Автор книги: Анастасия Жигач
Жанр: О бизнесе популярно, Бизнес-Книги
Возрастные ограничения: +16
сообщить о неприемлемом содержимом
Текущая страница: 5 (всего у книги 19 страниц) [доступный отрывок для чтения: 5 страниц]
Анатомия эмоций
Давайте проведем небольшую тренировку. Попробуйте прочитать следующие диалоги и мысленно назовите каждого собеседника. Кто говорит: Профи, Начальник или Подчиненный?
Диалог 1
– Почему вы не выполнили мое задание? Я предупреждал, что важны сроки! Этот клиент особенно ценен для нас!
– Простите, босс. В офис пришла налоговая инспекция, и мне пришлось переключить все внимание на нее.
– Когда все-таки будет готов мой отчет по продажам?
– Я выполнил 50 % и завершу все завтра до обеда. Я уже расчистил завтрашний день для этой задачи и отменил все встречи.
– Смотрите, не подведите меня во второй раз.
Диалог 2
– Какого черта не успели сделать этот несчастный отчет? Я же просил вас уложиться в срок, вечно вы все портите!
– Просто ужасно с вашей стороны просить сдать такую объемную работу за одну ночь. Это просто невозможно! Почему я? Обычно отчеты делает Саша!
– Я нанял вас для того, чтобы вы выполняли мои задания. Если я сказал «ты», значит, ты. Что, хочешь, чтобы я тебя уволил?
– Я не хочу работать с начальником, который не умеет ставить задачи и так общается с сотрудниками!
– Что ты вообще говоришь? Эй, здесь есть нормальные люди? Кто-нибудь в офисе может мне прояснить, что происходит?
– Думаю, что в этой комнате есть только один адекватный человек. И, боюсь, это не вы.
Диалог 3
– Саша, где отчет? Сегодня вторник! Я же давал указание сделать его к понедельнику!
– Виноват, не успел доделать. Очень сложные подсчеты! Я должен быть уверен в цифрах, прежде чем прислать отчет.
– У меня встреча через час, отчет должен быть готов. Ты даже не представляешь, как ты меня подводишь!
– Прости, ты прав, конечно. Надо было предупредить заранее. Не хотел тебя подводить, можешь подсказать мне пару моментов в расчетах?
– Ну ладно, давай вместе посмотрим.
Если вдруг у вас не получилось определить, кто есть кто, дам несколько подсказок. В третьем диалоге (в отличие от первого и второго) мы увидели пример ухода с линии атаки. Во втором диалоге на уровне Профи общался вовсе не босс, а его подчиненный, а в первом практически вся беседа была на одном уровне, поэтому конфликт и не случился.
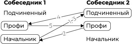
Давайте посмотрим на схеме, как развивался последний диалог, чтобы наглядно представить ход этой беседы.
– Саша, где отчет? Сегодня вторник! Я же давал указание сделать его к понедельнику! (Начальник спрашивает Подчиненного.)

– Виноват, не успел доделать. Очень сложные подсчеты! Я должен быть уверен в цифрах, прежде чем прислать отчет. (Вместо Подчиненного отвечает Профи, он обращается к Начальнику.)

– У меня встреча через час, отчет должен быть готов. Ты даже не представляешь, как ты меня подводишь! (Начальник обращается к Подчиненному.)

– Прости, ты прав, конечно. Надо было предупредить заранее. Не хотел тебя подводить, можешь подсказать мне пару моментов в расчетах? (Подчиненный обращается к Профи.)

– Ну ладно, давай вместе посмотрим. (Профи отвечает Профи, конфликт исчерпан.)

Диалог целиком происходит по такой схеме:

В корпоративных коммуникациях каждый ведет себя исходя из того, какая эго-сущность взяла пульт в конкретный момент. Полезно распознавать их по словам-маркерам, помнить, за что они «борются» и чего хотят, чтобы конструировать диалог, вести его в нужную сторону и лидировать.
Представьте, что вы находитесь в совете директоров крупной компании. Идет совещание, обсуждается важный вопрос. Вдруг встает ваш помощник и неожиданно для вас делает презентацию вашей идеи, выдав ее за свою. Часть коллег знают, что автор идеи – вы, так как уже обсуждали ее с вами на протяжении нескольких предыдущих встреч.
Что вы будете чувствовать и как поступите в этой ситуации? Очевидно, что первой реакцией нашего внутреннего Ребенка будет обида, а также немедленная попытка прекратить доклад вероломного сотрудника, чтобы объявить, что идея принадлежит вам. Но так ли поступит опытный айкидока? Вспомните основные правила айкидо. Что стоит здесь применить, чтобы выйти из ситуации победителем?
Часто при создании бизнеса учредители компании бросаются в дела, не распределив толком обязанности между партнерами. Такие же проблемы бывают и дома, когда нет времени решать, кто чем будет заниматься. В процессе жизни надо навести порядок, честно разделить обязанности или дома, или на работе так, чтобы все были довольны. Подумайте, как это сделать с помощью айкидо.
Выводы
• Кто бы что ни говорил, им всегда управляет внутренняя программа со своим сценарием работы: Ребенок, Взрослый или Родитель. Зная, кто именно сейчас у руля, можно обрести контроль над ситуацией и вывести разговор в нужное русло.
• Избежать конфликта вовсе или вовремя погасить его можно, если уйти с линии атаки и уступить.
• Конфликт не возникает, когда линии общения не пересекаются. Чтобы прекратить спор, достаточно уступить собеседнику и вывести разговор на линию «Взрослый – Взрослый», или «Профи – Профи».
• Все конструктивное и продуктивное общение идет по линии «Профи – Профи».
• Тренируйтесь в процессе повседневных разговоров определять, чьим голосом говорит собеседник, и подстраивайтесь под него в случае необходимости.
Уверены, скоро вы разовьете навык использования айкиправил до самого высокого уровня, на котором сможете вообще не замечать чужих атак и сразу переводить общение на линию «Взрослый – Взрослый», или «Профи – Профи».
Напоследок напомним, что Ребенок – источник наших творческих сил и эмоций, поэтому заслуживает своей доли внимания. Предлагаем вам составить список из занятий или хобби, которыми вы увлекались в детстве – с друзьями или в одиночестве. Возможно, вы и сейчас мечтаете о каком-то занятии, но не хватает то времени, то сил, то еще чего-то. Подумайте, можно ли к ним вернуться, принесет ли это радость вам и вашему внутреннему Ребенку?
Возможно, среди этих занятий найдется ключ для того, чтобы договориться с ним, повысить уровень удовольствия от жизни, вашего личного счастья и творческой энергии, которая будет двигать все остальные сферы вашей жизни.
Глава 3. Силы внутри и снаружи
Вокруг нас постоянно бушуют внешние силы. И это не обязательно ураган, тайфун или землетрясение: на нас влияют самые разные силы извне. Плохие и хорошие, негативные и позитивные. Не только внезапно испортившаяся погода или глобальный экономический кризис, но и недовольный взгляд соседа в лифте, головная боль у жены, капризы ребенка.
По счастью, на нас действуют и позитивные силы: первое весеннее солнышко после долгой зимы, СМС от друга, по которому соскучился, приятный фильм на вечер или зажигательная песня на радио.
Так вот, обычно люди делят силы на хорошие и плохие, негативные и позитивные. Для нас это просто ярлыки, можем наклеить любой по желанию. Для настоящего айкидоки это просто силы, которые можно и нужно использовать либо не замечать, уходить с линии атаки, согласно второму правилу айкидо.
Маятник для кирёку
Компании пытаются затащить вас на мероприятия, чтобы продать там свой продукт. Телепрограмма пытается научить нас думать, как выгодно владельцу телеканала. Скидки на распродаже пытаются застать вас врасплох и внушить мысль, что вам нужен именно их товар. Это тоже внешние силы пытаются воздействовать на вас, чтобы заставить что-то сделать.
Обычно мы позволяем вовлечь себя в неравноценный энергообмен – и таким образом теряем жизненные силы, чувствуем себя истощенными. Но если не поддаваться внешним воздействиям, можно экономить энергию и эмоции.
И даже самостоятельно выбрать силы, которые наполнят новой, дополнительной энергией наш жизненный путь, помогут развить свои навыки и компетенции. Как этого добиться? Научиться относиться к происходящему нейтрально – не позволять втянуть себя в круговорот чужих, навязанных желаний и эмоций.
У настоящего айкидоки есть центр – кирёку (сила духа).
気力
Мастера считают, что он находится на два сантиметра ниже пупка. Вокруг него и должно все крутиться: все внешние и внутренние силы и обстоятельства.
Психологическое айкидо помогает подняться над любой ситуацией, посмотреть на происходящее как на спектакль, оценить с высоты птичьего полета. Если рассмотреть событие под неожиданным углом, проще увидеть, какие силы задействованы в конкретной ситуации. Как превратить конфликт в конструктор, из которого можно создать все что угодно.
Существует японская мудрость и на этот случай.
У наблюдающего со стороны – восемь глаз.
Когда вы последний раз ссорились? Как это было? Что послужило причиной? Вас вывел из себя медлительный сотрудник? Девушка выкинула любимые носки? Таксист поехал долгой дорогой и вы опоздали на встречу? Сорвался контракт из-за непонимания с партнером? Кто в этот момент был ведомым, а кто лидировал – вел за собой?
Что за внешняя сила вмешалась и начала управлять вами?
Не спешите читать следующий абзац, остановитесь и задумайтесь. Прокрутите сценарий последнего конфликта, вспомните, кто и что говорил, как вы себя чувствовали. Действительно ли причина ссоры была стоящей? Вы осознанно вели себя или поддались на провокацию, сиюминутный гнев, манипуляции? Ссора управляла вами или вы управляли ссорой? Я знаю, это сложный момент и не всегда хочется вспоминать негатив. Но такая мыслительная работа покажет, как можно было действовать по-другому, а значит, в следующий раз вы сможете сохранить эмоциональный баланс, вспомнить про кирёку и не поддаться внешним силам, какими бы мощными они ни казались.
Фитнес. Сила или навык?
Как мы уже упоминали, в современных компьютерах все меньшее значение имеет размер жесткого диска: на первый план выходит оперативная память, скорость подключения к сторонним ресурсам. В жизни точно так же: размер хранящихся знаний и физическая сила мышц значат все меньше, большее значение приобретает навык или техника, практическое умение найти информацию, разобраться и применить ее.
Помните фильм «Матрица» (The Matrix, 1999, режиссеры братья Вачовски)? В нем Морфеус за короткий срок загрузил в подсознание Нео огромный практический опыт ведения боя самым разным оружием, не меняя при этом размера мышц героя. В наше время постоянных перемен мы должны научиться быть Морфеусом: загружать в себя то, что нам нужно здесь и сейчас, и быть готовыми к изменениям.
Для этого не забываем про первое правило айкидо (не бояться падать). Оно означает пробовать новое, не бояться ошибиться, любить свои ошибки и относиться к ним как к части вашей истории. Конечно, они будут. Как там говорится? «Слава моим неудачам, я обязан им всем, что знаю. Долой страх!»
В айкидо большое значение придается поиску и развитию баланса. Постигая премудрости айкидо, новички много упражняются с деревянным мечом – боккеном – или деревянной палкой – дзё. Такие практики позволяют найти центр и развить баланс, необходимый для повышения уровня и качества применения последующих приемов.
Как же быть людям, никогда не бывавшим в додзё (напомню, так называется зал восточных единоборств)?
Есть миллион способов практиковать баланс, готовить мозг и тело к новому, к изменениям, к использованию их в своих целях. И в этом длинном списке, как бы удивительно это ни звучало, нет тренажерного зала. Намного эффективнее для обретения баланса будут катание на велосипеде, скандинавская ходьба, лыжи, сноуборд, йога, танцы, каякинг, кайтинг, уроки на баланс-борде, жонглирование и, не удивляйтесь, каллиграфия.
Сила и уверенность обязательно придет к нам потом, сначала важно быть слабым, чтобы быстрее освоить технику. А вот потом можно добавлять упражнения на силу и выносливость.
Упражнения и навыки, развивающие баланс, помогут нам сохранить спокойствие и принимать правильные решения во всех областях нашей жизни, в том числе на работе. Подумайте, как применить принципы айкидо в фитнесе, отношениях, путешествиях, бизнесе: некоторые сферы мы детально с вами рассмотрим и проанализируем в этой книге, но большая часть (по правилам айкидо) останется для вашего личного изучения.
Танец воздушного шарика
Суть айкидо зашифрована в самом названии этого искусства: гармония + энергия + путь (ай-ки-до) – давайте будем вспоминать об этом как можно чаще! Правильно взаимодействуя с энергией противника, стремясь превратить любой поединок в гармонию, можно прийти туда, куда тебе нужно.
Айкидо со стороны выглядит как танец. Он очень не похож на бокс и прямое столкновение. Словесное айкидо подразумевает, что ваши ответы изящны и красивы. Тонкий юмор в нужный момент – тоже часть этого искусства, часть айкидо.
Все дело в навыке уходить с линии атаки и умении воспользоваться внешней силой. Это может быть сила конкурента, партнера, покупателя, семьи, плохого настроения, непогоды, отсутствия денег, краха экономики, разрушения логистических цепочек и т. д.
Внешние силы могут быть любыми, и они могут (и будут) давить на тебя по-разному: легко или сильно, долго, коротко, постоянно и с перерывами. Но человек, который владеет правилами айкидо, поступает как воздушный шарик и продолжает свой полет, несмотря ни на что. Он чувствует, каких сил надо избегать, а какие – использовать.
Если на тебя давят, но ты будешь гибким, то уступишь и прогнешься в одном месте, чтобы взять свое в другом.
Сильный и могучий ветер может играть с маленьким шариком как угодно. Он в силах забросить его далеко от дома, направить в опасные места, загнать в угол и сделать все, чтобы он надолго зацепился за провода. Но шарик обладает внутренней гармонией и волей, он знает, что сила ветра сможет помочь ему добраться туда, куда шарику надо. Даже если он надолго застрянет где-нибудь в одном месте, можно как следует осмотреться, узнать много нового и увидеть возможность там, где другие ее просто не заметят.
Я люблю представлять этот шарик красным, возможно, вы захотите позаимствовать этот визуальный образ и вспомните про него в момент, когда снова столкнетесь с какими-то силами. Кстати, они могут быть как внешними, так и внутренними: например, сила ваших страхов или эмоций. Все эти силы тоже давят на вас, но вы наверняка уже уловили главную мысль и поняли, как с ними поступать.
Вы помните одно из главных правил айкидо? Воспользуйся силой противника.
Легко сказать, но как это сделать? Один из замечательных российских рок-музыкантов, Борис Гребенщиков (признан иноагентом), несколько лет назад дал очередное интервью прессе, в котором говорил о конфликтах на нашей планете и его личных эмоциях в связи с ними. Музыкант изрек мудрость, которую я предложил бы запомнить начинающему айкидоке.
Нельзя давать ненависти пропадать.
Он говорил это в очень широком контексте – любая сильная эмоция, в том числе ненависть, – это сила, которой можно воспользоваться. Она может стать разрушительной, если оставить ее без контроля, а может стать созидательной и принести пользу: например, заставить кого-то заняться здоровьем, сменить работу, найти дело жизни или послужить вдохновением для новых песен, которые принесут облегчение и помощь людям по всему миру.
Представьте, что сильная эмоция (как со знаком плюс, так и со знаком минус) – это вода в шланге. Мощная струя может облить всех вокруг, вырвать шланг из ваших рук, окатить с ног до головы или заставить шланг крутиться на земле, хаотично разбрызгивая воду.
Придется постараться, чтобы поймать его и взять ситуацию под контроль. Но если крепко держать шланг с самого начала и направить поток воды осознанно, можно помыть машину или полить яблоню, которая отблагодарит вас сочными плодами.
Российский теннисист Даниил Медведев не один раз в своей карьере использовал силу ненависти. На одном из турниров (дело было в 2019 году) большая часть зрителей была настроена против него. Трибуны освистывали спортсмена, хейтеры пытались задеть его, но он не сдавался и искренне говорил, что свист хейтеров помогает ему побеждать. Сила ненависти дала ему добраться до финала, и своей великолепной игрой он превратил хейтеров в фанатов.
Чтобы окончательно закрепить эту мысль, предлагаю вспомнить прекрасное советское кино «Кавказская пленница, или Новые приключения Шурика». Помните, как говорит дядя Нины в один из моментов? «Тот, кто нам мешает, – тот нам и поможет!»
Мой любимый пример, хорошо иллюстрирующий эту мысль, знают, наверное, все, кто был студентом. Я говорю про силу дедлайна. Дедлайн давит на нас и заставляет испытывать стресс, но вместе с тем он дисциплинирует и помогает расставлять приоритеты, вынуждает заняться конкретным делом и довести его до конца.
Мы уже сказали про одного музыканта, теперь вспомним опыт другого. Возможно, вы не знали, но американский вокалист Игги Поп, как и многие люди на планете, не любит брокколи. Он не любит ее так сильно, что энергия этой ненависти вдохновляет его на покорение все новых и новых высот.
В его концертном райдере часто указано, что в гримерке должна стоять миска с соцветиями брокколи – только для того, чтобы перед выходом на сцену Игги мог взять их и выкинуть к чертям в помойку. Иногда, когда ему нужен дополнительный стимул, он вешает головку брокколи себе на шею.
Все выглядит как очередная экстравагантная причуда из тех, что любит приписывать звездам бульварная пресса. Но это совершенно серьезная история о том, как правила айкидо творят чудеса, даже если ими пользуются не вполне осознанно.
Вы до сих пор сомневаетесь в особой эмоциональной связи певца и брокколи? Поищите фото звезды в интернете и убедитесь, что на груди у Игги болтается соцветие ни в чем не повинной капусты. В таком поведении точно есть элемент айкидо: музыкант пользуется энергией противника – собственной фобии – и оборачивает ее в свою пользу, черпает силы, чтобы делать то, что нравится и ему самому, и миллионам его фанатов по всему миру.
Лично я терпеть не могу черную смородину. Но если ставлю тарелку с этими ягодами на рабочий стол, чувствую, как внутри меня зарождаются эмоции, подобные злости: сила, которой можно управлять.
Действительно, то, что нам мешает, – то нам и поможет! Подробнее мы поговорим об этом парадоксе в главе про инструменты айкидоки, в частности, когда будем рассматривать ТРИЗ – теорию решения изобретательских задач.
Какие бывают силы
Итак, где мы бы ни находились, на нас всегда – и зачастую одновременно – действуют самые разные силы: как внешние, так и внутренние. Давайте на примерах разберем некоторые из них, чтобы увидеть, что они могут делать с нами и что мы можем делать, если научимся пользоваться этими силами. Начнем с главного – с любви.
Сила любви и страсти
С силой любви и секса сталкивался каждый из нас. Они обладают большим весом и способны увлечь за собой и заставить творить безрассудства даже самого уравновешенного прагматика на свете. Вся мировая литература и театр строятся на этом сюжете: герой попадает под влияние силы любви и, движимый ею, преодолевает различные препятствия и тяготы жизни. Или, наоборот, старается из последних сил сопротивляться всепобеждающей силе любви.
Сила любви может быть и разрушительной, и созидательной. Давайте вспомним классику мировой литературы. В трагедии Уильяма Шекспира «Ромео и Джульетта» любовь привела и к смерти возлюбленных, и к примирению враждующих семей. В романе «Анна Каренина» Льва Толстого страсть и новая любовь становятся причиной измены, общественного осуждения и даже самоубийства. Любовь – это мощная сила. Вот и Татьяна Ларина из романа «Евгений Онегин» Александра Пушкина чувствует, что невыраженная любовь разъедает ее изнутри, поэтому признается в своих чувствах.
Безответная любовь способна ранить, обоюдная симпатия – окрылять. Врачи давно говорят, что влюбленность влияет на физическое и психологическое здоровье: на наше самочувствие, настроение, критическое мышление и способность поступать рационально. Вместе с тем в состоянии влюбленности организм вырабатывает определенные гормоны, которые позволяют нам не спать ночами и не уставать, не замечать неурядицы, меньше тревожиться.
Зная о том, какие изменения влечет за собой сила любви, и понимая, как возникают и развиваются такие чувства, можно осознанно влюбить человека в себя. Или, наоборот, намеренно разлюбить кого-то и разочароваться в нем.
У японцев есть свой термин для искусства обольщения – дзёдзюцу. Им в совершенстве владели куртизанки, а гейши использовали эту науку, чтобы расположить гостя к себе. Если бы существовал универсальный алгоритм влюбления, его, наверное, можно было бы описать примерно так.
Обратите на себя внимание нужного человека, позаботьтесь о том, чтобы представить себя в наиболее выгодном свете и ситуации.
Дайте ему возможность проявить себя и не забудьте восхититься теми его чертами, которыми он гордится сам. Это могут быть чувство юмора, стиля, быстрый ум, находчивость, сила или, например, фигура.
Соберите как можно больше сведений о том, чем живет и увлекается этот человек, и покажите ему, как много вас связывает (даже если это не так). Задача этого этапа – создать ощущение, что сама судьба подталкивает вас друг к другу, вам обязательно стоит познакомиться поближе. Как удивительно, вы оба любите фильмы Тарантино! Ничего себе, вы идете на один и тот же концерт ДДТ! Как здорово, что вы оба обожаете утренние пробежки и конный спорт.
Далее, когда у вас появились общие темы для разговора и, может быть, даже совместные хобби, стоит подстроить несколько околоромантических ситуаций. Цель проста: такой контекст встречи непроизвольно вызывает определенные мысли и эмоции. В результате становится ясно, что знакомство может перейти в нечто большее, ведь вы не бесплотные ангелы, а живые, настоящие и страстные люди (которых к тому же друг другу в объятия толкает сама судьба).
Затем стоит провести несколько свиданий и устроить внезапное расставание из-за каких-то непреодолимых трудностей. Подогреть интерес к собственной персоне, заставить «объект» скучать, а затем снова устроить встречу – на этот раз такую долгожданную. В общем, запустить эмоциональные качели, которые призваны показать человеку, как много вы для него стали значить. Дело почти сделано: дальше огонек любопытства – разумеется, в опытных руках – как будто сам собой перерастает в огонь любви и страсти.
Не призываю использовать описанную выше инструкцию для соблазнения, однако этот алгоритм (разумеется, с некоторыми поправками) вполне можно использовать для того, чтобы завязать дружеские отношения с тем, кто вам интересен. А первые несколько шагов (представить себя в выгодном свете, отметить сильную черту партнера, найти общие темы и занятия) подойдут даже для того, чтобы укрепить бизнес-знакомство.
Профессионалы используют такие навыки для эффективного нетворкинга: знакомятся с теми, кто им нужен, запоминаются и в итоге создают прочные связи, которые приносят обоюдную пользу.
Внимание! Это не конец книги.
Если начало книги вам понравилось, то полную версию можно приобрести у нашего партнёра - распространителя легального контента. Поддержите автора!