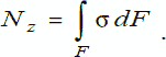
Читать книгу "Сопротивление материалов. Шпаргалка для студентов"
Автор книги: Роман Сиренко
Жанр: Прочая образовательная литература, Наука и Образование
Возрастные ограничения: 12+
сообщить о неприемлемом содержимом
43. Кривизна нейтрального слоя
Нейтральный слой – это слой, где длина волокон, лежащих в этом слое, при изгибе не изменяется.
Элемент бруса в деформированном состоянии. Обозначим след нейтрального слоя на плоскости чертежа n – m, а его радиус – р. Определим линейную деформацию произвольного волокна, отстоящего на расстоянии у от нейтрально слоя. Длина этого волокна после деформации (длина дуги m – n) равна (р + у)dθ, где θ – угол поворота.
Учитывая, что до деформации волокна имели одинаковую длину dz, получаем, что абсолютное удлинение рассматриваемого волокна будет:
Δ(dz) = (p + y)dz – dz;
следовательно, его деформация равна отношению абсолютного удлинения к первоначальной длине:
ε = Δ(dz) / dz = [(p + y)dθ – dz] / dz.
Очевидно dz = pdθ, так как длина волокна, лежащего в нейтральном слое, при деформации не изменилась. Следовательно,
ε = [(p + y)dθ – pdθ] / (pdθ),
откуда
ε = у / p
Для перехода от деформаций к напряжениям применим закон Гука σz = Eε.
Подставляя сюда ε = y / p, получаем
σz = Ey / p
Нейтральная ось (она принята за координатную ось Ох) делит поперечное сечение бруса на две части, в одной из которых возникают растягивающие, а в другой – сжимающие напряжения. В точках, лежащих на самой нейтральной оси, нормальные напряжения равны нулю. Можно дать другое определение нейтральной оси: нейтральной осью, или нулевой линией, называется геометрическое место точек поперечного сечения бруса, в которых нормальные напряжения равны нулю.
Положение нейтральной оси определяют из условия, что продольная сила в поперечном сечении равна нулю. Зависимость между продольной силой и нормальными напряжениями следующая:

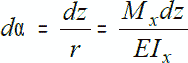
Радиус кривизны нейтрального слоя вычисляется по формуле
1 / р = Мx / (EIх).
Кривизна нейтрального слоя (изогнутой оси бруса) прямо пропорциональна изгибающему моменту и обратно пропорциональна произведению модуля упругости материала бруса на момент инерции его поперечного сечения относительно нейтральной оси.
44. Изгиб и кручение
Валы различных машин представляют в большинстве случаев прямые брусья круглого сплошного или (реже) кольцевого сечения, работающие на совместное действие изгиба и кручения.
При расчете валов, а также других элементов конструкций, испытывающих одновременное действие изгиба и кручения, влиянием поперечных сил, как правило, пренебрегают, так как сопутствующие им касательные напряжения в опасных точках бруса невелики по сравнению с касательными напряжениями от кручения и нормальными напряжениями от изгиба.
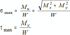
Рассмотрим брус круглого поперечного сечения, который нагружается одновременно крутящим и изгибающим моментами. Касательные напряжения от кручения распределены вдоль любого радиуса и достигают максимального значения в точках контура сечения.
Опасными являются точки пересечения контура с силовой линией, в которых одновременно и нормальные напряжения от изгиба, и касательные напряжения от кручения имеют наибольшее значение.
Выделим элементарный кубик, расположенный в окрестности опасной точки. На его гранях возникают нормальное и касательное напряжения:

где Ми – результирующий изгибающий момент;
Мк – результирующий крутящий момент;
W – момент сопротивления.
В опасной точке возникает упрощенное плоское напряженное состояние.
Расчет бруса круглого поперечного сечения на изгиб с кручением ведется аналогично расчету на изгиб, но вместо изгибающего момента в формулу входит так называемый эквивалентный момент, который зависит от изгибающего и крутящего моментов.

Так как напряжение не является одноосным, для расчета используются гипотезы прочности. Согласно гипотезе прочности условие прочности максимальных касательных напряжений с учетом выражений для максимальных напряжений запишем в виде:

При проектном расчете определяют требуемое значение момента сопротивления поперечного сечения:
Wэ ≥ Мэкв / [σ].
Для бруса с постоянным диаметром опасная точка находится в сечении, для которого эквивалентный момент имеет наибольшее значение. Это сечение также называют опасным.
45. Расчет на прочность при прямом и поперечном изгибе
Балки рассчитывают на прочность по наибольшим нормальным и касательным, напряжениям, возникающих в их поперечных сечениях.
Рассмотрим поперечное сечение балки, нагруженное системой внешних сил, и построим для него эпюры поперечных сил и изгибающих моментов. Рассечем балку и покажем ее в более крупном масштабе (Рис. 18).

Рис. 18
Возьмем по высоте опасного сечения (сечение, где возникает наибольший изгибающий момент) в точке приложения силы Р2 пять элементов 1, 2, 3, 4 и 5 и проанализируем их напряженное состояние.
1. По граням элементов 1 и 5 действуют только нормальные напряжения: элемент 1 – сжат, элемент 5 – растянут. Значит, элементы 1 и 5 находятся в линейном напряженном состоянии.
2. По граням элемента 2 и 4 действуют как нормальные, так и касательные напряжения, т. е. элемент находится в плоском напряженном состоянии.
На основании 3-й и 4-й теорий прочности напряжение в элементе 2 и 4 определяется по формулам:
(1);
(2).
3. Элемент 3, лежащий на нейтральном слое балки, находится в состоянии чистого сдвига. Касательное напряжение, действующее по его граням, находится по формуле Журавского:

То обстоятельство, в какой точке сечения будут тяжелые условия, зависит от величины и характера приложения внешней нагрузки.
4. В опасном состоянии могут находиться точки 1, 5 в сечении, где действует Мmax. Тогда условие прочности будет вычисляться по формуле:
(3).
5. Опасно нагруженной может оказаться точка 3 в сечении, где действует Qmax. Условие прочности запишется в виде:
(4).
6. В точках 2 и 4 напряжения σ и τ в отдельности могут не представлять опасности Но, так как они действуют одновременно, может быть создано предельное напряженное состояние:
(5);
(6).
Такие балки, как правило, рассчитываются по уравнению (3), короткие балки – по уравнению (4), особо ответственные конструкции проверяются по уравнениям (5), (6), т. е. делается полный расчет балки.
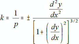
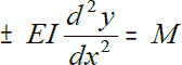
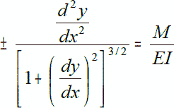
46. Дифференциальное уравнение оси изогнутой балки
Изогнутой осью балки или ее упругой линией называется кривая, в которую превращается прямолинейная ось балки после приложения к ней внешней нагрузки. Плоский поперечный изгиб характеризуется двумя величинами:
– перемещением f центра тяжести сечения по направлению, перпендикулярному оси балки, которое носит название прогиба;
– углом θ поворота сечения или равным ему углом наклона касательной к упругой линии.

Рис. 19
Кривизна кривой АВ в произвольной точке Д может характеризоваться выражением:

Из этой формулы следует, что при известном уравнении кривой у = f(x) ее кривизна в каждой точке может быть вычислена через первую и вторую производные от этой функции.
Если зависимость y = f(x) выражает закон изменения прогиба по длине балки, то математическую кривизну, представленную приведенным выше уравнением, можно связать с кривизной балки, полученной при изгибе:

Приравняв правые части двух уравнений, получим:

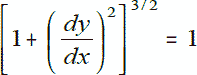
Если балки под действием внешних нагрузок имеют значительные перемещения, то полученное дифференциальное уравнение используется для нахождения прогибов и углов поворота сечений балок. Упростив выражение, получим:

Основанием для этого может служить то, что изогнутая ось балки представляет собой пологую линию. Следовательно, tqα = (dy) / (dx) – так как тангенс угла, образованного касательной к кривой у = f(x) с осью х, и есть (dy / dx).
Введя это допущение, получим приближенное дифференциальное уравнение изогнутой оси балки:

Согласно правилу знаков для изгибающих моментов установлено, что изгибающие моменты в сечении считаются положительными, если балка изгибается выпуклостью вниз. Это правило согласуется с правилом знаков для математической кривизны. При условии выбора осей координат, как показано на Рис. 19, т. е. ось у должна быть направлена вверх, знак для изгибающего момента ставится при этом «по правилу дождя».
47. Определение изгибающих моментов, нормальных и поперечных сил
Приложение к брусу нагрузки, располагающейся в одной плоскости, вызывает в каждом поперечном сечении этого бруса возникновение внутренних силовых факторов: продольной и поперечной сил и изгибающего момента.
Продольная сила N прикладывается к центру тяжести сечения и действует перпендикулярно сечению. Считается, что при растяжении продольная сила положительна, а при сжатии отрицательна.
Поперечная сила Q действует в плоскости сечения и проходит через центр тяжести сечения. Положительной считается такая поперечная сила, которая вращает мысленно отсеченную часть бруса по часовой стрелке относительно любой точки, нормально направленной к сечению.
Изгибающий момент M располагается перпендикулярно плоскости сечения. Считается положительным, когда если на левой стороне отсеченной правой части он направлен по часовой стрелке, на правой стороне левой части – против часовой стрелки. Если изгибающий момент положителен, волокна верхней части бруса подвергаются сжатию, а нижние – растяжению.
Между напряжениями, возникающими в сечении, и внутренними силовыми факторами существуют связи, определяемые нижеперечисленными формулами:

Существуют определенные правила, определяющие внутренние силовые факторы в поперечном сечении бруса в случае плоского действия сил.
Продольная сила бруса определяется суммой проекций всех внешних сил, приложенных к левой части бруса, на его продольную ось, и также равна сумме проекций внешних сил, приложенных к правой части бруса, на его ось и взятых с противоположным знаком.
Поперечная сила равна сумме проекций внешних сил, приложенных к левой части бруса, на нормаль к его продольной оси и равна сумме проекций внешних сил, приложенных к правой части бруса на нормаль к его продольной оси, взятой с противоположным знаком.
Изгибающий момент относительно центральной оси равен сумме моментов всех внешних сил, приложенных к левой части бруса, и равен сумме моментов внешних сил, приложенных к правой части оси, взятых с противоположным знаком.
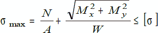
48. Сжатие с изгибом
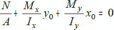
Рассмотрим брус, на который воздействуют нагрузки, вызывающие его растяжение (сжатие) и одновременно изгиб. Из метода сечений выясняем, что в поперечном сечении действуют продольная сила N, изгибающие моменты Mx, My и поперечные силы Qx, Qy. Если брус достаточно жесткий и можно пренебречь дополнительным изгибающим моментом, то на основании принципа независимости действия сил определяем напряжение как математическую сумму напряжений, вызываемых каждым из факторов:

Приравняв полученное соотношение нулю, определим положение нейтральной линии:

x0, y0 представляют координаты нейтральной линии сечения. Определив местонахождение нейтральной линии сечения, можно построить эпюры нормальных напряжений.
Если можно пренебречь влиянием поперечных сил, то в любой точке бруса возникает только нормальное напряжение, и напряженное состояние является одноосным. В этом случае условие прочности имеет следующий вид:
σmax ≤ [σ]
Из точек сечения, удаленных от обеих главных осей инерции, опасной является угловая точка, подверженная воздействию сумме напряжений продольной силы и изгибающих моментов, имеющих одинаковые знаки. В таком случае уравнение прочности имеет вид:

Для брусьев с круглым поперечным сечением положение опасной точки не выясняют, проверка на прочность рассчитывается по формуле:

49. Графоаналитический способ определения деформации балок
Если на балку действует сложная нагрузка, то в этом случае на разных участках закон изменения изгибающих моментов будет выражаться различными уравнениями.
Дифференциальное уравнение изогнутой оси придется составлять для каждого участка.
Число постоянных интегрирования будет равно удвоенному числу участков. Для определения этих постоянных всегда можно составить достаточное число уравнений, используя условия на опорах балки и условия на концах смежных участков, где прогибы и углы поворота равны между собой. Однако такой способ решения очень сложен.
Более простой способ решения получается, если вместо неопределенного интегрирования дифференциального уравнения изогнутой оси балки применить способ определенного интегрирования. При этом удается достигнуть удобной графоаналитической интерпретации решения.

Рис. 20
Для системы координат показанной на Рис. 20, а дифференциальное уравнение изогнутой оси балки запишется в виде:
EIv'' = M(1),
где v' = dv / dz; v'' =d2v / dz,
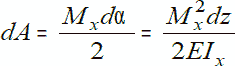
Учитывая, что θ2 = (v')2 – угол поворота сечения балок, v – прогиб балки, проинтегрируем дифференциальное уравнение, приняв пока EI = const:

где dA = Mdz – дифференциал площади эпюры М.
Выполнив интегрирование, получим из (2):
EIθ = EIθ0 + A(z) – A(0) = EIθ0 + A' – A(0),
или
EIθ = EIθ0 + A' (3),
где θ0 – угол поворота в начале координат;
А(z) = А' – отсеченная площадь эпюры М;
А(0) – отсеченная площадь для сечения, проходящего через начало координат, равная нулю.
После математических преобразований получаем:
EIv = EIv0 +EIθ0z + S(z) – S(0) = EIv0 + EIθ0z + S'm,n (4),
где v0 – прогиб балки в начале координат;
S(z) = S'm,n = A'zс – статический момент, отсеченной площади эпюры М относительно сечения, проходящего через начало координат. Он равен нулю, так как А(0) = 0.
Для определения линейных и угловых перемещений применяются формулы (3) и (4).
Если балка имеет различную жесткость на разных участках, то вместо формул (3) и (4) аналогично получим:
v' = θ = θ0 + Ared',
v = v0 + θ0 z + S'red,
где A'red – приведенная отсеченная площадь эпюры моментов, т. е. эпюры, ординаты которой поделены на EI;
S'red – статический момент относительно текущего сечения приведенной отсеченной площади эпюры моментов.
50. Аналитический способ определения прогибов балок
Проинтегрировав уравнение EIv'' = М один раз, получим уравнение углов поворота:
EIv' = ∫Mdz + C,
где С – постоянная интегрирования.
Интегрируя второй раз, получаем уравнение прогибов:
EIv' = ∫dz ∫Mdz + Cz + D,
где D – вторая постоянная интегрирования.
Постоянные интегрирования определяются из условий опирания балки (граничных условий).
Так, для балки, заделанной одним концом в месте заделки должны быть равны нулю и прогиб, и угол поворота сечения. Для балки, опертой по концам, прогиб должен быть равен нулю и на левом, и на правом конце.
Определив постоянные интегрирования, можно определить угол поворота и прогиб любого сечения.
Пример. Определить vmax и θmax для консоли, нагруженной сосредоточенной силой на конце (Рис. 21).

Рис. 21
Решение. Начало координат помесим на левом конце балки. Изгибающий момент в сечении с абсциссой z определяем как момент внешних сил, расположенных между данным сечением и началом координат:
Мz = – Fz.
Следовательно,
EIv'' = – Fz.
Интегрируем первый раз:
EIv' = – Fz2 / 2 + Cz + D.
Интегрируем второй раз:
EIv = – Fz2 / 6 + Cz + D.
Для определения C и D имеем следующие условия:
1) при z = l, v = 0;
2) при z = l, θ = v' = 0.
Из второго условия получаем C = Fl2 / 2. Из первого условия получаем
0 =Fl3 / 6 + Fl2 / 2 + D, откуда D = – Fl3 / 3.
Теперь можно определить vmax и θmax.
Совершенно очевидно, что vmax и θmax имеют место при z = 0. Полагая в формуле z = 0, получаем:
v'max = θmax = Fl2 / (2FI);
vmax = -Fl2 / (3FI).
Положительные значения угла поворота θ указывают, что сечение поворачивается в направлении, противоположном движению часовой стрелки.
Отрицательное значение v показывает, что центр тяжести сечения перемещается вниз, т. е. в сторону отрицательных значений ординат v.
Обратим внимание на то, что
С = EIθ0
и
D = EIv0,
где v0 – прогиб в начале координат;
θ0 – угол поворота в начале координат.
51. Балка на упругом основании
Балкой на упругом основании называют балки, расположенные на какой-либо упругой среде. Рассмотрим пример: прямая балка опирается на близко расположенные друг от друга, не связанные между собой пружины (Рис. 22.1).

Рис. 22.1

Рис. 22.2
Если воздействовать на эту балку нагрузкой, то со стороны каждой пружины будут появляться реакции, причем эти реакции будут пропорциональны прогибу точек балки, которые опираются на пружины. Для упрощения задачи будем считать, что пружины расположены настолько часто, что их реакции можно считать некоторой непрерывно расположенной силой, с интенсивностью, пропорциональной прогибу (Рис. 22.2):
qR = –kRy,
где k – некоторый коэффициент пропорциональности, зависящий от характеристик пружин и частоты их расположения.
Знак минус в этом соотношении возникает из-за того, что прогибы балки и реакции пружин направлены в противоположные стороны.
Для балки постоянного сечения
Q = EIy4.
Таким образом,
EIy4 + kRy = q.
Обозначим k = kR / EI, получим дифференциальное уравнение второго порядка в виде:
y4 + kRy / EI = q / EI.
Если распределенная нагрузка отсутствует, то дифференциальное уравнение принимает вид:
y4 + kRy / EI = 0,
и его решение находится способом наложения граничных условий.
Решение полученного дифференциального уравнения определяется следующим образом:
Y = e-kz(C1 sinkz + C2 coskz) + ekz(C3 sinkz + C4 coskz) + y’
или
y = C1 sinkz shkz + C2 sinkz chkz + C3 coskz shkz + C4 coskz chkz + y’,
где y’ – частное решение дифференциального уравнения;
shkz – гиперболический синус;
chkz – гиперболический косинус.
Если определена функция y, то значения изгибающих моментов и поперечных сил легко определить из дифференциальных уравнений для изогнутой оси балки с постоянным сечением:
φ = y’,
M = EIy'',
Q = EIy''',
Q = EIy'''',
где φ – угол наклона касательной к оси балки;
M – изгибающий момент;
Q – поперечная сила.
Эта расчетная схема широко используется на практике. Выражение qR = –kRy например, недостаточно точно описывает случай шпалы, лежащей на упругом грунте, так как реакция каждой точки зависит от прогиба соседних участков. В случае бруса, плавающего в воде, это соотношение дает довольно точные результаты.
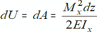
52. Понятие о потенциальной энергии. Вычисление потенциальной энергии при изгибе
В теле, подверженном какой-либо деформации, накапливается потенциальная энергия деформация, равная работе внешних сил. Если внешние силы являются статическими (нарастают во времени), то работа и энергия нарастают от нуля до своего максимального значения, и согласно закону Гука нарастает деформация. Рассмотрим случай чистого изгиба балки длиной l.

Рис. 23
Выделим бесконечно малый участок балки dz = rdα (Рис. 23).

Длина нейтрального слоя этого участка постоянна. Выразим из соотношения для длины нейтрального слоя угол поворота и, учитывая выражение для кривизны нейтрального слоя, получим:

Работа изгибающих моментов определяется как половина произведения значения изгибающего момента на угол поворота с учетом полученного соотношения для угла поворота:

Потенциальная энергия деформации численно равна работе внешних сил:

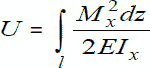
Для нахождения полного значения энергии проинтегрируем выражение по всей длине балки l:

Это выражение справедливо и для случая поперечного изгиба, так как накапливаемая энергия от поперечных сил невелика. Практические исследования доказывают, что ею можно пренебречь. Если на разных участках балки изгибающие моменты имеют разные значения, то потенциальная энергия складывается из потенциальных энергий отдельных участков:

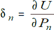
53. Теорема Кастилиано
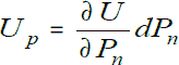
Теорема Кастилиано применима для решения таких задач, когда между силами и перемещениями существует линейная зависимость: частная производная от потенциальной энергии системы по силе равна перемещению точки приложения силы по направлению этой силы.
Под перемещением здесь понимается проекция полного перемещения по заданному направлению. Таким образом, под перемещением точки приложения силы по направлению силы понимается проекция на направление силы полного перемещения рассматриваемой точки.
Для доказательства теоремы рассмотрим упругое тело, испытывающее на себе произвольную нагрузку системы сил P. В результате работы внешних сил в этом теле накапливается потенциальная энергия U. Одной из сил P1 дадим приращение dPn, соответственно, потенциальная энергия получит приращение и запишется следующим образом:

Теперь изменим порядок действующих сил, сначала воздействуем на тело силой dPn, в точке приложения силы перемещение обозначим dδn, тогда работа этой силы равна 1/2dPndδn. Теперь нагрузим тело всей системой внешних сил. В отсутствие силы dPn потенциальная энергия приняла бы значение U, но работа на перемещении dδn внесет вклад dPnδn.
Up = U + dPnδn + ½dPndδn = U + dPnδn
Третье слагаемое не рассматривается вследствие его малости. Множитель 1/2 перед вторым слагаемым отсутствует, так как на перемещении dδn сила dPn постоянна.
Можно записать:

Отсюда:

Это и есть утверждение теоремы.
Из полученной формулы можно сделать вывод, что сила Pn может рассматриваться как некий силовой фактор, перемещение δn – как некий обобщенный геометрический параметр, на котором обобщенная сила совершает работу.
Теорема Кастилиано неприменима к системам, для которых принцип неизменности начальных размеров и принцип независимости действия сил не являются справедливыми.