Текст книги "Химия. Полный справочник для подготовки к ЕГЭ"
Автор книги: Ростислав Лидин
Жанр: Химия, Наука и Образование
сообщить о неприемлемом содержимом
Текущая страница: 3 (всего у книги 14 страниц) [доступный отрывок для чтения: 4 страниц]
5.5. Алюминий
Алюминий – элемент 3-го периода и IIIA-группы Периодической системы, порядковый номер 13. Электронная формула атома [10Ne]3s23p1, степени окисления + III и 0.
По электроотрицательности (1,47) одинаков с бериллием, проявляет амфотерные (кислотные и основные) свойства. В соединениях может находиться в составе катионов и анионов.
В природе – четвертый по химической распространенности элемент (первый среди металлов), находится в химически связанном состоянии.
Алюминий Al. Серебристо-белый, блестящий, легкий и пластичный металл. На воздухе покрывается матовой защитной пленкой Al2O3, весьма устойчивой и защищающей металл от коррозии; пассивируется в воде и концентрированной HNO3 (образование той же оксидной пленки).
Реакционноспособный, сгорает на воздухе, при комнатной температуре реагирует с галогенами Cl2, Br2 и I2, при нагревании – с фтором, серой:
4Al(порошок) + 3O2(воздух) = 2Al2O3 (700 °C)
2Al(порошок) + ЗЕ2 = 2AlЕ3 (25 °C, Е = CI, Br)
2Al(порошок) + 3I2 = 2AlI3 (25 °C, кат. – капля Н2O)
2Al + 3F2 = 2AlF3 (600 °C)
2Al + 3S = Al2S3 (150–200 °C)
Алюминий восстанавливает другие металлы из их оксидов (промышленно важный метод — алюминотермия):

Амальгамированный алюминий, т. е. очищенный от оксидной пленки, энергично и с большим экзо-эффектом реагирует с водой:
2Al + 6Н2O = 2Al(ОН)3↓ + ЗН2↑ + 836 кДж
Алюминий – сильный (типичный) восстановитель, в ряду напряжений стоит значительно левее водорода; вытесняет водород из разбавленных кислот НCl и H2SO4:
2Al + 6Н+ = 2Al3+ + ЗН2↑
и, проявляя амфотерность, из концентрированного раствора щелочей (окислитель – вода):
2Al + 2NaOH + 6Н2O = 2Na[Al(OH)4] + ЗН2↑ (80 °C)
Реагирует со щелочами в расплаве (также демонстрируя амфотерные свойства):
2Al + 6NaOH(T) = 2NaAlO2 + ЗН2 + 2Na2O (450 °C)
Взаимодействует с разбавленной азотной кислотой:
Al + 4НNO3(разб.) = Al(NO3)3 + NO↑ + 2Н2O
и восстанавливает Nv до N-III в реакциях с очень разбавленной азотной кислотой и ее солями:
8Al + З0НNO3(оч. разб.) = 8Al(NO3)3 + 3NH4NO3 + 9Н2O
8Al + 18Н2O + 5КОН + 3KNO3 = 8К[Al(ОН)4] + 3NH3↑ (кипячение)
(движущей силой этих реакций служит промежуточное выделение атомарного водорода Н0, а во второй реакции – также и образование устойчивого гидроксокомплекса [Al(OH),]-).
Получение алюминия в промышленности – электролиз Al2O3 в расплаве криолита Na3[AlF6] при 950 °C:

Применяется как реагент в алюминотермии для получения редких металлов и термитной сварке стальных конструкций. Алюминий – важнейший конструкционный материал, основа легких коррозионно-стойких сплавов (с магнием — дуралюмин, или дюраль, с медью — желтая алюминиевая бронза, из которой чеканят мелкую разменную монету). Чистый алюминий в больших количествах идет на изготовление посуды и электрических проводов.
Оксид алюминия Al2O3. Амфотерный оксид, кислотные и основные свойства равно выражены. Белый, имеет ионное строение (Al3+)2(O2-)3. Тугоплавкий, термически устойчивый. Аморфный порошок гигроскопичен и химически активен, кристаллический – очень тверд и химически пассивен. Не реагирует с водой, разбавленными кислотами и щелочами. Переводится в раствор концентрированными кислотами и щелочами, реагирует со щелочами и карбонатом натрия при сплавлении. Применяется как сырье в производстве алюминия, для изготовления огнеупорных, химически стойких и абразивных материалов, особо чистый Al2O3 – для изготовления рубиновых лазеров и синтетических драгоценных камней (рубины, сапфиры и др.), окрашенных примесями оксидов других металлов – Cr2O3 (красный цвет), Ti2O3 и Fe2O3 (голубой цвет).
Уравнения важнейших реакций:

(эта реакция используется для «вскрытия» бокситов)

В природе входит в состав глины и бокситов, образует минерал корунд.
Гидроксид алюминия Al(ОН)3. Амфотерный гидроксид, кислотные и основные свойства равно выражены. Белый, аморфный (гелеобразный) или кристаллический. Связи Al – ОН преимущественно ковалентные. Разлагается при нагревании без плавления. Практически не растворяется в воде. Реагирует с кислотами, щелочами в растворе и при сплавлении. Не реагирует с NH3 Н2O, NH4Cl, СO2, SO2 и H2S. Метагидроксид АlO(ОН) химически менее активен, чем Al(ОН)3. Промежуточный продукт в производстве алюминия. Применяется для синтеза других соединений алюминия (в том числе криолита), органических красителей, как лекарственный препарат при повышенной кислотности желудочного сока.
Уравнения важнейших реакций:
• термическое разложение

• основная и кислотная диссоциация в растворе

(реакции характеризуют очень малую растворимость в воде и амфотерность гидроксида, поставляющего в раствор одновременно ионы ОН и Н+ примерно в равной концентрации; гидроксид диссоциирует слабее, чем сама вода)
• амфотерные свойства
Al(ОН)3 + ЗНСlразб.) = AlCl3 + ЗН2O
Al(ОН)3 + NaOH(т) = NaAlO2 + 2Н2O (1000 °C)
Al(ОН)3 + NaOH(конц.) = Na[Al(OH)4](p)
Для получения осадка Al(ОН)3 щелочь обычно не используют из-за легкости перехода осадка в раствор (см. выше), а действуют на соли алюминия гидратом аммиака. При комнатной температуре образуется Al(ОН)3, а при кипячении – менее активный АlO(ОН):

Удобный способ получения Al(ОН)3 – пропускание СO2 через раствор гидроксокомплекса:
[Al(ОН)4]- + СO2 = Al(ОН)3↓ + HCO3-
Тетрагидроксоалюминат(III) натрия Na[Al(OH)4]. Комплексная соль. С таким составом существует при комнатной температуре в концентрированном растворе NaOH. Для твердого состояния состав условный, так как при кристаллизации из раствора он усложняется (выделены Na4[Al(OH)7], Na4[Al4O3(OH)10] и др.). При прокаливании твердые соли разлагаются до диоксоалюмината(III) натрия NaAlO2, при разбавлении их растворов – до Al(ОН)3. По-разному реагируют с сильными и слабыми кислотами, с хлоридом алюминия и карбонатом аммония.
Уравнения важнейших реакций:

Получение: взаимодействие Al(ОН)3 и солей алюминия с NaOH в концентрированном растворе:
Al(OH)3 + NaOH(конц.) = Na[Al(OH)4]
AlCl3 + 4NaOH(конц.) = Na[Al(OH)4] + 3NaCl
Образуется из оксида алюминия (см.) как промежуточный продукт при промышленном «вскрытии» бокситов.
Примеры заданий части А
1. Среди металлов главной подгруппы II группы наиболее сильным восстановителем является
1) барий
2) кальций
3) стронций
4) магний
2. При сжигании магния на воздухе образуются
1) Mg(OH)2
2) MgO
3) Mg(NO3)2
4) Mg3N2
3. Алюминий будет выделять водород из реактива
1) HNO3 (разб.)
2) NaHSO4 (разб.)
3) H2SO4 (конц.)
4) NaOH (конц.)
4. Реакция замещения протекает в растворе между алюминием и
1) Na2SO4
2) BeSO4
3) NiSO4
4) MgSO4
5. Из раствора гидрокарбоната бария выпадает осадок при добавлении реактивов
1) ВаО
2) СO2
3) Ва(ОН)2
4) H2SO4
6. Калий можно получить электролизом на угольных электродах из
1) раствора КCl
2) раствора KNO3
3) расплава КCl
4) расплава смеси КCl и MgCl2
7—8. Если внести каплю раствора
7. поваренной соли
8. хлорида калия
в бесцветное пламя газовой горелки, оно станет
1) красным
2) желтым
3) зеленым
4) фиолетовым
9. Устранение временной жёсткости воды проводится по реакции
1) Са(НСO3)2 + Na3PO4 →…
2) Са(НСO3)2 + Са(ОН)2 →…
3) CaSO4 + Na2CO3 →…
4) СаCl2 + NaHCO3 →…
6. Переходные металлы 4-го периода. Свойства, способы получения. Общие свойства металлов
6.1. Хром
Хром – элемент 4-го периода и VIБ-группы Периодической системы, порядковый номер 24. Электронная формула атома [18Ar]3d54s1, характерные степени окисления +VI, + III и 0.
Шкала степеней окисления хрома:

По электроотрицательности (1,56) хром занимает промежуточное положение между типичными металлами (Na, К, Са) и типичными неметаллами (F, О, N. CI, S). Соединения CrIII проявляют амфотерные свойства, металлические (основные) свойства преобладают у CrII, неметаллические (кислотные) – у CrVI; в соединениях хром чаще находится в составе катионов и реже – в составе анионов. Хром образует многочисленные соли и бинарные соединения.
В природе – девятнадцатый по химической распространенности элемент (десятый среди металлов), находится только в виде соединений (минералы, полиметаллические руды). Растворимые соли хрома ядовиты.
Хром Cr. Серый (с голубоватым оттенком) металл, очень твердый, ковкий (технический продукт – хрупкий). Блестящий, хотя покрыт очень тонкой оксидной пленкой, сохраняет блеск даже во влажном воздухе. Не реагирует с водой, щелочами и гидратом аммиака, пассивируется в концентрированной и разбавленной азотной кислоте и в «царской водке».

В ряду напряжений стоит левее водорода, из разбавленных кислот HCl и H2SO4 вытесняет водород:
Cr + 2H+ = Cr2+ + Н2↓
Далее катион Cr2+ можно перевести кислотами-окислителями в катион Cr3+:

Хром реагирует в расплаве с сильными окислителями:
2Cr + КClO3 = Cr2O3 + КCl (500–700 °C)
2Cr + 3KNO3 = Cr2O3 + 3KNO2 (400–550 °C)
Получение хрома в промышленности – алюминотермия:
Cr2O3 + 2Al = 2Cr + Al2O3 (800 °C)
и электролиз раствора:

Промышленно важен сплав хрома с железом — феррохром (6O—85 % хрома), его производят восстановлением оксидов, например минерала хромит:

Применяется хром для создания защитных покрытий на других металлах (хромирование), как компонент механически прочных и коррозионно-стойких сталей.
Гидроксид хрома (III) Cr(ОН)3. Амфотерный гидроксид. Серо-зеленый, разлагается при нагревании, теряя воду и образуя зеленый метагидроксид CrО(ОН). Не растворяется в воде. Из раствора осаждается в виде серо-голубого и голубовато-зеленого гидрата. Реагирует с кислотами и щелочами, не взаимодействует с гидратом аммиака. Применяется для синтеза соединений хрома (III).
Уравнения важнейших реакций:

Получение: осаждение гидратом аммиака из растора солей хрома(III):
Cr3+ + 3(NH3 Н2O) = Cr(OH)3↓ + 3NH4+
Хромат калия К2CrO4. Оксосоль. Желтый, негигроскопичный. Плавится без разложения, термически устойчивый. Хорошо растворим в воде (желтая окраска раствора отвечает иону CrO42-), незначительно гидролизуется по аниону. В кислотной среде переходит в К2Cr2O7. Окислитель (более слабый, чем К2Cr2O7). Вступает в реакции ионного обмена.
Качественная реакция на ион CrO42- – выпадение желтого осадка хромата бария, разлагающегося в сильнокислотной среде. Применяется как протрава при крашении тканей, дубитель кож, селективный окислитель, реактив в аналитической химии.
Уравнения важнейших реакций:
2К2CrO4 + H2SO4 (30 %) = К2Cr2O7 + K2SO4 + Н2O
2К2CrO4(т) + 16HCl (конц., гор.) = 2CrCl3 + ЗCl3↑ + 8H2O + 4КCl
2К2CrO4 + 2H2O + 3H2S = 2Cr(OH)3↓ + 3S↓ + 4KOH
2К2CrO4 + 8H2O + 3K2S = 2K3[Cr(OH)6] + 3S↓ + 4KOH
2К2CrO4 + 2AgNO3 = 2KNO3 + Ag2CrO4 (красн.)↓
Качественная реакция:
К2CrO4 + ВаCl2 = 2КCl + ВаCrO4↓
2BaCrO4(т) + 2HCl (разб.) = ВаCr2O7(р) + ВаCl2 + Н2O
Получение: спекание хромита с поташом на воздухе:
4(Cr2FeII)O4 + 8К2СO3 + 7O2 = 8К2CrO4 + 2Fe2O3 + 8СO2 (1000 °C)
Дихромат калия К2Cr2O7. Оксосоль. Техническое название хромпик. Оранжево-красный, негигроскопичный. Плавится без разложения, при дальнейшем нагревании разлагается. Хорошо растворим в воде (оранжевая окраска раствора отвечает иону Cr2O72-). В щелочной среде образует К2CrO4. Типичный окислитель в растворе и при сплавлении. Вступает в реакции ионного обмена.
Качественные реакции – синее окрашивание эфирного раствора в присутствии Н2O2, синее окрашивание водного раствора при действии атомарного водорода.
Применяется как дубитель кож, протрава при крашении тканей, компонент пиротехнических составов, реагент в аналитической химии, ингибитор коррозии металлов, в смеси с H2SO4 (конц.) – для мытья химической посуды.
Уравнения важнейших реакций:

6.2. Марганец
Марганец – элемент 4-го периода и VIIB-группы Периодической системы, порядковый номер 25. Электронная формула атома [18Ar]3d54s2; характерные степени окисления +VII, +VI, +IV, +II и 0.
Шкала степеней окисления марганца:

По электроотрицательности (1,60) марганец занимает промежуточное положение между типичными металлами (Na, К, Са, Mg) и неметаллами (F, О, N, Cl). Соединения MnII – оксид и гидроксид – проявляют основные свойства, соединения MnIII и MnIV – амфотерные свойства, для соединений MnVI и MnVII характерно почти полное преобладание кислотных свойств. Марганец образует многочисленные соли и бинарные соединения.
В природе – четырнадцатый по химической распространенности элемент (восьмой среди металлов; второй, после железа, тяжелый металл).
Марганец Mn. Серебристо-белый (с серым оттенком) металл, более твердый и хрупкий по сравнению с железом. В виде мелкого порошка пирофорен. На воздухе покрывается оксидной пленкой. Пассивируется в воде, поглощает водород, но не реагирует с ним.
При нагревании сгорает в кислороде воздуха, реагирует с хлором и серой:

В ряду напряжений марганец стоит левее водорода, из разбавленных кислот HCl и H2SO4 вытесняет водород:
Mn (порошок) + 2H+ = Mn2+ + Н2↑
Взаимодействует с кислотами-окислителями при нагревании, также образуя соли марганца (II):
Mn + 2H2SO4 (конц.) = MnSO4 + SO2↑ + 2Н2O
ЗMn + 8HNO3 (разб.) = 3Mn(NO3)2 + 2NO↑ + 4Н2O
Получение марганца в промышленности – восстановление пиролюзита MnO2 или гаусманита (MnIIMn2III)O4 коксом или алюминием:
MnO2 + С (кокс) = Mn + СO2 (600 °C)
3(MnIIMn2III)O4 + 8Al = 9Mn + 4Al2O3 (700–900 °C)
Наиболее чистый марганец выделяют электролизом раствора из солей марганца(II), например:

Промышленно важен сплав с железом — ферромарганец (> 70 % Mn), его получают восстановлением оксидных руд марганца и железа.
Применяется марганец для изготовления специальных и тугоплавких сплавов, зеркального чугуна и марганцевых твердых сталей, в качестве катализатора в органическом синтезе.
Оксид марганца (IV) MnO2. Черный, с коричневым оттенком, при нагревании разлагается. Из раствора осаждается в виде черного гидрата MnO2 nН2O. Не проявляет амфотерных свойств в силу малой реакционной способности по отношению к воде, разбавленным кислотам НCl и H2SO4, азотной кислоте и щелочам в растворе. Типичный окислитель в растворе и расплаве, менее характерны свойства восстановителя.
Применяется для промышленного производства марганца, как деполяризатор в «батарейках» (сухих гальванических элементах), компонент минеральных пигментов, осветлитель стекла.
Уравнения важнейших реакций:
4MnO2 = 2Mn2O3 + O2 (530–585 °C)
2MnO2 + 2H2SO4 (конц.) = MnSO4 + O2↑ + 2Н2O (кипячение)
MnO2 + 4HCl (конц.) = MnCl2 + Cl2↑ + 2H2O
MnO2 + H2SO4 (гор.) + KNO2 = MnSO4 + KNO3 + H2O
MnO2 + 2H2SO4 + 2FeSO4 = MnSO4 + Fe2(SO4)3 + 2H2O
MnO2 + 2KOH + KNO3 = K2MnO4 + KNO2 + H2O (350–450 °C)
3MnO2 + 3K2CO3 + KClO3 = 3K2MnO4 + KCl + 3CO2 (400 °C)
В природе самое распространенное соединение марганца – минерал пиролюзит.
Манганат калия К2MnO4. Оксосоль. Темно-зеленый, плавится под избыточным давлением O2. В растворе устойчив только в сильнощелочной среде. Зеленая окраска раствора отвечает иону MnO42-. Медленно разлагается при разбавлении раствора водой, быстро – при подкислении. Проявляет окислительно-восстановительные свойства.
Качественная реакция – появление фиолетовой окраски при подкислении раствора. Промежуточный продукт при синтезе КMnO4.
Уравнения важнейших реакций:

Получение: сплавление MnO2 с сильными окислителями (KNO3, КСlO3).
Пермапгапат калия КMnO4. Оксосоль. Красно-фиолетовый (почти черный). При нагревании разлагается без плавления. Умеренно растворим в воде (интенсивно-фиолетовая окраска раствора отвечает иону MnO4-), гидролиза нет. Медленно разлагается в воде, серной кислоте, щелочах. Сильный окислитель в растворе и при сплавлении; в сильнокислотной среде восстанавливается до MnII, в нейтральной среде – до MnIV, в сильнощелочной среде – до MnVI.
Качественная реакция на ион MnO4- – исчезновение фиолетовой окраски раствора при восстановлении в кислотной среде.
Применяется как окислитель углеводородов до карбоновых кислот, реактив в фотографии, антисептик в медицине, средство для очистки газов и отбеливания тканей, твердый источник кислорода. Распространенный окислитель в лабораторной практике.
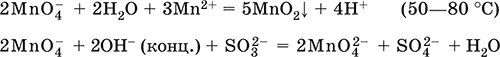
Уравнения важнейших реакций:


Получение – электролиз раствора K2MnO4 (см.).
6.3. Железо
Железо – элемент 4-го периода и VIIIБ-группы Периодической системы, порядковый номер 26. Вместе с кобальтом Со и никелем Ni образует семейство (триаду) железа. Электронная формула атома [18Ar]3d64s2, характерные степени окисления 0, +II и +III (последняя наиболее устойчива).
Шкала степеней окисления железа:

По электроотрицательности (1,64) железо занимает промежуточное положение между типичными металлами (Na, Са) и типичными неметаллами (F, О, N). Проявляет амфотерные свойства, металлические (основные) свойства преобладают над неметаллическими (кислотными), в соединениях находится в составе катионов (чаще) и анионов (реже). Образует многочисленные соли и бинарные соединения.
В природе – седьмой по химической распространенности элемент (четвертый среди металлов, первый тяжелый металл); находится в химически связанном виде. Жизненно важный элемент для всех организмов.
Железо Fe. Простое вещество. Серый мягкий, ковкий, тугоплавкий металл. Обычное железо медленно окисляется во влажном воздухе (ржавеет), чистое железо коррозии не подвергается. Не реагирует с водой, пассивируется в концентрированных серной и азотной кислотах.
Компактный металл покрывается при нагревании на воздухе оксидной пленкой (окалиной), а порошок сгорает; реагирует с хлором и серой:

Восстанавливает водяной пар (старый способ получения водорода в промышленности):
3Fe + 4Н2O (пар) = (FeIIFe2III)O4+ 4Н2 (800 °C)
В ряду напряжений стоит левее водорода, реагирует с разбавленными кислотами НCl и H2SO4, при этом образуются соли железа(II) и выделяется водород:
Fe + 2Н+ = Fe2+ + Н2↑
(реакции проводятся без доступа воздуха, иначе FeII постепенно переводится кислородом в FeIII).
При действии на железо более сильного окислителя (здесь – азотная кислота) оно сразу переходит в катион Fe3+:
Fe + 4HNO3 (разб.) = Fe(NO3)3 + NO↑ + 2H2O
Амфотерность железа проявляется только в концентрированных щелочах при кипячении:
Fe + 2NaOH (50 %) + 2Н2O = Na2[Fe(OH)4]↓ + Н2↑
и образуется осадок тетрагидроксоферрата(II) натрия.
Железо вытесняет (по ряду напряжений) менее активные металлы из растворов их солей:
Fe + CuSO4 = FeSO4 + Cu↓
Железо медленно окисляется во влажном воздухе (ржавеет), из-за рыхлости коричневой ржавчины (FeIIFe2III)O4 защитный слой не создается. Процесс ржавления:

Техническое железо – сплавы железа с углеродом: чугун содержит 2,06—6,67 % С, сталь 0,02—2,06 % С, часто присутствуют другие естественные примеси (S, Р, Si) и вводимые искусственно специальные добавки (Mn, Ni, Cr), что придает сплавам железа технически полезные свойства – твердость, термическую и коррозионную стойкость, ковкость и др.
Доменный процесс производства чугуна
Доменный процесс производства чугуна составляют следующие стадии:
а) подготовка (обжиг) сульфидных и карбонатных руд – перевод в оксидную руду:

б) сжигание кокса при горячем дутье:

в) восстановление оксидной руды угарным газом СО последовательно (см. рубрики соответствующих оксидов):

г) науглероживание железа (до 6,67 % С) и расплавление чугуна:

В чугуне всегда в виде зерен присутствуют цементит Fe2C и графит.
Производство стали
Передел чугуна в сталь проводится в специальных печах (конвертерных, мартеновских, электрических), отличающихся способом обогрева; температура процесса 1700–2000 °C. Продувание воздуха, обогащенного кислородом, приводит к выгоранию из чугуна избыточного углерода, а также серы, фосфора и кремния в виде оксидов. При этом оксиды либо улавливаются в виде отходящих газов (СO2, SO2), либо связываются в легко отделяемый шлак – смесь Са3(РO4)2 и CaSiO3. Для получения специальных сталей в печь вводят легирующие добавки других металлов.
Получение чистого железа в промышленности – электролиз раствора солей железа, например:

(существуют и другие специальные методы, в том числе восстановление оксидов железа водородом).
Чистое железо применяется в производстве специальных сплавов, при изготовлении сердечников электромагнитов и трансформаторов, чугун – в производстве литья и стали, сталь – как конструкционный и инструментальный материалы, в том числе износо-, жаро– и коррозионно-стойкие.
Оксид железа(II) FeO. Амфотерный оксид с большим преобладанием основных свойств. Черный, имеет ионное строение Fe2+O2-. При нагревании вначале разлагается, затем образуется вновь. Не образуется при сгорании железа на воздухе. Не реагирует с водой. Разлагается кислотами, сплавляется со щелочами. Медленно окисляется во влажном воздухе. Восстанавливается водородом, коксом. Участвует в доменном процессе выплавки чугуна. Применяется как компонент керамики и минеральных красок. Уравнения важнейших реакций:

Получение в лаборатории: термическое разложение соединений железа (II) без доступа воздуха:
Fe(OH)2 = FeO + H2O (150–200 °C)
FeCO3 = FeO + СO2 (490–550 °C)
Оксид дижелеза (III) – железа(II) (FeIIFe2III)O4. Двойной оксид. Черный, имеет ионное строение Fe2+(Fe3+)2(O2-)4. Термически устойчив до высоких температур. Не реагирует с водой. Разлагается кислотами. Восстанавливается водородом, раскаленным железом. Участвует в доменном процессе производства чугуна. Применяется как компонент минеральных красок (железный сурик), керамики, цветного цемента. Продукт специального окисления поверхности стальных изделий (чернение, воронение). По составу отвечает коричневой ржавчине и темной окалине на железе. Применение брутто-формулы Fe3O4 не рекомендуется. Уравнения важнейших реакций:


Получение: сгорание железа (см.) на воздухе.
В природе – оксидная руда железа магнетит.
Оксид железа(III) Fe2O3. Амфотерный оксид с преобладанием основных свойств. Красно-коричневый, имеет ионное строение (Fe3+)2(O2-)3. Термически устойчив до высоких температур. Не образуется при сгорании железа на воздухе. Не реагирует с водой, из раствора выпадает бурый аморфный гидрат Fe2O3 nН2O. Медленно реагирует с кислотами и щелочами. Восстанавливается монооксидом углерода, расплавленным железом. Сплавляется с оксидами других металлов и образует двойные оксиды — шпинели (технические продукты называются ферритами). Применяется как сырье при выплавке чугуна в доменном процессе, катализатор в производстве аммиака, компонент керамики, цветных цементов и минеральных красок, при термитной сварке стальных конструкций, как носитель звука и изображения на магнитных лентах, как полирующее средство для стали и стекла.
Уравнения важнейших реакций:

Получение в лаборатории – термическое разложение солей железа(III) на воздухе:
Fe2(SO4)3 = Fe2O3 + 3SO3 (500–700 °C)
4{Fe(NO3)3 9 H2O} = 2FeaO3 + 12NO2 + 3O2 + 36H2O (600–700 °C)
В природе – оксидные руды железа гематит Fe2O3 и лимонит Fe2O3 nН2O.
Гидроксид железа (II) Fe(OH)2. Амфотерный гидроксид с преобладанием основных свойств. Белый (иногда с зеленоватым оттенком), связи Fe – ОН преимущественно ковалентные. Термически неустойчив. Легко окисляется на воздухе, особенно во влажном состоянии (темнеет). Нерастворим в воде. Реагирует с разбавленными кислотами, концентрированными щелочами. Типичный восстановитель. Промежуточный продукт при ржавлении железа. Применяется в изготовлении активной массы железоникелевых аккумуляторов.
Уравнения важнейших реакций:

Получение: осаждение из раствора щелочами или гидратом аммиака в инертной атмосфере:
Fe2+ + 2OН(разб.) = Fe(OH)2↓
Fe2+ + 2(NH3 H2O) = Fe(OH)2↓ + 2NH4+
Метагидроксид железа FeO(OH). Амфотерный гидроксид с преобладанием основных свойств. Светло-коричневый, связи Fe – О и Fe – ОН преимущественно ковалентные.
При нагревании разлагается без плавления. Нерастворим в воде. Осаждается из раствора в виде бурого аморфного полигидрата Fe2O3 nН2O, который при выдерживании под разбавленным щелочным раствором или при высушивании переходит в FeO(OH). Реагирует с кислотами, твердыми щелочами. Слабый окислитель и восстановитель. Спекается с Fe(OH)2. Промежуточный продукт при ржавлении железа. Применяется как основа желтых минеральных красок и эмалей, поглотитель отходящих газов, катализатор в органическом синтезе.
Соединение состава Fe(OH)3 не известно (не получено).
Уравнения важнейших реакций:

Получение: осаждение из раствора солей железа(III) гидрата Fe2O3 nН2O и его частичное обезвоживание (см. выше).
В природе – оксидная руда железа лимонит Fe2O3 nН2O и минерал гётит FeO(OH).
Феррат калия K2FeO4. Оксосоль. Красно-фиолетовый, разлагается при сильном нагревании. Хорошо растворим в концентрированном растворе КОН, реагирует с кипящей водой, неустойчив в кислотной среде. Сильный окислитель. Качественная реакция – образование красного осадка феррата бария. Применяется в синтезе ферритов – промышленно важных двойных оксидов железа (III) и других металлов.
Уравнения важнейших реакций:

Получение: образуется при окислении соединений железа, например метагидроксида FeO(OH), бромной водой, а также при действии сильных окислителей (при спекании) на железо
Fe + 2KOH + 2KNO3 = K2FeO4 + 3KNO2 + H2O (420 °C)
и электролизе в растворе:

(феррат калия образуется на аноде).
Качественные реакции на ионы Fe2+ и Fe3+. Обнаружение ионов Fe2+ и Fe3+ в водном растворе проводят с помощью реактивов K3[Fe(CN)6] и K4[Fe(CN)6] соответственно; в обоих случаях выпадает синий продукт одинакового состава и строения, KFeIII[FeII(CN)6]. В лаборатории этот осадок называют берлинская лазурь, или турнбуллева синь:
Fe2+ + К+ + [Fe(CN)6]3- = KFeIII[FeII(CN)6]↓
Fe3+ + K+ + [Fe(CN)6]4- = KFeIII[FeII(CN)6]↓
Химические названия исходных реактивов и продукта реакций:
K3[Fe(CN)6] – гексацианоферрат (III) калия
K4[Fe(CN)6] – гексацианоферрат (II) калия
KFeIII[FeII(CN)6] – гексацианоферрат (II) железа(III) калия
Кроме того, хорошим реактивом на ионы Fe3+ является тиоцианат-ион NCS-, железо (III) соединяется с ним, и появляется ярко-красная («кровавая») окраска:
Fe3+ + 6NCS– = [Fe(NCS)6]3-
Этим реактивом (например, в виде соли KNCS) можно обнаружить даже следы железа (III) в водопроводной воде, если она проходит через железные трубы, покрытые изнутри ржавчиной.