины.
По одну сторону стерженька кружочки были блестящими с обеих сторон, по другую – одну из сторон покрыли платиновой чернью. Пучки света направлялись на них то с одной, то с другой стороны, чтобы уравновесить силы, действующие на крылышки. В результате давление света на крылышки было измерено. Результаты опыта подтвердили теоретические предположения Максвелла о существовании светового давления. А его величина была почти такой же, как и предсказал Максвелл.
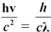
В 1907–1910 годах с помощью более точных экспериментов Лебедев измерил давление света на газы. Свет, как любое электромагнитное излучение, обладает энергией Е. Его импульс р = Ev/c2, где v – скорость электромагнитного излучения, c – скорость света. Так как v = с, то р = E/с.
Энергия фотона εф = hv = hc/λ (1) лежит в широком диапазоне от нескольких электрон-вольт для видимого света (λ ≈ 500 нм) до миллионов электрон-вольт для жёсткого гамма-излучения (λ ≈ 10−3нм).
Как и любая материальная частица, фотон имеет массу mф, которая связана с его энергией релятивистской формулой:
mфc2 = εф. С учётом (1) находим mф =
(2).
Движущийся со скоростью c фотон обладает импульсом, величина которого связана с его энергией релятивистским соотношением pфc = εф, учитывающим, что масса покоя фотона равна нулю. Отсюда, с учётом (2), следует, что pф =
(3).
Для излучения фотона, направление распространения которого задаётся волновым вектором, модуль которого k =, формулу (3) можно записать в векторном виде: