Читать книгу "Социально-экономическое неравенство населения региона"
Автор книги: Людмила Костылева
Жанр: Социология, Наука и Образование
Возрастные ограничения: 12+
сообщить о неприемлемом содержимом
Первая группа факторов является стандартной и унифицированной для разных стран на разных этапах развития, а вторая отличается своеобразием при сравнении одной страны с другой, а внутри страны – при переходе от одного этапа развития к другому.
Таким образом, можно сделать вывод о существовании экономически эффективного и социально допустимого уровня дифференциации доходов населения. Превышение этого уровня следует устранять. Доля каждого фактора в общем уровне дифференциации доходов населения не одинакова. Однако на сегодняшний день отсутствует единая методика количественного измерения конкретной доли каждого фактора. Для этой цели возможно использование корреляционно-регрессионного метода, что будет показано в дальнейшем.
1.2. Методы измерения экономической дифференциации населения
Главными критериями расслоения общества с рыночным хозяйством служат величина дохода и размер наличного имущества[12]12
Курс социально-экономической статистики: Учебник для вузов / Под ред. проф. М.Г. Назарова. – М: Финстатинформ, 2002. – 976 с.
[Закрыть], поэтому в основе статистики социального расслоения лежат статистические ряды, характеризующие распределение домохозяйств (населения) по уровню доходов и представляющие собой данные статистики бюджетов домохозяйств, ранжированных исходя из уровня их доходов.
Выделение однородных подвидов домохозяйств по различным критериям (размер и тип домохозяйства, уровень доходов и потребления и др.) является основной задачей, которую решают при анализе социального расслоения. Обычно степень социальной дифференциации населения определяется как разница в показателях доходов в расчете на члена домохозяйства или домохозяйство в целом. Различия в оценках степени расслоения, получаемых в зависимости от этого, обусловлены различиями в размерах домохозяйств с разным уровнем дохода. Оценки дифференциации домохозяйств по душевым доходам важны в связи с тем, что общие потребности семьи, естественно, растут с увеличением ее размера, но не пропорционально ему из-за относительной экономии.
Распределение домохозяйств (населения) по размеру среднего на домохозяйство (душу) дохода является главной характеризуемой особенностью дифференциации населения по уровню материального благосостояния.
В 30-е гг. XX в. французский экономист Р. Жибра доказал, что распределение семей и их членов по доходу имеет правостороннюю асимметрию и выравнивается по логарифмическому нормальному распределению. Логарифмическое нормальное (логнормальное) распределение – это распределение случайной величины (х), логарифм которой (lnx) подчинен нормальному закону распределения. При малой дисперсии логнормальное распределение близко к нормальному. Логнормальное распределение определяется двумя параметрами: средним логарифмом доходов (lnXo) и средним квадратическим отклонением логарифмов доходов (σ) (рис. 1.2). Функция логнормального распределения рассчитывается по формуле:

Рисунок 1.2. Логнормальное распределение

Распределение домохозяйств (населения) по уровню дохода позволяет рассчитывать децильные (разбивающие всю совокупность на 10 интервалов по 10 % единиц наблюдения в каждом интервале) и квинтильные (на пять интервалов по 20 % единиц) интервалы и интервалы с заданными (фиксированными) границами уровней дохода и численности населения и домохозяйств в них. Для различных потребностей анализа возможно исследовать совокупность домохозяйств, ранжированную по уровню среднего на домохозяйство дохода и среднедушевого дохода, или исследовать совокупность членов домохозяйств, ранжированную по уровню среднедушевого дохода или по уровню дохода на домохозяйство.
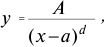
При экономическом анализе характера распределения доходов в обществе широко используется распределение В. Парето, которое показывает распределение доходов населения между его группами в зависимости от их величины (рис. 1.3). На оси Х показаны доходы, а на оси Y – число домохозяйств или лиц, имеющих доход равный или больше определенной границы (а). В. Парето эмпирическим путем получил гиперболы, описываемые формулой:

где: а – минимальный доход; А и d — положительные параметры.
Рисунок 1.3. Распределение В. Парето

Социально-экономическую дифференциацию измеряют не только через оценки количества домохозяйств (населения) в группах с разным уровнем доходов. Оцениваются и другие параметры домохозяйств (населения) с разным уровнем материального благосостояния: тип и размер домохозяйства, характеристики его членов (пол, возраст, занятость), структура и объем доходов и расходов, уровень потребления продуктов питания и др. Эти показатели рассчитываются на домохозяйство или на душу по децильным, квинтильным интервалам и интервалам с фиксированными границами уровня доходов.
Для характеристики степени расслоения часто пользуются показателем превышения доходов 10 % населения, имеющего самые высокие доходы, и 10 % населения с самыми низкими доходами. Этот показатель, называемый коэффициентом фондов (Kf), представляет собой отношение средних значений признака в границах верхнего и нижнего децилей:

где S10 – суммарный доход, который приходится на 10 % населения с самыми высокими доходами; S1 – суммарный доход, который приходится на 10 % населения с самыми низкими доходами.
Коэффициент фондов, рассчитанный по данным ряда распределения домохозяйств (населения) по уровню среднего на домохозяйство (на члена домохозяйства) дохода, показывает, во сколько раз среднедушевой доход 10 % наиболее высокодоходного населения (домохозяйств) больше, чем доход 10 % населения (домохозяйств) с наименьшими доходами. Помимо того, что сопоставляются доходы этих групп домохозяйств, оценивается разница в уровнях душевого потребления продуктов питания, непродовольственных товаров и услуг, в объеме и структуре доходов и расходов, среднем размере домохозяйств, их составе и других показателях. В этом случае коэффициент фондов показывает, как отличается в среднем уровень потребления, расходов и т. п. у 10 % самого богатого населения от соответствующих показателей у 10 % самых бедных.
В качестве одного из показателей степени дифференциации населения по уровню доходов в социально-экономической статистике используется индекс концентрации доходов, или коэффициент
Джини (КL), отражающий характер распределения всей суммы доходов населения между отдельными его группами. Его величина изменяется от 0 до 1. При равномерном распределении доходов коэффициент принимает значение 0. Чем ближе значение показателя расположено к 1, тем более неравномерно распределены доходы в обществе. Для расчета описанного коэффициента применяется формула:

где (Fi – Fi-1) – доля населения, относящаяся к i-му интервалу; Si-1, Si – доля суммарного дохода, приходящаяся на начало и конец i-го интервала.
Расчет коэффициента Джини производится на основании данных о распределении домохозяйств (населения) по уровню среднего на домохозяйство (члена домохозяйства) дохода. После того как вся совокупность получателей доходов будет поделена на 5 равных квинтильных групп, определяется, какой долей дохода владеет каждая группа домохозяйств (населения). По полученным накопленным итогам строится кривая Лоренца, которая представляет собой графическое изображение уровня концентрации явления. Для изображения кривой Лоренца на осях координат с процентной шкалой от 0 до 100 откладываются кумулятивные (накопленные) итоги распределения: на горизонтальной оси – квинтили получателей доходов, на вертикальной – квинтили полученных доходов. Кривая Лоренца строится путем соединения точек, соответствующих кумулятивным процентным долям доходов, полученных квинтильными группами населения (рис. 1.4).
Если бы доходы распределялись равномерно, то есть 10 % получателей имели бы десятую часть доходов, 50 % – половину и т. д., то такое распределение имело бы вид линии равномерного распределения (диагональ квадрата со сторонами от 0 до 100 %). При неравномерном распределении «линия концентрации» представляет собой выпуклую вниз кривую. Чем дальше кривая Лоренца отстоит от прямой линии равномерного распределения, тем больше дифференциация.
Рисунок 1.4. Кривая Лоренца

Коэффициент Джини рассчитывается как отношение площади сегмента, образуемого кривой Лоренца и линией равномерного распределения, к площади треугольника ниже линии равномерного распределения.
Коэффициент Джини рассчитывается для изучения характера изменений в распределении доходов общества, а также для межрегиональных и международных сравнений уровня концентрации доходов.
Экономическое неравенство можно рассматривать как своего рода барометр состояния экономики, измеряющий давление внутренних сил, под воздействием которых экономика растет или, напротив, переходит к этапу стагнации или упадка.
По данным ООН, в 2004 г. коэффициент Джини имел следующие значения по группам стран с разным уровнем развития человеческого потенциала[13]13
Социальное неравенство и публичная политика: доклад Фонда Горбачева [Электронный ресурс]. – Режим доступа: www.gorby.ru/rubrs.asp?art_id=25554&rubr_id=632&page=1
[Закрыть] (табл. 1.1).
Таблица 1.1. Значения коэффициента Джини в странах мира, 2004 г.

К первой группе относятся в основном страны, входящие в Организацию экономического сотрудничества и развития (ОЭСР), с современной рыночной экономикой, демократическими институтами и гражданским обществом. Однако и между этими странами есть различия. Коэффициент Джини находится на относительно низком уровне (от 0,25 до 0,30) в небольших процветающих европейских государствах (например, Швеция, Норвегия, Бельгия, Финляндия), а также в Германии и Японии. Более высокая неравномерность доходов (коэффициент доходов от 0,30 и выше) характерна, например, для Франции, Великобритании, Италии, Испании, Канады и Австралии.
Наибольшая среди стран ОЭСР неравномерность распределения доходов наблюдается в США – 0,41, что является следствием глубокого разрыва в доходах негров и выходцев из Латинской Америки, с одной стороны, и самой богатой верхушки населения – с другой. Эти различия подтверждаются и межстрановым сопоставлением децильных коэффициентов фондов: в Норвегии – 6,1, Швеции – 6,2, Германии – 6,9, Нидерландах – 9,2, Великобритании – 13,8, США – 15,9.
В развивающихся странах, отнесенных ко второй и третьей группам, значительно более высокие показатели неравенства доходов: от 0,50 (Венесуэла, Перу) до 0,70 (Бразилия, Колумбия, Парагвай). Это обусловлено не только их относительно низким экономическим уровнем, но и спецификой распределительных отношений и политического строя – власть, финансы и другие ресурсы сконцентрированы в руках небольшого слоя населения.
Социальное неравенство было и остается проблемой даже для самых продвинутых стран ОЭСР: в них устойчиво воспроизводятся целые слои населения, которые не имея материального достатка лишены доступа к «индустрии знаний», открывающей путь к современному квалифицированному труду. Часть из них опускается на социальное дно, превращаясь в прослойку иждивенцев, отторгающих трудовую деятельность и живущих на пособия. Существенным фактором углубления социального неравенства в зоне «золотого миллиарда» стали иммиграционные потоки из стран Африки, Азии и Латинской Америки.
Коэффициент фондов и коэффициент Джини оценивают только один показатель общего неравенства, рост которого может быть обусловлен изменениями в распределении доходов, имеющими принципиально различные экономические интерпретации. Это такие изменения, как:
1) дополнительное обогащение богатых – самые высокие доходы возрастают, а доходы мало– и среднеобеспеченной части населения существенно не изменяются;
2) нарастание бедности – низкие доходы снижаются, а доходы средне– и высокообеспеченных слоев населения существенно не изменяются;
3) поляризация доходов в средней части спектра доходов – самые высокие и самые низкие доходы существенно не изменяются, но доходы ниже медианного значения понижаются, а выше его – возрастают;
4) смещение медианного значения вверх или вниз с соответствующим сжатием спектра доходов выше или ниже медианы и растяжением противоположной части спектра доходов[14]14
Шевяков А.Ю., Кирута А.Я. Измерение экономического неравенства. – М.: Лето, 2002. – 320 с.
[Закрыть].
При проведении экономических реформ, в начальных стадиях экономического роста, изменение доходов различных слоев населения происходит под воздействием разнородных факторов и часто имеет разную направленность. Именно поэтому анализ изменений общего неравенства во многих случаях приводит к противоречивому результату.
Ключом к решению этой проблемы является подразделение общего неравенства на нормальное неравенство, характеризующее распределение доходов среди слоев населения, активно вовлеченных в экономические процессы, и избыточное неравенство, обусловленное низкими доходами тех слоев населения, которые не оказывают существенного влияния на макроэкономические изменения (по крайней мере, в кратковременном аспекте). Это бедные или просто малообеспеченные слои населения, которые живут за счет социальных трансфертов и домашнего производства либо заняты в секторах экономики, находящихся в депрессии или зависящих от государственного финансирования, которое в сложившихся условиях оказывается недостаточным. Избыточное неравенство интерпретируется как превышение общего неравенства над нормальным, обусловленное совокупностью подобных факторов. То есть оно отражает неспособность общества в равной степени использовать экономический потенциал всех трудоспособных групп населения и обеспечивать приемлемый уровень жизни группам населения, нуждающимся в социальной поддержке. Нормальное неравенство связано с процессами в экономике непосредственно, тогда как избыточное неравенство – лишь косвенно, поскольку зависит от толерантности общества к бедности и институциональных условий. Таким образом, в отличие от показателя общего неравенства, показатели нормального и избыточного неравенства чувствительны к направлениям, в которых изменяется распределение доходов.
Нормальное и избыточное неравенство определяются с помощью официальной границы бедности – величины прожиточного минимума, которая ежеквартально рассчитывается Росстатом для каждого региона России. Нормальное неравенство – это то неравенство, которое наблюдалось бы в случае, если доходы всех бедных были бы повышены до величины прожиточного минимума. Избыточное неравенство может быть определено разными способами:
• как разность между общим и нормальным неравенством;
• как отношение этой разности к величине нормального неравенства;
• как доля этой разности в общем неравенстве.
Нормальное неравенство – это часть общего неравенства, соответствующая неравенству без бедности, а избыточное неравенство – это часть общего неравенства, обусловленная бедностью.
Нормальное неравенство не только допустимо, но и желательно, социально оправданно: оно генерирует мощные стимулы экономической динамики и в то же время не подрывает социальной и политической устойчивости общества. Избыточное же неравенство тормозит экономический рост и создает угрозу социально-политической стабильности[15]15
Социальное неравенство и публичная политика: доклад Фонда Горбачева [Электронный ресурс]. – Режим доступа: www.gorby.ru/rubrs.asp?art_id=25554&rubr_id=632&page=1
[Закрыть].
Избыточное социально-экономическое неравенство драматически воздействует на социально-психологическое состояние общества, воспроизводство населения и человеческого капитала, увеличивает смертность в трудоспособном возрасте и снижает рождаемость и продолжительность жизни. Избыточное неравенство в России создает проблему неравенства здоровья, питает агрессивную общественную среду и стрессовое состояние общества в целом[16]16
Шевяков А.Ю. Экономическое неравенство и социально-экономическое развитие России [Электронный ресурс] // Золотой лев. – 2005. – № 67–68. – Режим доступа: www.zlev.ru
[Закрыть].
Контрольные вопросы
1. Какие компоненты неравенства выделяют исследователи? Какой фактор при этом считается определяющим?
2. Назовите основные признаки, определяющие социальное положение индивидуума.
3. Какие группы факторов влияют на дифференциацию доходов в обществе? Перечислите состав каждой группы.
4. Роль каких факторов, влияющих на социальное неравенство, усиливается в период переходной экономики?
5. Назовите основные методы измерения экономической дифференциации населения.
6. Как определяется и что отражает коэффициент фондов по доходам?
7. В каких пределах может изменяться значение коэффициента Джини?
8. Как строится и что показывает изображение кривой Лоренца?
9. Как распределяются по размеру коэффициента Джини страны мира?
10. В чем состоит различие нормального и избыточного неравенства? Каково воздействие того или иного вида неравенства на социально-экономическое развитие общества?
Глава 2
Анализ дифференциации населения России по уровню материального благосостояния
2.1. Характеристика масштабов дифференциации населения
Интенсивно формировавшаяся в 90-е годы прошлого века рыночная среда обусловливала развитие избыточной территориальной дифференциации экономических и социальных показателей, нарастание их поляризации. Между тем, как известно, межрегиональная дифференциация может привести к неконтролируемым дезинтеграционным процессам, разрушению государства. Для разработки и осуществления действенной социально-экономической политики, направленной на нивелирование дифференциации доходов населения страны, в настоящее время представляется особо актуальной оценка размеров данного явления.
Межрегиональная дифференциация заключается в различиях между территориальными образованиями по показателям уровня жизни населения – в первую очередь по уровню дохода, а также уровню потребления, обеспеченности жильем, имуществом, наличию сбережений, структуре расходов и др.
Разрыв в показателях между различными регионами Российской Федерации в 2006 году составлял от 2 до 10 раз (табл. 2.1). Наибольший размах вариации наблюдается в среднедушевых денежных доходах: если в Москве среднемесячный доход на 1 жителя составлял почти 30 тыс. руб., то в Республике Ингушетия – лишь 3 тыс. руб.
В то время как Вологодская область занимает средние позиции (прил. 1–3). В динамике за период с 2000 по 2006 г. разрыв между регионами страны значительно сократился: по уровню доходов – с 17 до 6 раз, по количеству легковых автомобилей в собственности у населения – с 15 до 7, по уровню заработной платы – с 6 до 4, по размеру пенсий – с 3 до 2 раз. Несколько увеличилась за исследуемый период дифференциация регионов по удельному весу расходов населения на покупку продуктов питания – с 2 до 2,7 раза.
Таблица 2.1. Показатели уровня жизни в Российской Федерации, 2006 г.

Рисунок 2.1. Взаимосвязь среднедушевых денежных доходов и коэффициента фондов

В процессе исследования показателей в разрезе регионов Российской Федерации нами была обнаружена взаимосвязь между уровнем дохода и степенью дифференциации населения (рис. 2.1). Связь между этими показателями следует считать прямой сильной (R=0,77), то есть с увеличением дохода населения усиливается его дифференциация.
Взаимосвязь между уровнем среднедушевых денежных доходов (х) и коэффициентом фондов (Y) описывается с помощью следующего уравнения регрессии:

Судя по характеристикам приведенного уравнения, вариация коэффициента фондов по регионам России на 59 % обусловлена вариацией уровня дохода населения.
Для Российской Федерации на данном этапе, как отмечается многими исследователями, характерна не только высокая степень дифференциации населения по уровню дохода, но и ее постоянное углубление. Эта тенденция наблюдается и в целом по стране, и в ее регионах.
Среди регионов СЗФО наибольший разрыв в доходах верхней и нижней децильных групп наблюдается в г. Санкт-Петербурге и Республике Коми: значение коэффициента фондов в этих субъектах превышает 17 единиц (рис. 2.2). Впрочем, даже самый низкий показатель по региону, принадлежащий Республике Карелия и Псковской области, перекрывает планку в 10 единиц. Очевидно, что по сравнению с 2002 г. происходит увеличение коэффициентов в каждом регионе СЗФО (табл. 2.2). Наибольшее увеличение характерно для г. Санкт-Петербурга (с 8,8 раза в 2002 г. до 17,2 раза в 2006 г.).
Как было отмечено выше, степень дифференциации населения можно оценивать не только по уровню доходов, но и по показателям материального благосостояния.
На основе показателей 2002–2006 гг. при использовании многомерных инструментов нами была проведена рейтинговая оценка регионов СЗФО по показателям уровня жизни.
Рисунок 2.2. Рейтинг регионов СЗФО по значению коэффициента фондов, 2002 и 2006 гг.

Таблица 2.2. Изменение некоторых социально-экономических показателей в регионах СЗФО, 2000–2006 гг. *

При построении рейтинга использовались следующие индикаторы:
1. Скорректированные среднедушевые денежные доходы населения, руб.
2. Скорректированная среднемесячная номинальная начисленная заработная плата работников организаций, руб.
3. Скорректированный средний размер назначенных пенсий, руб. 4. Удельный вес расходов на покупку продуктов питания, %.
5. Количество собственных легковых автомобилей на 1000 человек населения, ед.
6. Общая площадь жилых помещений, приходящаяся в среднем на одного жителя, кв. м (с учетом благоустройства).
Все перечисленные показатели были сверены с помощью многомерных статистических методов в один, интегральный, показатель, по которому построен рейтинг регионов (табл. 2.3).
Рейтинг регионов СЗФО по выбранным показателям был очень стабилен в период с 2002 по 2006 г.: незначительные перемещения характерны лишь для республик Коми и Карелия и Архангельской области. Вологодская область на протяжении исследуемых лет занимала седьмую позицию. Почему так происходило, поясняют данные таблицы 2.4.
По всем шести показателям Вологодская область значительно уступает и эталонным, и средним по региону значениям. Особенно сильно – по уровню среднедушевого денежного дохода. В то же время низким уровнем дохода обусловлены относительно низкие показатели коэффициента фондов.
Среди регионов Российской Федерации Вологодская область занимает средние позиции (табл. 2.5).
Таблица 2.3. Рейтинг регионов СЗФО по показателям уровня жизни, 2002–2006 гг.

Таблица 2.4. Показатели уровня жизни населения регионов СЗФО, 2006 г.

При оценке межрегиональной дифференциации могут быть использованы не только статистические, но и социологические данные. С 2005 года Институтом социально-экономического развития территорий РАН регулярно проводится социологический опрос населения регионов Северо-Запада. В анкету включен вопрос об оценке населением собственных доходов (табл. 2.6).
Эти оценки различаются в зависимости от региона, однако, как выявлено, доход примерно половины населения Северо-Запада обеспечивает лишь потребность в необходимых продуктах. Следующая по значимости часть населения (от четверти до трети в зависимости от региона) может приобрести на свои доходы только продукты питания, причем до 7 % населения не имеет возможности обеспечить потребность в пище.
Таблица 2.5. Вологодская область среди регионов России и СЗФО по показателям уровня жизни, 2006 г.

Таблица 2.6. Оценка населением регионов СЗФО собственных доходов (в % от числа ответивших, среднее за 2005–2008 гг.)

Только 12–25 % населения имеет такой уровень дохода, чтобы ни в чем или почти ни в чем себе не отказывать, однако в динамике за 2005–2008 гг. доля таких людей увеличивается.
Население оценивает собственные доходы с помощью пятибалльной системы (вариант «Денег вполне достаточно, чтобы ни в чем себе не отказывать» – 5 баллов, вариант «Денег не хватает даже на приобретение продуктов питания, приходится влезать в долги» – 1 балл). Анализ оценок показывает, что в разрезе регионов они колеблются от 2,62 до 2,91 балла (табл. 2.7), а в среднем жители СЗФО оценили свои доходы в 2,75 балла. Полученные оценки в основном соответствуют уровню доходов: население в регионах с более низким уровнем доходов оценивает свои доходы ниже, чем в регионах с высоким уровнем доходов. Вологодская область занимает в этом рейтинге восьмое место из десяти возможных.
Таким образом, в Российской Федерации наблюдается значительное расслоение населения по показателям материального благосостояния, причиной чего является чрезмерная дифференциация доходов.
Таблица 2.7. Рейтинг регионов СЗФО по оценке населением собственных доходов, 2005–2008 гг.

В настоящее время в большинстве случаев социально-экономическая дифференциация рассматривается как неравенство уровней благосостояния[17]17
Шевяков А.Ю. Экономический рост и неравенство // Общество и экономика. – 2004. – № 2. – С. 56–57.
[Закрыть]. Наиважнейшей категорией, определяющей уровень благосостояния населения, является доход. Денежные доходы в основном определяют уровень жизни людей, мотивацию трудовой и деловой активности, от них зависит социальное самочувствие населения.
В период с 1995 по 2007 г. показатели дохода населения и его главной составляющей – заработной платы – значительно изменились и в стране, и в Вологодской области. Причем следует отметить, что темпы изменения показателей в области несколько ниже общероссийских. Но все же в 1995–2007 гг. в регионе произошло значительное увеличение главных индикаторов уровня жизни в сопоставимой оценке: заработной платы – в 2,9 раза, среднедушевых денежных доходов населения – в 2,6 раза (табл. 2.8).
Повышение реальных денежных доходов сопровождалось быстрым усилением дифференциации населения. Результаты социологических опросов, проведенных в 2007–2008 гг., позволяют рассмотреть степень неравномерности распределения доходов по пяти группам населения и ее изменение в течение двух лет (табл. 2.9).
Таблица 2.8. Показатели доходов населения Вологодской области и России, 1995–2007 гг.

Таблица 2.9. Изменение среднедушевых денежных доходов населения Вологодской области в разрезе социально-экономических групп, 2007–2008 гг.

Среднедушевой доход в верхней группе населения более чем в три раза превышает прожиточный минимум, в то время как средний доход нижней группы составляет немногим более половины прожиточного минимума, второй и третьей группы – около величины прожиточного минимума. Следовательно, можно сказать, что 60 % населения области находится на грани выживания. В динамике соотношения дохода и прожиточного минимума изменяются, но положительным образом (в сторону увеличения) – лишь в крайних группах. За последний год доходы населения в целом увеличились в сопоставимой оценке на 11 %, а более всего – в верхней группе (18 %).
Распределение денежного дохода по пяти равным группам населения также характеризуется неравномерностью (табл. 2.10). Статистические показатели и данные социологического опроса несколько отличаются друг от друга, что объясняется различиями в методиках сбора первичной информации. Однако и те и другие свидетельствуют о крайне неравномерном распределении дохода в обществе: 1/5 населения принадлежит около 45 % общего объема денежных доходов, тогда как оставшиеся 55 % распределяются между 80 % населения региона. Более того, как уже было отмечено при анализе, в динамике происходит углубление разрыва по доходу между слоями населения.
Распределение доходов населения изображается с помощью кривой Лоренца, строящейся на основе относительных накопленных величин. Чем больше отстоит кривая от прямой равномерного распределения, тем более неравномерно распределены доходы в обществе. На рисунке 2.3 изображено распределение доходов населения области в 2007 и 2008 гг. Увеличение степени отклонения линии, соответствующей 2008 г., от линии равномерного распределения подтверждает тенденцию углубления расслоения населения по уровню дохода.
Таблица 2.10. Распределение общего объема денежных доходов населения Вологодской области в разрезе социально-экономических групп, 2007 г.

Доход является не единственным, но самым главным фактором, влияющим на оценку людьми собственного социально-экономического статуса. Немногим более половины населения области относит себя к людям среднего достатка, еще треть – к бедным. В разрезе 20 %-ных групп оценки социально-экономического статуса населения значительно различаются (табл. 2.11).
Рисунок 2.3. Кривая Лоренца по распределению денежных доходов населения Вологодской области, 2007–2008 гг.

Таблица 2.11. Распределение ответов на вопрос: «К какой категории Вы себя относите?» (2008 г.; в %)

Однако эта классификация отличается высокой степенью субъективности. Так, к примеру, более 40 % людей из группы с самыми низкими доходами относят себя к группе со средним достатком. В то же время в группе наиболее обеспеченных находятся люди, считающие себя нищими.
В таблице 2.12 применяется классификация[18]18
Классификация сформирована на основе ответов респондентов на вопрос: «Какая из оценок наиболее точно характеризует Ваши денежные доходы?». При этом респонденты, давшие ответ «Денег не хватает даже на продукты питания», были отнесены к категории «нищие», «Денег хватает только на продукты питания, но на одежду уже не хватает» – «бедные», «Денег хватает на продукты питания и одежду, но на такие предметы длительного пользования, как телевизор, холодильник и т. п., уже не хватает» – «малообеспеченные», «Денег хватает на продукты питания, одежду, предметы длительного пользования, но на такие дорогие предметы, как квартира, машина, дача и т. п., уже не хватает» – «обеспеченные», «Денег вполне достаточно, чтобы ни в чем себе не отказывать» – «богатые».
[Закрыть], которая с точки зрения Е.В. Балацкого является универсальной – она пригодна даже для международных сравнений.
Структурно-динамический анализ таблицы позволяет понять, что в обществе происходят качественные сдвиги: в период с 2000 по 2008 г. значительно сокращается доля тех, кто считает себя нищими и бедными (с 62 до 17 %), увеличивается доля обеспеченных и богатых людей (с 6 до 20 %). Следует отметить, что особенно существенные изменения произошли в 2008 г. Можно сказать, в данном случае проявляется эффект замещения: нищие и бедные с течением времени переходят в более благополучную группу – малообеспеченных. В то же время растет количество обеспеченных за счет перехода в эту группу части малообеспеченных и колебаний численности богатых людей.
Таблица 2.12. Оценка населением Вологодской области собственных доходов (в % от общего числа респондентов)

Уровень оценки собственного социально-экономического статуса повышается с ростом среднедушевого дохода (табл. 2.13). Наиболее сильно отличаются от других оценки жителей области, входящих в верхнюю группу по доходу: здесь доля малообеспеченных существенно ниже, чем даже в соседней, четвертой группе (49 против 72 %), а удельный вес обеспеченных и богатых, напротив, существенно выше.
Таблица 2.13. Распределение ответов на вопрос: «Какая из нижеприведенных оценок наиболее точно характеризует денежные доходы Вашей семьи?» (2008 г.; в %)

Высокие оценки представителей пятой группы обусловлены не только более высоким значением их фактического дохода, но и тем, что оно наиболее приближено к уровню, необходимому, по мнению населения, для «достойной жизни» (табл. 2.14). Если разница между фактическим и желаемым уровнем дохода для составляющих первую, нижнюю, группу достигает более четырех раз, то для представителей пятой группы – лишь 1,7 раза. Как можно отметить, для населения области в целом соотношение желаемого и фактического уровня дохода в динамике уменьшается: на протяжении ряда лет оно составляло 3,0–3,2 раза, а по данным 2008 года – 2,5 раза.
Ожидания людьми изменения собственного материального положения или материального положения своей семьи, как выяснилось, также прямо пропорциональны уровню дохода: чем выше доход, тем более оптимистично настроены люди (табл. 2.15).
Если ухудшения своего материального положения опасается лишь 7 % населения, относящегося к пятой группе, то среди первой и второй групп таких людей около трети. На улучшение надеются соответственно 46 и 14 % относящихся к пятой и первой группам.
В качестве возможных способов улучшения материального положения наиболее часто отмечается увеличение количества времени, отводимого для работы, и уровня заработной платы (характерно для всех групп населения, кроме первой). Население, относящееся к первой группе, во-первых, надеется на повышение размера социальных пособий и регулирование цен со стороны государства, во-вторых, на получение высокооплачиваемой работы или удачную женитьбу (замужество). Исходя из этого можно предположить, что основными представителями первой группы населения по доходу являются пенсионеры и студенты.
Внимание! Это не конец книги.
Если начало книги вам понравилось, то полную версию можно приобрести у нашего партнёра - распространителя легального контента. Поддержите автора!