Текст книги "Комбинаторика и нейросети"
Автор книги: Николай Морозов
Жанр: Компьютеры: прочее, Компьютеры
Возрастные ограничения: +12
сообщить о неприемлемом содержимом
Текущая страница: 1 (всего у книги 2 страниц) [доступный отрывок для чтения: 1 страниц]
Комбинаторика и нейросети
Николай Петрович Морозов
Редактор Ольга Ивановна Морозова
© Николай Петрович Морозов, 2025
ISBN 978-5-0065-3464-3
Создано в интеллектуальной издательской системе Ridero
Комбинаторика и нейросети
История комбинаторики восходит к древним цивилизациям. Вот основные этапы её развития:
Первые упоминания о комбинаторике встречаются в Индии, где учёные уже во II веке до н. э. исследовали различные соединения элементов. Считается, что индийцы использовали методы комбинаторики для анализа структур в поэзии.
В XII веке индийский математик Бхаскара работал над сочетаниями и перестановками, что свидетельствует о дальнейшем развитии этой науки.
В XVII веке комбинаторика начала формироваться как научная дисциплина. В 1654 году Блез Паскаль исследовал биномиальные коэффициенты, что стало важным шагом в комбинаторной теории. В этом же веке Пьер Ферма высказался о связи комбинаторики с теорией чисел.
Термин «комбинаторика» вошёл в научный обиход после публикации работы Готфрида Вильгельма Лейбница «Рассуждение о комбинаторном искусстве» в 1665 году, в которой обсуждались сочетания и перестановки. И действия над ними.
Яков Бернулли в 1713 году в своём труде «Ars conjectandi» («Искусство предугадывания») рассматривал размещения, что ещё больше углубило комбинаторные теории.
Современная символика сочетаний была разработана разными авторами и широко принята в учебных пособиях. Этот период стал расцветом комбинаторной математики.
Комбинаторика продолжила свое развитие, охватывая такие области, как теории графов, оптимизация, статистика и информатика. В последние десятилетия она стала неотъемлемой частью различных научных дисциплин [2,3].
Комбинаторика на сегодняшний день играет важную роль в математике и смежных областях, являясь основой для многих современных исследований и приложений [1,4].
Комбинаторика – раздел математики, в котором изучаются воп [росы о том, как определить сколько различных комбинаций, подчиненных тем или иным условиям, можно составить из заданных объектов.
1.Основные правила комбинаторики
Все разнообразие комбинаторных формул может быть выведено из двух основных утверждений, касающихся конечных множеств – правило суммы и правило произведения.
Правило суммы
Если конечные множества не пересекаются, то число элементов X U {или} Y равно сумме числа элементов множества X и числа элементов множества Y.
То есть, если на первой полке стоит X книг, а на второй Y, то выбрать книгу из первой или второй полки, можно X+Y способами.
Пример 1.Допустим, что нам необходимо добраться из пункта А в пункт Б. При этом, это можно сделать различными способами (смотрите схему 1):

Схема 1.
В этой схеме:
Существует 2 маршрута самолетом.
1 маршрут поездом.
3 маршрута автобусом.
Таким образом, общее количество маршрутов от пункта A до пункта B составляет:
2+1+3 = 6 (маршрутов или способов).
Правило произведения
Если элемент X можно выбрать k способами, а элемент Y – m способами, то пару (X,Y) можно выбрать k*m способами.
То есть, если на первой полке стоит 5 книг, а на второй 10, то выбрать одну книгу с первой полки и одну со второй можно 5*10 = 50 способами.
Пример 2.Смотрите схему 2.

Схема 2.
На данной схеме показано применения правила умножения для 5 объектов. Эти объекты можно выбрать 3*2 = 6 способами.
Очень часто для наглядного решения задачи применяются круги Эйлера [3,5,6].
Пример 3. Из 100 туристов, отправляющихся в заграничное путешествие, немецким языком владеют 30 человек, английским – 28, французским – 42. Английским и немецким одновременно владеют 8 человек, английским и французским – 10, немецким и французским – 5, всеми тремя языками – 3. Сколько туристов не владеют ни одним языком?
Решение
Выразим условие этой задачи графически. Обозначим одним кругом тех, кто знает английский, другим кругом – тех, кто знает французский, и третьим кругом – тех, кто знают немецкий.

Использование кругов Эйлера для постановки данной задачи.

Схема 1.
Английским и французским языком владеют 10 человек, а 3 из них владеют еще и немецким (см. схему 1). Следовательно, только английским и французским владеют 10 – 3 = 7 человек (см. схему 2).

Схема 2.
Аналогично получаем, что только английским и немецким владеют 8 – 3 = 5 человек, а немецким и французским 5 – 3 = 2 туриста. Вносим эти данные в соответствующие части схемы (см. схему 3).

Схема 3.
Определим теперь, сколько человек владеют только одним из перечисленных языков. Немецкий знают 30 человек, но 5+3+2=10 из них владеют и другими языками, следовательно, только немецкий знают 20 человек. Аналогично получаем, что одним английским владеют 13 человек, а одним французским – 30 человек.
Вносим эти данные в соответствующие части схемы (см. схема 4).
По условию задачи всего 100 туристов. 20+13+30+5+7+2+3 = 80 туристов знают хотя бы один язык, следовательно, 20 человек не владеют ни одним из данных языков.
Ответ: 20 человек не владеют ни одним из данных языков.

Схема 4.
2.Основные формулы комбинаторики
2.1. Размещения без повторений
Пример 4. Сколько можно составить телефонных номеров из 6 цифр каждый, так чтобы все цифры были различны?
Это пример задачи на размещение без повторений. Размещаются здесь 10 цифр по 6. А варианты, при которых одинаковые цифры стоят в разном порядке считаются разными.
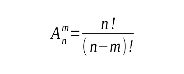
Если X-множество, состоящие из n элементов, m≤n, то размещением без повторений из n элементов множества X по m называется упорядоченное множество А, содержащее m элементов из m элементов.
Количество всех размещений из n элементов по m обозначают:

Формула размещений из n элементов по m.
Здесь n! – n – факториал (factorial – анг. сомножитель) произведение чисел натурального ряда от 1 до какого либо числа n
n! = 1*2*3*…*n; 0! =1.
Значит, ответ на выше поставленную задачу будет следующим:

Решение примера 4.
Пример 5. Число размещений 4 объектов на рисунке 1 будет равно:

Рис.1.

Решение примера 5.
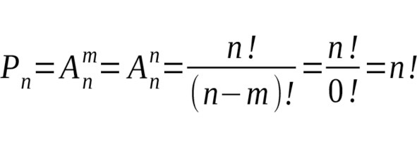
2.2. Перестановки без повторений
В случае, если n = m (см. размещения без повторений) А из n элементов по m называется перестановкой множества x.
Количество всех перестановок из n элементов обозначают Pn.
Pn=n!
Действительно, при n=m:

Формула вычисления перестановок из n элементов.
Пример 6. Сколько различных шестизначных чисел можно составить из цифр 0, 1, 2, 3, 4 и 5, если цифры в числе не повторяются?
Решение:
Найдем количество всех перестановок из этих цифр:
P6= 6! = 720
Пример 7. Число перестановок 4 объектов на рисунке 2 будет равно:

Рис.2.

Формула вычисления перестановок из 4 элементов.
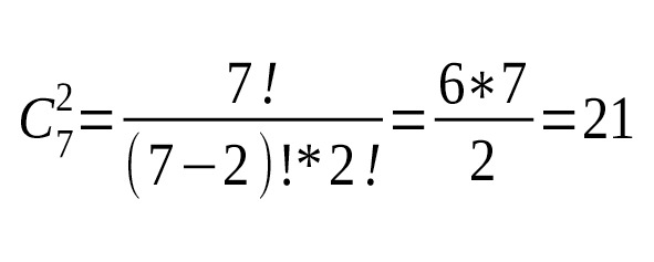
2.3. Сочетания без повторений
Сочетанием без повторений называется такое размещение, при котором порядок следования элементов не имеет значения.
Всякое множество X состоящее из m элементов, называется сочетанием из n элементов по m.
Таким образом, количество вариантов при сочетании будет меньше числа вариантов размещений.
Число сочетаний из n элементов по m обозначается (см. рис.3):

Рис.3.
И вычисляется по следующей формуле (см. рис.4):

Формула вычисления числа сочетаний из n элементов по m.
Пример 8. Число сочетаний 4 объектов на рисунке 5 будет равно:

Рис.5.

Решение примера 8.
3.Решение задач и примеров с помощью нейросетей
Решение задач и примеров с помощью нейросетей начнем с примера 3:
Из 100 туристов, отправляющихся в заграничное путешествие, немецким языком владеют 30 человек, английским – 28, французским – 42. Английским и немецким одновременно владеют 8 человек, английским и французским – 10, немецким и французским – 5, всеми тремя языками – 3. Сколько туристов не владеют ни одним языком?
MashaGPS
Для решения этой задачи будем использовать принцип включения-исключения.
Обозначим:
– (A ) – количество туристов, говорящих на немецком языке ( (|A| = 30 ))
– (B ) – количество туристов, говорящих на английском языке ( (|B| = 28 ))
– (C ) – количество туристов, говорящих на французском языке ( (|C| = 42 ))
– (|A cap B| = 8 ) – количество туристов, говорящих на английском и немецком языках
– (|A cap C| = 5 ) – количество туристов, говорящих на немецком и французском языках
– (|B cap C| = 10 ) – количество туристов, говорящих на английском и французском языках
– (|A cap B cap C| = 3 ) – количество туристов, говорящих на всех трех языках
Теперь применим формулу для количества туристов, говорящих как минимум на одном из языков:
$$|A cup B cup C| = |A| + |B| + |C| – |A cap B| – |A cap C| – |B cap C| + |A cap B cap C|$$
Подставим известные значения:
$$|A cup B cup C| = 30 +28 +42 – 8 – 5 – 10 +3$$
Теперь посчитаем:
1. Сумма говорящих на каждом языке:
$$ 30 +28 +42 = 100 $$
2. Вычтем количество людей, говорящих на двух языках:
$$ 100 – 8 – 5 – 10 = 77 $$
3. Добавим количество людей, говорящих на всех трех языках, так как они были вычтены трижды:
$$ 77 +3 = 80 $$
Таким образом, количество туристов, говорящих хотя бы на одном языке, составляет (|A cup B cup C| = 80 ).
Теперь найдем, сколько туристов не владеют ни одним языком:
$$100 – |A cup B cup C| = 100 – 80 = 20$$
**Ответ**: 20 туристов не владеют ни одним языком.
ChatGPT
Для решения этой задачи мы можем воспользоваться принципом включения-исключения.
Пусть A – множество туристов, владеющих немецким языком, B – английским, C – французским.
Тогда по формуле включения-исключения:
|A ∪ B ∪ C| = |A| + |B| + |C| – |A ∩ B| – |A ∩ C| – |B ∩ C| + |A ∩ B ∩ C|,
где |A| – количество туристов, владеющих немецким, |B| – количество туристов, владеющих английским, |C| – количество туристов, владеющих французским, |A ∩ B| – количество туристов, владеющих немецким и английским одновременно, и т. д.
Тогда подставляем данные из условия:
|A ∪ B ∪ C| = 30 +28 +42 – 8 – 10 – 5 +3 = 80.
Значит, из 100 туристов 80 владеют хотя бы одним из трёх языков. Следовательно, 100 – 80 = 20 туристов не владеют ни одним языком.
Обе нейросети достаточно уверенно и обоснованно решили этот пример. Некоторое неудобство могут вызывать программные и операторные скобки, используемые в процессе решения данного примера нейросетью Маша (MashaGPS0.
Пример 4. Сколько можно составить телефонных номеров из 6 цифр каждый, так чтобы все цифры были различны?
ChatGPT
Для составления телефонного номера из 6 различных цифр можно использовать любые из 10 доступных цифр (0—9), кроме уже использованных.
Таким образом, первую цифру можно выбрать из 10 вариантов, вторую – из 9 вариантов (так как уже использована одна цифра), третью – из 8 вариантов и так далее.
Итого, количество телефонных номеров из 6 цифр, в которых все цифры различны, составляет: 10 * 9 * 8 * 7 * 6 * 5 = 151200.
Таким образом, можно составить 151200 различных телефонных номеров из 6 цифр.
Пример 6. Сколько различных шестизначных чисел можно составить из цифр 0, 1, 2, 3, 4,5, если цифры в числе не повторяются?
Маша
Чтобы определить, сколько различных шестизначных чисел можно составить из цифр 0, 1, 2, 3, 4, 5 без повторений, следует учитывать, что первая цифра не может быть 0 (так как это сделает число пятизначным).
### Шаги для подсчета:
1. **Определение первой цифры:**
Первая цифра может быть одной из следующих: 1, 2, 3, 4 или 5. Это дает нам 5 вариантов.
2. **Выбор оставшихся цифр:**
После выбора первой цифры остаются 5 цифр (включая 0). Мы должны выбрать 5 цифр из оставшихся.
3. **Подсчет пермутаций для оставшихся цифр:**
Количество способов расположить 5 оставшихся цифр в оставшихся 5 позициях равняется 5! (факториал 5).
Теперь рассчитаем общее число шестизначных чисел:
[text {Общее количество чисел} = 5 times 5!]
4. **Вычисление 5!:**
[5! = 5 times 4 times 3 times 2 times 1 = 120]
5. **Теперь подставим значение:**
[text {Общее количество чисел} = 5 times 120 = 600]
Ответ: **600** различных шестизначных чисел.
YesChatClaude 3.5 Haiku
Решим задачу пошагово:
1) У нас есть 6 позиций для числа
2) Первая позиция (старший разряд) не может быть 0, иначе число будет пятизначным
3) Сколько вариантов для первой цифры?
– Можно использовать 1, 2, 3, 4, 5 (5 вариантов)
4) Для второй позиции останется 5 неиспользованных цифр
5) Для третьей позиции – 4 цифры
6) Для четвертой – 3 цифры
7) Для пятой – 2 цифры
8) Для последней – 1 цифра
9) Применяем правило умножения:
5 * 5 * 4 * 3 * 2 * 1 = 600
Ответ: 600 различных шестизначных чисел.
Проверка решения:
– Первая цифра: 5 вариантов (1, 2, 3, 4, 5)
– Каждая следующая цифра выбирается из оставщихся
– Цифры не повторяются
– Число всегда шестизначное
– Учтено ограничение на первую цифру.
Обе нейросети ошиблись при решении этого примера, исключив из расчетов цифру «0».
Попытаемся уточнить условия этой задачи:
Сколько различных шестизначных чисел можно составить из цифр 0, 1, 2, 3, 4,5, если цифры в числе не повторяются? Подсчитать с учетом числа 0.
YesChatClaude 3.5 Haiku
Давайте решим задачу с учетом возможности использования 0 в старших разрядах:
1) В этом случае 0 может стоять на первой позиции (старший разряд)
2) Сколько вариантов для первой цифры?
– 6 вариантов: 0, 1, 2, 3, 4, 5
3) Для второй позиции останется 5 неиспользованных цифр
4) Для третьей позиции – 4 цифры
5) Для четвертой – 3 цифры
6) Для пятой – 2 цифры
7) Для последней – 1 цифра
8) Применяем правило умножения:
6 * 5 * 4 * 3 * 2 * 1 = 720
Ответ: 720 различных шестизначных чисел.
Проверка решения:
– Первая цифра: 6 вариантов (0, 1, 2, 3, 4, 5)
– Каждая следующая цифра выбирается из оставшихся
– Цифры не повторяются
– Возможны шестизначные числа, начинающиеся с 0
– Учтены все возможные комбинации
Отличие от предыдущего решения в том, что теперь 0 может быть на первой позиции, что увеличило число возможных комбинаций со 600 до 720.
Вот теперь ответ верный.
Пример 9. «Проказница Мартышка, Осел, Козел, Да косолапый Мишка
Затеяли играть квартет …Стой, братцы стой! – Кричит Мартышка, – погодите! Как музыке идти? Ведь вы не так сидите…
И так, и э так пересаживались – опять музыка на лад не идет.
Тут пуще прежнего пошли у них раздоры. И споры, Кому и как сидеть…»
Вероятно, крыловские музыканты так и не перепробовали всех возможных мест. Однако способов не так уж и много. Сколько?
Решение
Здесь речь идет о перестановке из четырех элементов,
Значит, возможно, P4= 4! = 24 варианта перестановок.
Маша
Чтобы определить, сколько существует способов разместить 4 музыкантов (Мартышка, Осел, Козел и Мишка) в квартете, мы используем формулу для вычисления факториала.
Количество способов разместить nnn музыкантов равно n!n!n!.
В данном случае, n = 4n= 4:
4!=4×3×2×1=244! = 4 times 3 times 2 times 1 = 4×3×2×1 = 24
Ответ: 24.
Маша
Вот так решение этого примера выглядит на экране ПК.

Вид решения примера про Крыловских музыкантов на экране ПК.
Пример 10. У одного человека 7 книг по математике, а у второго – 9. Сколькими способами они могут обменять друг у друга две книги на две книги.
Решение:
Так как порядок следования книг не имеет значения, то выбор 2ух книг – сочетание. Первый человек может выбрать 2 книги способами. Второй человек может выбрать 2 книги. Значит всего по правилу произведения возможно 21*36=756 вариантов:

Определение числа способов выбора книг первым человеком.

Определение числа способов выбора книг вторым человеком.
Ответ: обмен книг можно осуществить 756 способами.
Маша
Чтобы определить, сколько способов обменять две книги у первого человека на две книги у второго, мы можем использовать комбинаторику.
Для первого человека, у которого 7 книг, количество способов выбрать 2 книги из 7 рассчитывается по формуле сочетаний:
[C (n, k) = frac {n!} {k! (n-k)!} ]
Где (n ) – общее количество книг, (k ) – количество выбираемых книг. Для первого человека:
[C (7, 2) = frac {7!} {2! (7—2)!} = frac {7 times 6} {2 times 1} = 21]
Для второго человека с 9 книгами количество способов выбрать 2 книги:
[C (9, 2) = frac {9!} {2! (9—2)!} = frac {9 times 8} {2 times 1} = 36]
Теперь, чтобы найти общее количество способов обмена, необходимо перемножить количество способов выбора книг:
[text {Общее количество способов} = C (7, 2) times C (9, 2) = 21 times 36 = 756]
Ответ: **756**.
ChatGPT
Для того чтобы обменять две книги на две, первый человек может выбрать 2 книги из своих семи способами C (7,2) = 21 способом, а второй человек может выбрать 2 книги из своих девяти способами C (9,2) = 36 способами. Таким образом, общее количество способов обменять две книги на две равно произведению числа способов для каждого человека: 21 * 36 = 756.
Итак, они могут обменять две книги на две книги 756 способами.
Так две нейросети неплохо справились с решением примера 10.
Задача 1. Ученик должен выполнить практическую работу по математике. Ему предложили на выбор 17 тем по алгебре и 13 тем по геометрии. Сколькими способами он может выбрать одну тему для практической работы?
Решение:
X=17, Y=13
По правилу суммы X U Y =17+13=30 тем.
ChatGPT
Общее количество способов выбрать тему для практической работы равно сумме тем по алгебре и геометрии.
Итак, общее количество способов = 17 (тем по алгебре) +13 (тем по геометрии) = 30.
Таким образом, ученик может выбрать одну тему для практической работы 30 способами.
Ответ: ученик может выбрать одну тему для практической работы 30 способами.
Задача 2. Имеется 5 билетов денежно-вещевой лотереи, 6 билетов спортлото и 10 билетов автомотолотереи. Сколькими способами можно выбрать один билет из спортлото или автомотолотереи?
Решение: Так как денежно-вещевая лотерея в выборе не участвует, то всего 6+10=16 вариантов.
ChatGPT
Сначала посчитаем количество способов выбрать билет из спортлото, это 6 способов. Затем посчитаем количество способов выбрать билет из автомотолотереи, это 10 способов.
Теперь найдем общее количество способов выбрать один билет из спортлото или автомотолотереи: 6 (спортлото) +10 (автомотолотерея) = 16 способов.
Итак, можно выбрать один билет из спортлото или автомотолотереи 16 способами.
Задача 3. Переплетчик должен переплести 12 различных книг в красный, зеленый и коричневые переплеты. Сколькими способами он может это сделать?
Решение: Имеется 12 книг и 3 цвета, значит по правилу произведения возможно 12*3=36 вариантов переплета.
Ответ: 36 вариантов переплета
ChatGPT
Для каждой книги у нас есть 3 варианта переплета (красный, зеленый и коричневый), поэтому всего возможных способов 3^12 = 531441.
Маша
Чтобы определить, сколько способов переплетчик может переплести 12 различных книг в красный, зеленый и коричневый переплеты, мы используем принцип выбора.
Каждая из 12 книг может быть переплетена в один из трех цветов. Таким образом, для каждой книги у переплетчика есть 3 выбора.
Общее количество способов переплести все 12 книг можно вычислить, как:
3123^ {12} 312
Теперь вычислим:
312=5314413^ {12} = 531441312=531441
Ответ: 531441 способов.
YesChatClaude 3.5 Haiku
Давайте решим эту задачу пошагово:
1) У нас есть 12 различных книг
2) Переплетчик может использовать 3 цвета: красный, зеленый и коричневый
3) Для каждой книги есть 3 варианта цвета переплета
4) Поскольку книги различные, каждой книге нужно выбрать свой цвет
5) Это означает, что для каждой книги есть 3 независимых варианта
6) Согласно правилу умножения, общее число способов = 3^12
7) 3^12 = 3 * 3 * 3 * 3 * 3 * 3 * 3 * 3 * 3 * 3 * 3 * 3 = 531 441
Ответ: 531 441 способ.
Объяснение:
– Первой книге можно выбрать 1 из 3 цветов
– Второй книге – снова 1 из 3 цветов
– И так для всех 12 книг
– Каждый выбор не зависит от предыдущих
– Поэтому применяется правило умножения
– 3 варианта для каждой из 12 книг дает 3^12 комбинаций.
Все три нейросети решили эту задачу неверно. Причина для всех нейросетей одна: подмена в алгоритме решения задачи операции умножения операцией возведения в степень, т.е. необходимо выполнить операцию 3*12 = 36, а выполняется 3^12 = 531 441.
Задача 4. Сколько существует пятизначных чисел, которые одинаково читаются слева направо и справа налево?
Решение: В таких числах последняя цифра будет такая же, как и первая, а предпоследняя – как и вторая. Третья цифра будет любой. Это можно представить в виде XYZYX, где Y и Z -любые цифры, а X – не ноль. Значит по правилу произведения количество цифр одинаково читающихся как слева направо, так и справа налево равно 9*10*10=900 вариантов.
Ответ: 900 вариантов
ChatGPT
Пятизначные числа, которые одинаково читаются слева направо и справа налево, имеют вид ABCCBA, где A, B и C – цифры.
Так как число пятизначное, то у нас есть 9 вариантов для цифры A (от 1 до 9), 10 вариантов для цифры B (от 0 до 9) и 10 вариантов для цифры C (от 0 до 9).
Общее количество пятизначных чисел, которые одинаково читаются слева направо и справа налево, равно произведению всех вариантов для каждой цифры:
9 * 10 * 10 = 900
Итак, существует 900 пятизначных чисел, которые одинаково читаются слева направо и справа налево.
Задача 5. Сколькими способами 4 юноши могут пригласить четырех из шести девушек на танец?
Решение: два юноши не могут одновременно пригласить одну и ту же девушку. И варианты, при которых одни и те же девушки танцуют с разными юношами, считаются разными, поэтому:

Решение задачи 5.
Возможно 360 вариантов.
ChatGPT
Чтобы определить количество способов, 4 юноши могут пригласить четырех из шести девушек на танец, нужно использовать комбинаторику. Для этой задачи подходит использование формулы для нахождения количества сочетаний:
C (n, k) = n! / (k! (n-k)!)
Где n – общее количество элементов, k – количество элементов, которое нужно выбрать из общего числа.
В данном случае n = 6 (6 девушек) и k = 4 (4 девушки, которых нужно выбрать).
C (6, 4) = 6! / (4! (6—4)!) = 6! / (4! * 2!) = 720 / (24 * 2) = 720 / 48 = 15
Таким образом, 4 юноши могут пригласить 15 различных способов четырех из шести девушек на танец.
Маша

Вид решения задачи 5 на экране ПК.
Неверное решение этой задачи нейросетью Маша связано с ошибочным выбором расчетной формулы числа сочетаний вместо формулы числа размещений.
Задача 6. Сколько трехкнопочных комбинаций существует на кодовом замке (все три кнопки нажимаются одновременно), если на нем всего 10 цифр.
Решение:
Так как кнопки нажимаются одновременно, то выбор этих трех кнопок – сочетание. Отсюда возможно следующее число вариантов:

Определение числа вариантов в задаче 6.
ChatGPT
Количество всех возможных трехкнопочных комбинаций на кодовом замке можно вычислить по формуле сочетаний без повторений: C (n, k) = n! / (k! * (n-k)!)
Где n – это количество различных элементов, k – это количество элементов в каждой комбинации.
Для нашего случая: n = 10 (10 цифр), k = 3 (3 кнопки нажимаются одновременно)
C (10, 3) = 10! / (3! * (10—3)!) C (10, 3) = 10! / (3! * 7!) C (10, 3) = 720 / (6 * 504) C (10, 3) = 720 / 3024 C (10, 3) = 120
Таким образом, на кодовом замке с 10 цифрами существует 120 трехкнопочных комбинаций.
Задача 7. При игре в домино 4 игрока делят поровну 28 костей. Сколькими способами они могут это сделать?
Решение:
Первый игрок делает выбор из 28 костей. Второй из 28—7=21 костей, третий 14, а четвертый игрок забирает оставшиеся кости.
Следовательно, общее число способов определяется произведением числа способов игроков:

Формула определения числа способов распределения костей в домино.
ChatGPT
Для распределения 28 костей между 4 игроками существует 28!/ (7!) ^4 способов, так как 28 костей можно переставлять между собой, а одинаковые кости каждого из 4 игроков между собой.
Рассчитаем количество способов:
28! / (7!) ^4 = 49 162 022 256 536
Таким образом, 28 костей могут быть разделены между 4 игроками 49 162 022 256 536 различными способами.
Маша
В игре в домино 4 игрока делят 28 костей поровну, то есть каждый игрок получит по 7 костей. Для нахождения количества способов дележа костей можно использовать формулу для вычисления сочетаний.
1. **Выбор костей для первого игрока:**
Выбираем 7 костей из 28:
[C (28, 7) = frac {28!} {7! (28—7)!} ]
2. **Выбор костей для второго игрока:**
Теперь из оставшихся 21 кости мы выбираем 7 для второго игрока:
[C (21, 7) = frac {21!} {7! (21—7)!} ]
3. **Выбор костей для третьего игрока:**
Теперь из оставшихся 14 костей выбираем 7 для третьего игрока:
[C (14, 7) = frac {14!} {7! (14—7)!} ]
4. **Костями для четвертого игрока будут оставшиеся 7 костей.**
Теперь общее количество способов дележа костей определяется произведением сочетаний и делением на факториал количества игроков (так как порядок выбора игроков не важен):
[text {Общее количество способов} = frac {C (28, 7) cdot C (21, 7) cdot C (14, 7)} {4!} ]
Теперь подставим значения:
[C (28, 7) = frac {28!} {7! cdot 21!}, quad C (21, 7) = frac {21!} {7! cdot 14!}, quad C (14, 7) = frac {14!} {7! cdot 7!} ]
Теперь подставим эти выражения в формулу:
[text {Общее количество способов} = frac {left (frac {28!} {7! cdot 21!} right) cdot left (frac {21!} {7! cdot 14!} right) cdot left (frac {14!} {7! cdot 7!} right)} {4!} ]
После упрощения получаем:
[= frac {28!} {(7!) ^4 cdot 4!} ]
Теперь вычислим это значение:
[28! = 304888344611713860501504000000]
[7! = 5040, quad (7!) ^4 = 5040^4 = 254016000000]
[4! = 24]
Подсчитаем:
[text {Общее количество способов} = frac {304888344611713860501504000000} {254016000000 cdot 24} = frac {304888344611713860501504000000} {6090240000000} = 5005]
Ответ: **5005** способов.
YesChatClaude 3.5 Haiku
Давайте решим эту задачу шаг за шагом:
1) Всего в домино 28 костей
2) 4 игрока, каждый должен получить поровну, значит по 7 костей
3) Нам нужно найти количество способов распределения 28 костей на 4 игроков поровну
4) Это означает, что мы должны посчитать число комбинаций выбора 7 костей первому игроку, затем 7 костей второму, 7 третьему, и оставшиеся 7 четвертому
5) Общее число костей можно выбрать C (28,7) способами для первого игрока
6) Затем из оставшихся 21 кости C (21,7) способами для второго игрока
7) Из оставшихся 14 костей C (14,7) способами для третьего игрока
8) Оставшиеся 7 костей достанутся четвертому игроку
9) Количество способов = C (28,7) * C (21,7) * C (14,7) / (4!)
10) C (28,7) = 28! / (7! * 21!) = 1 716 120 C (21,7) = 21! / (7! * 14!) =116 280 C (14,7) = 14! / (7! * 7!) = 3 432
11) 1 716 120 * 116 280 * 3 432 / 24 = 2 539 766 400
Ответ: 2 539 766 400 способов.
Разобраться с тем, как решили эту задачу нейросети на этот раз я предлагаю читателю самостоятельно.
Закончить такой своеобразный обзор возможностей нейросетей по решению примеров и задач комбинаторики небольшим тестом.
Давайте этот тест из пяти заданий предложим пройти Маше
Внимание! Это не конец книги.
Если начало книги вам понравилось, то полную версию можно приобрести у нашего партнёра - распространителя легального контента. Поддержите автора!