Читать книгу "Эволюционная и институциональная экономика. Вопросы теории и практики. Материалы Всероссийской конференции молодых исследователей"
Автор книги: Коллектив Авторов
Жанр: Экономика, Бизнес-Книги
Возрастные ограничения: 12+
сообщить о неприемлемом содержимом
1. Ускова, Т. В. Проблемы повышения комфортности проживания населения города [Текст] / Т. В. Ускова, С. А. Кожевников // Вопросы территориального развития. – 2013. – № 9. – С. 1–11.
2. Мониторинг условий проживания населения областного центра [Текст] / Т. В. Ускова, С. А. Кожевников // Проблемы развития территории. – 2012. – № 6. – C. 31–44.
3. Ускова, Т. В. Мониторинг развития муниципальных образований [Текст] / Т. В. Ускова, А. Н. Зуев, А. А. Смирнов. – Вологда: ВНКЦ ЦЭМИ РАН, 2002. – 126 с.
4. Ускова, Т. В. Условия проживания в г. Вологде (по данным опроса общественного мнения 2006 г.) [Текст] / Т. В. Ускова, М. Н. Рогозина // Экономические и социальные перемены в регионе: факты, тенденции, прогноз. – 2006. – Вып. 35. – С. 39–44.
5. Условия проживания населения: оценка и проблемы управления [Текст] / В. А. Ильин, Е. М. Жирнов, А. С. Якуничев. – Вологда: ВНКЦ ЦЭМИ РАН, 1997. – 75 c.
6. Шулепов, Е. Б. Социальный корпоратизм: теоретические основы и опыт реализации [Текст] / Е. Б. Шулепов. – Вологда, 2014. – 154 с.
Организационно-экономический механизм государственно-частного партнерства в жилищно-коммунальном хозяйстве региона
С. А. КожевниковИнститут социально-экономического развития территорий РАН, г. Вологда
Жилищно-коммунальное хозяйство (ЖКХ) является одной из ключевых отраслей российской экономики, обеспечивающих население жизненно важными услугами, а промышленность, сельское хозяйство, торговлю и другие отрасли – необходимыми ресурсами для производственной и коммерческой деятельности (электроэнергией, газом, теплом, водой и др.). Оборот жилищно-коммунального хозяйства составляет 4,2 трлн. руб. (7 % ВВП России), на данную отрасль приходится более ¼ основных фондов страны, объем платежей за оказанные услуги превышает 1,3 трлн. рублей[8]8
О мерах по повышению качества предоставления жилищно-коммунальных услуг [Текст]: доклад / Государственный совет Российской Федерации. – СПб., 2013. – С. 3.
[Закрыть].
Вместе с тем в настоящее время ЖКХ России находится в кризисном состоянии и является одним из главных источников социальной напряжённости в обществе. Так, в 2013 году 60 % населения признали ситуацию, сложившуюся в данной сфере, одной из важнейших проблем в стране (в 2010 году такого мнения придерживались только 40 % россиян)[9]9
Официальный сайт Всероссийского центра изучения общественного мнения (ВЦИОМ). – Режим доступа: http://wciom.ru.
[Закрыть]. Высокий уровень износа основных фондов, аварийности, ежегодный рост тарифов без существенного повышения качества предоставляемых услуг, значительные непроизводительные потери коммунальных ресурсов – это далеко не полный перечень проблем российского ЖКХ.
Вышеперечисленные проблемы характерны для большинства регионов страны, в том числе и для Вологодской области. При этом причины кризисного состояния ЖКХ кроются как в неэффективной системе управления, так и в его хроническом недофинансировании на протяжении последних десятилетий. Внедрение рыночных механизмов хозяйствования и сокращение при этом объемов государственной поддержки отрасли на фоне низкой платежеспособности конечного потребителя услуг (прежде всего населения) привело к ухудшению финансового состояния большинства организаций, снижению инвестиционной активности в ЖКХ. В связи с этим в течение последних лет темпы обновления основных фондов в отрасли остаются весьма низкими: ежегодно заменяется лишь 1–2 % от общей протяженности коммунальных сетей (при потребности для полноценной их модернизации – 10–12 %); в 2–3 % площади жилищного фонда страны проводится капитальный ремонт, тогда как для прекращения дальнейшего нарастания уровня его износа необходимо ежегодно ремонтировать как минимум в 2 раза больше. При этом для полноценной модернизации отрасли необходимо осуществление в ближайшее время огромных инвестиционных вложений, оцениваемых на сумму в 58 млрд. руб.
В связи с этим является очевидным, что без консолидации усилий власти и бизнеса решение накопившихся в отрасли проблем является невозможным. Как свидетельствует мировой опыт, эффективное взаимодействие органов власти и частного сектора в ЖКХ возможно на основе государственно-частного партнерства (ГЧП). Успешная мировая практика свидетельствует, что ГЧП позволяет привлекать внебюджетные ресурсы, инновационные технологии и частный управленческий опыт в данную сферу экономики. В связи с этим российские органы власти рассматривают партнерство как эффективный инструмент управления развитием ЖКХ. Вместе с тем имеющийся потенциал и эффект синергии от сотрудничества публичного и частного секторов в ЖКХ используется в настоящее время не в полной мере. Одной из главных причин этого является отсутствие единого понимания природы и сущности государственно-частного партнерства (табл. 1).
Таблица 1. Подходы к определению государственно-частного партнерства

В нашей работе будем придерживаться проектного подхода, при котором под государственно-частным партнерством в ЖКХ будем понимать договорные формы средне– и долгосрочного сотрудничества государственного и частного секторов, связанные с реализацией общественно значимых инвестиционных проектов на принципах перекрестного разделения рисков, полномочий и компетенции участников (рис. 1).

Рисунок 1. Принципиальная схема государственно-частного партнерства в ЖКХ
Вместе с тем в настоящее время имеющийся потенциал государственно-частного партнерства в отрасли используется не в полной мере. Большинство предприятий владеют объектами инфраструктуры на основе договора аренды. Однако данные соглашения являются краткосрочными и не обязывают предприятия к осуществлению капиталовложений в обновление инженерной инфраструктуры. Иными словами, в настоящее время бизнес привлекается преимущественно к управлению объектами ЖКХ и не несет какой-либо ответственности за их модернизацию. В связи с высоким уровнем рисков для частного сектора концессионные соглашения и другие формы государственно-частного характера не получили распространения.
Это подтверждают и результаты ежегодных опросов глав муниципальных образований Вологодской области, проводимых ИСЭРТ РАН с 2007 года. Согласно полученным результатам в настоящее время к развитию ЖКХ бизнес привлекается в традиционных формах сотрудничества органов власти и бизнеса, а именно поставки товаров и услуг для муниципальных нужд (в соответствии с ФЗ-45), совместные предприятия, краткосрочные договора аренды. На это указали 58 % глав городских и 57 % сельских поселений региона. Имеет место также социальная ответственность бизнеса, когда регулярно и на безвозмездной основе предприятия вкладывают средства в поддержку коммунальной инфраструктуры муниципального образования – соответственно 16 и 17 % опрошенных (рис. 2).

Рисунок 2. Формы участия бизнеса в развитии жилищно-коммунального хозяйства территории (в % от числа ответивших глав муниципальных образований региона)
Примечание: респондент мог выбрать несколько вариантов ответа.
В свою очередь, использование государственно– муниципально-частного партнерства власти и бизнеса в ЖКХ (концессия, аренда с инвестиционными обязательствами) крайне ограниченно. На использование данных механизмов партнерства власти и бизнеса в своем муниципальном образовании указали только 8 % глав городских поселений и 4 % руководителей сельских поселений области. При этом порядка 17 % глав отметили, что бизнес вовсе не привлекается к развитию сферы ЖКХ территории.
При этом основными факторами, сдерживающими развитие государственно-частного партнерства в ЖКХ, с точки зрения органов местного самоуправления, являются следующие (табл. 2).
Таблица 2. Факторы, сдерживающие развитие механизмов государственно-частного партнерства (в % от числа ответивших)

В связи с этим крайне актуальным является создание организационных условий и формирование финансового механизма, позволяющих эффективно управлять ГЧП-проектами на всех стадиях их жизненного цикла. Кроме того, в связи с острой социальной направленностью ЖКХ, огромным масштабом накопившихся проблем, а также недостатком бюджетных средств и собственных ресурсов хозяйствующих субъектов для их решения, возникает необходимость активной государственной поддержки партнерских отношений власти и бизнеса в отрасли.
Нами предлагается создание на уровне региона в форме некоммерческой организации Фонда модернизации ЖКХ, к основным функциям которого относится организационное сопровождение (информационное, консалтинговое, правовое, девелопмент и т. п.) и финансовое участие в проектах государственно-частного партнерства. Данный институт развития создается по инициативе органа государственной власти региона, ответственного за реализацию политики по развитию жилищно-коммунального хозяйства, и ему подотчетен. Имущество Фонда образуется за счет первоначального имущественного взноса его учредителя (средств регионального бюджета), кредитных ресурсов, иных доходов.
Штат Фонда должен состоять из профессионалов-практиков, имеющих опыт реализации ГЧП-проектов в жилищно-коммунальном хозяйстве. На наш взгляд, создание данной структуры должно происходить одновременно с оптимизацией численности персонала в органах исполнительной государственной власти региона (подразделений, ответственных за решение проблем инвестиционного развития и модернизации ЖКХ) и прочих институтов развития.
Ввиду того что в настоящее время всей на территории страны формируется новая система капитального ремонта многоквартирных домов, а поддержка остальных подотраслей ЖКХ носит весьма ограниченный характер, основной задачей деятельности Фонда является консолидация и эффективное использование ограниченных бюджетных ресурсов и создание условий для привлечения частных инвестиций преимущественно в модернизацию коммунальной сферы региона.
При этом финансирование совместных проектов возможно двумя основными способами. Во-первых, Фонд может выступать в качестве «канала» привлечения бюджетных средств с федерального и регионального уровня путем подготовки заявок и участия потенциальных получателей в государственных программах поддержки жилищно-коммунального хозяйства (например, в мероприятиях региональной программы энергосбережения и повышения энергетической эффективности, ФЦП «Устойчивое развитие сельских территорий на 2014–2017 годы и на период до 2020 года», Федеральной адресной инвестиционной программы (ФАИП) и т. п.), программах Фонда содействия реформированию ЖКХ и т. п.
Во-вторых, эффективным инструментом поддержки инвестиционных проектов в ЖКХ, реализуемых с привлечением внебюджетных ресурсов, является прямое государственное финансовое участие в ГЧП-проектах. Бюджетные средства должны использоваться исключительно в качестве «катализатора», способствующего привлечению частных инвестиций в отрасль, либо как инструмент, обеспечивающий окупаемость проектов для бизнес-структур, в следующих направлениях:
♦ для обеспечения организациям сферы ЖКХ доступа к длинным и дешевым кредитным ресурсам государственных институтов развития, финансовых структур;
♦ для поддержки социально и экологически значимых, но не окупаемых в приемлемые сроки инвестиционных проектов в малых и средних муниципальных образованиях (перекладка сетей, строительство очистных сооружений, полигонов твердых бытовых отходов и т. п.);
♦ для разработки типовых технологических и технических решений, проектов модернизации и строительства объектов коммунальной инфраструктуры, типовой банковской и типовой конкурсной документации для организации конкурсов на привлечение частных инвесторов.
К дополнительным функциям Фонда можно отнести:
а) компенсацию части процентной ставки по привлеченным кредитам или предоставление гарантий по таким займам (прежде всего для хозяйствующих субъектов, действующих на территории крупных муниципальных образований (города с численностью населения 200–300 тыс. чел.) и обладающих достаточно высокой инвестиционной привлекательностью);
б) краткосрочное кредитование предприятий (на срок до 1 года); финансовые средства могут выделяться на проведение подготовки к отопительному сезону, устранение аварийных ситуаций, проведение планово-предупредительного ремонта под меньший процент, чем в настоящее время кредитуют коммерческие банки.
В целях недопущения «распыления» ограниченных финансовых ресурсов и их эффективного использования для потенциальных получателей устанавливаются минимальные требования к размерам зоны обслуживания, объемам ежегодной выручки организации и т. п. (например, количество потребителей услуг должно быть не менее 500 единиц). Соблюдение данных критериев является минимальным условием, обеспечивающим финансовую устойчивость и долгосрочную платежеспособность предприятия в ходе реализации инвестиционного проекта и позволяющим включить его в дальнейший процесс отбора в адресную инвестиционную программу.
Для исключения субъективизма при отборе для каждого субъекта, претендующего на получение финансовой поддержки за счет средств Фонда, рассчитывается интегральный показатель, характеризующий приоритетность его включения в адресную программу.
Данный показатель состоит из следующих компонентов:
1) Износ основных фондов:
(1.1)
где: IИi – индекс износа основных фондов i-го субъекта;
КИi – коэффициент износа основных фондов i-го субъекта, %;
КИmax – максимальный коэффициент износа основных фондов среди всех субъектов, участвующих в отборе, %.
КИmin – минимальный коэффициент износа основных фондов среди всех субъектов, участвующих в отборе, %.
2) Зона обслуживания предприятия (количество абонентов (физических и юридических лиц), находящихся на обслуживании у компании):
(1.2)
где: IОi – индекс зоны обслуживания i-го субъекта;
Зi – зона обслуживания i-го субъекта, ед.;
Зmax – минимальное значение зоны обслуживания среди всех субъектов, участвующих в отборе, ед.
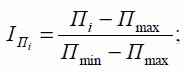
3) Платежеспособный спрос конечного потребителя (среднедушевые доходы населения как главного потребителя жилищно-коммунальных услуг):
(1.3)
где: IПi – индекс платежеспособного спроса потребителей (текущих и потенциальных) услуг i-го субъекта;
Пi – платежеспособный спрос потребителей услуг i-го субъекта, тыс. руб.;
Пmax – минимальное значение платежеспособного спроса потребителей среди всех субъектов, участвующих в отборе, тыс. руб.
Интегральный оценочный индекс претендента (I) рассчитывается как среднее арифметическое значение частных составляющих:
(1.4)
Максимально возможное значение интегрального индекса – 1, а минимальное – стремится к нулю. Чем выше значение данного показателя, тем более приоритетным для включения является проект для включения в адресную инвестиционную программу. При этом количество проектов, вошедших в нее, лимитировано бюджетом Фонда, выделяемого на данные цели на очередной финансовый год. Каждый проект, включенный в адресную программу, должен реализоваться в рамках законодательно утвержденной Программы комплексного развития коммунальной инфраструктуры муниципального образования, иметь долгосрочный утвержденный тариф и уровень софинансирования за счет частных инвестиций (кредиты, займы и др.) и местного бюджета не менее 30 % от общего объема капиталовложений. Все проекты, реализуемые с участием средств данного института развития, должны иметь утвержденные показатели окупаемости, экономической эффективности.
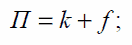
Финансовые ресурсы предоставляются на условиях возвратности и платности. Снижение себестоимости предоставления услуг и возникшая экономия в ходе реализации проекта является источником возврата данных средств. При этом дополнительная прибыль распадается на две части: одна идет на уплату процентов по кредитам (k), а другая – возвращается в Фонд в форме ежемесячных платежей в качестве уплаты долга (f):
(1.5)
Фонд ежегодно проводит контроль целевого использования финансовых средств, мониторинг технического состояния модернизированных объектов.
Таким образом, создание на уровне региона Фонда модернизации ЖКХ позволит аккумулировать и эффективно использовать ограниченные бюджетные ресурсы, повысить инвестиционную привлекательность отрасли и провести ее полное технологическое обновление без галопирующего роста тарифов на жилищно-коммунальные услуги на основе эффективного использования механизмов государственно-частного партнерства.
Литература1. Кожевников, С. А. Организационно-экономический механизм государственно-частного партнерства в жилищно-коммунальном хозяйстве региона [Текст] / С. А. Кожевников // Экономика и предпринимательство. – 2014. – № 5 (ч. 2). – С. 318–323.
Инфраструктура поддержки межрегионального сотрудничества промышленных предприятий в современных условиях
И. А. КондаковВологодская торгово-промышленная палата г. Вологда
Развитие кооперации малых, средних и крупных предприятий – экономическая необходимость, вызванная обострением международной обстановки и повышением конкурентной борьбы на промышленных рынках. Крупные предприятия стараются концентрировать свои ресурсы на важнейших направлениях деятельности, передавая значительную часть производственных функций малым и средним компаниям на субконтракт (производственную кооперацию) и аутсорсинг. Это позволяет всем участникам рынка добиваться высокого уровня специализации и, тем самым, повышать конкурентоспособность как отдельного предприятия, так и территориальных производственных систем в целом [2, 4].
Инфраструктурная поддержка развития кооперационных связей малого, среднего и крупного производственного бизнеса в России осуществляется на разных уровнях (страны, региона, города, отрасли и отдельных предприятий).
В пределах страны специализированной площадкой для поиска партнеров по развитию производственной кооперации является портал информационной поддержки малого и среднего производственного бизнеса – SUBCONTRACT.RU. Работу этой информационной системы обеспечивает НП «Национальное Партнерство развития субконтрактации», объединяющее 32 региональных центра субконтрактации[10]10
Первый центр субконтрактации на территории России – это созданный в 1998 году Межрегиональный Центр промышленной субконтрактации и партнерства. Инструментарий его работы после успешной апробации в городе Москве был принят на вооружение многими регионами России [3, 9].
[Закрыть]. Портал в сети интернет включает в себя базу данных [3, 9]:
• производственных возможностей промышленных предприятий, детализированных до уровня отдельного производственного заказа;
• поступающих заказов и информацию о предприятиях-заказчиках;
• спроса и предложений по оборудованию и производственным помещениям.
Все базы данных выполнены в едином формате и объединены автоматизированной системой поиска (по классификаторам основных видов деятельности, субконтрактной продукции и производственных процессов, принятым в ЕС). Использование единого информационного пространства позволяет существенно оптимизировать совместную работу центров субконтрактации и обеспечить быстрый и удобный поиск партнеров по производственной кооперации во всех регионах. В системе субконтрактации сейчас активно работают порядка 20 тыс. предприятий машиностроения, металло– и деревообработки, электроники и электротехники. Большой интерес к данной форме взаимодействия проявляют компании, предлагающие различные промышленные услуги: разработка конструкторской и технологической документации, промышленный дизайн. На сегодняшний день на интернет-сайте SUBCONTRACT.RU размещено около 4 тыс. актуальных заказов. За 8 мес. 2014 года проведено шесть «Бирж субконтрактов» – целевых мероприятий по поиску и квалификационному отбору партнеров по производственной кооперации для выполнения 71 заказа на общую сумму свыше 2 млрд. руб. [9].
На территории Вологодской области также функционирует центр субконтрактации, созданный в ноябре 2013 года при Вологодской торгово-промышленной палате. В настоящее время 87 вологодских предприятий зарегистрировано на портале SUBCONTRACT.RU, в том числе 25 компаний оперативно получают информацию о появляющихся в системе производственных заказах, пользуются возможностью размещения коммерческих предложений на сайте и информации в специализированных каталогах для продажи оборудования [6].
Одним из инструментов развития кооперационных связей между предприятиями в пределах региона (в нашем случае – Вологодской области) является проект «Электронная бизнес-кооперация» (курирует НП «Агентство Городского Развития» в г. Череповце). Проект представляет собой единую информационную площадку на территории Вологодской области, с помощью которой малый и средний бизнес получает возможность найти дополнительные заказы и рынки сбыта своей продукции, а крупный бизнес – расширить круг своих поставщиков.
Функционал электронной площадки позволяет любой вологодской компании размещать заявки по следующим направлениям:
– перечень актуальных на данный момент заказов предприятий с указанием срока размещения и выполнения заказа, требований к поставщикам, контактных данных для направления заявки, условий исполнения заказа (участие в тендере);
– перечень перспективных заказов (с пояснительной информацией об условиях участия);
– перечень производственных и офисных помещений, земельных участков, сдаваемых в аренду либо выставленных предприятием на продажу с указанием характеристик объекта и контактной информации;
– перечень реализуемой продукции, неликвидного имущества и подержанного оборудования предприятий.
«Электронная бизнес-кооперация» стартовала в 2012 году[11]11
Идея проекта «Электронная бизнес-кооперация» возникла в феврале 2012 года во время проведения круглого стола с участием Губернатора Вологодской области, генерального директора ОАО «Северсталь», руководителей крупных промышленных предприятий и малого бизнеса, на котором была достигнута договорённость о создании механизма информационного обмена и сотрудничества малого и среднего бизнеса.
[Закрыть]. На сегодняшний день среди участников проекта насчитывается уже 55 предприятий Вологодской области (такие как ОАО «Северсталь», ОАО «ФосАгро-Череповец», ОАО «Северсталь-Метиз», ОАО «Вологодский оптико-механический завод», ОАО «Вологодский машиностроительный завод» и др.), размещено более 300 предложений, посещаемость ресурса порядка 100 пользователей ежедневно.
О результатах деятельности проекта говорят следующие факты [5]:
• 15 % из 200 проведенных деловых переговоров завершились подписанием договоров;
• оборотная сумма закупок за 2013 год двух крупнейших участников вологодской площадки составила более 12 млрд. руб. (ОАО «Северсталь» – объем закупок 8,8 млрд. руб., 11,4 % заказов выполняет малый и средний бизнес города Череповца[12]12
Интерес ОАО «Северсталь» вызвали предложения малых компаний в таких областях, как упрочение металлов, жидкая теплоизоляции, технологии экономии топлива.
[Закрыть]; ОАО «ФосАгро-Череповец» – объем закупок 500 млн. руб.). В первом полугодии 2014 года доля закупок ОАО «Северсталь» у череповецких предприятий составила 16 % всего объема потребляемых товаров и услуг, ОАО «ФосАгро-Череповец» в рамках сотрудничества более чем со 100 организациями Вологодской области закупило на конкурсной основе продукции на сумму свыше 300 млн. руб. [5, 8].
Вопросы кооперации малого и среднего бизнеса с крупными предприятиями в пределах ограниченной территории и/или вида деятельности лежат в основе концепции создания индустриальных парков и кластеров. Данные образования позволяют эффективно выстроить технологические цепочки, начиная от использования сырья и заканчивая производством готовой высокотехнологичной продукцией. В основе их создания лежит принцип государственно-частного партнерства. Государство предоставляет инженерную инфраструктуру, которая, если бы объекты строились с нуля, отняла у предприятий до четверти затрат. Бизнес на выделенных обустроенных участках строит производство на собственные средства [4].
В настоящее время на территории Вологодской области действуют четыре индустриальных парка и промплощадки:
• Индустриальный парк «Шексна»;
• Индустриальный парк «Сокол»;
• Индустриальный парк «Череповец»;
• Промышленный парк «Вологда-Восток».
Проект «Промышленный парк «Восток»[13]13
Промышленный парк «Восток» расположен между рекой Вологдой и дорогой на Лосту, охватывая район улиц Турундаевской, Элеваторной и Промышленной. Это более 500 гектаров свободного пространства с прилегающими к нему железнодорожными ветками, газо– и электромагистральными линиями, водопроводом и канализацией [7].
[Закрыть] был презентован в городе Вологде в 2012 году. В настоящее время в парке «Восток» работает 30 предприятий. Это дерево– и металлообрабатывающие производства, предприятия по производству пластиковых и газовых труб, внедряется сталелитейное производство. По итогам 2013 года предприятия показали стабильную динамику роста. Объем отгруженной продукции составил 5 млрд. руб., а количество рабочих мест увеличилось до 3 тыс. С территории парка в бюджеты всех уровней поступило налогов на сумму более 500 млн. руб. [1, 7].
Кластерная политика в регионе реализуется АНО «Центр кластерного развития Вологодской области». Центр был создан в конце 2013 года для разработки и координации программ развития кластеров на территории Вологодской области, проведения маркетинговых исследований в интересах участников кластера, организации обучения и информационных кампаний. В настоящее время в регионе функционирует три кластера:
• международный кластер деревянного домостроения и деревообработки;
• туристский кластер;
• кластер информационных технологий.
В 2014 году на развитие кластерных инициатив в регионе из федерального бюджета выделено 16 млн. руб. Реализация запланированных мероприятий позволит реализовать более 35 кластерных проектов, имеющих важное значение для экономики региона [10].
Еще одной ступенью установления взаимодействия является создание специализированных советов и подписание соглашений о сотрудничестве между конкретными предприятиями (в том числе по инициативе и при участии органов власти). Так, в целях расширения кооперационных связей между организациями малого, среднего и крупного бизнеса Вологодской области в июле 2014 года был создан Совет по внутрирегиональной кооперации при Департаменте экономического развития области. В его состав вошли представители ОАО «Северсталь», ОАО «ФосАгро-Череповец», НП «Агентство городского развития», Вологодской торгово-промышленной палаты, АНО «Региональный центр поддержки предпринимательства Вологодской области». На первом заседании состоялась презентация потенциала промышленных предприятий ОАО «Вологодский вагоноремонтный завод», Управляющей компании «РП-Групп», ЗАО «Мезон», ООО «ИММИД» и обсуждались вопросы их возможной кооперации с участниками совета – градообразующими предприятиями г. Череповца [8].
В продолжение этого Правительство Вологодской области, ОАО «Северсталь» и ОАО «ФосАгро» в августе 2014 года подписали Протокол о партнерстве для повышения эффективности взаимодействия, направленного на развитие экономической и социальной сферы Вологодской области. Среди направлений сотрудничества – разработка и реализация программ по охране окружающей среды, корпоративной социальной ответственности, обмен лучшей практикой в области управления инвестиционными проектами, закупок сырья, материалов и услуг, а также логистики железнодорожных грузов и авиаперевозок.
Подводя итог рассмотрению вопросов развития инфраструктурной поддержки кооперации малого, среднего и крупного бизнеса, можно отметить следующее:
Применение механизма производственной кооперации позволяет крупному предприятию избавиться от издержек на содержание непрофильных производств и ускорить технологические процессы. Малые же предприятия, выполняя работы по субконтрактам, достигают полной загрузки оборудования и высокой производительности.
В настоящее время развитие инфраструктуры поддержки производственной кооперации является важным инструментом привлечения инвестиций под конкретные проекты и создания условий для эффективного взаимодействия бизнеса.
Использование механизма производственной кооперации, как показывает практика, дает мощный экономический рост как предприятию/отрасли, так и территории в целом.