Читать книгу "Реконструкция обстоятельств ДТП. Введение в современные методы экспертных исследований. Использование краш-тестов"
Автор книги: Владимир Никонов
Жанр: Прочая образовательная литература, Наука и Образование
Возрастные ограничения: 18+
сообщить о неприемлемом содержимом
Преобразование координат в плоскости
Для определения координат автомобиля в плоскости достаточно трех параметров: координат центра тяжести автомобиля и угла его ориентации, которым может быть, например, угол между продольной осью автомобиля и осью X неподвижной системы координат.

Рис. 1.3. Система координат автомобиля.
Рассмотрим рис. 1.4, на котором показан автомобиль в некоторой неподвижной системе координат XY, связанной, например, с дорогой. В этой системе координат ось X в плоскости чертежа направлена вправо, ось Y – вверх, а ось Z – перпендикулярна плоскости чертежа и направлена к зрителю. Пусть в этой системе координат положение центра тяжести автомобиля определятся точкой O`, которая, в свою очередь, является точкой начала координат X`Y`, связанной с автомобилем. При этом a – угол между осями OX и O`X`.
Как видно из рис. 1.4, в трехмерном пространстве оси координат Z и Z` обоих систем координат, глобальной и локальной соответственно, параллельны друг другу. Отклонение оси Z` от указанного положения в результате удара в автомобиль в большинстве случаев невелико, и этим можно пренебречь.
Поэтому далее для анализа движения автомобиля в плоскости или положения и направления силы удара нам понадобится только двухмерная система координат. Тогда, кроме параметров XC? YC и a в глобальной системе координат XY, требуется уметь находить координаты любой произвольной точки автомобиля, известные в локальной системе координат X`Y`.
Пусть некоторая точка M задана координатами (p`,q`) в локальной системе координат X`Y`, связанной с автомобилем. Требуется найти ее координаты (p,q) в глобальной системе координат XY.
Координата p точки M по оси абсцисс есть сумма координаты XC центра тяжести автомобиля (начала локальной системы координат) и разности длин проекции отрезка O`p` на ось абсцисс X и отрезка Cp`.

Рис. 1.4. Автомобиль в неподвижной системе координат.
Длина проекции отрезка O`p` на ось абсцисс X есть p`cos (a). Длина отрезка Cp` есть q`sin (a).
Тогда координата точки по оси абсцисс есть

Тогда координата q точки M по оси ординат есть сумма длины проекции отрезка O`q` на ось ординат и длины отрезка q`D, или

Полученные уравнения важны как для решения задачи движения автомобиля в плоскости, так как позволяют в каждый момент времени определить положение контура автомобиля и его колес в неподвижной системе координат, так и для расчета положения точки приложения силы удара и ее направления.

Рис. 1.5. Система координат автомобиля SAE.
В иностранной литературе по реконструкции обстоятельств ДТП для системы координат автомобиля часто используется стандарт Сообщества автомобильных инженеров (англ. Society of Automotive Engineers, SAE) SAE J670, согласно которому поперечная ось автомобиля Y направлена вправо от автомобиля, а вертикальная ось автомобиля Z направлена вверх, как показано на рис. 1.5.
В этой книге использование системы координат автомобиля SAE оговаривается особо.
Литература
1. Стандарт ISO 8855:2011 «Транспорт дорожный. Динамика транспортных средств и курсовая устойчивость. Словарь».
2. Vehicle Dynamics Terminology, SAE J670 JAN2008.
3. Выгодский М. Я. Справочник по высшей математике. – М.: АСТ: Астрель, 2006. 991с.: ил.
2. Базовые законы механики
Методы реконструкции обстоятельств ДТП базируются в основном на трех законах Ньютона и четырех законах сохранения механики.
Законы Ньютона позволяют записать уравнения движения для любой механической системы, в том числе если известны силовые взаимодействия для составляющих её тел.
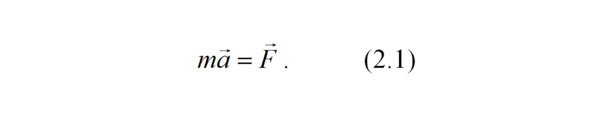
Первый закон Ньютона постулирует, что тело находится в покое или движется прямолинейно и равномерно, когда на него не действуют никакие силы (или действуют силы взаимно уравновешенные). Второй закон Ньютона связывает силу, действующую на тело, с его массой и ускорением. Третий закон Ньютона постулирует равенство действия противодействию.
Законы сохранения – фундаментальные физические законы, согласно которым при определённых условиях некоторые измеримые физические величины, характеризующие совокупность тел, не изменяются с течением времени.
Для реконструкции обстоятельств ДТП важны такие законы сохранения механики, как закон сохранения энергии, закон сохранения количества движения (импульса), закон сохранения момента количества движения (момента импульса), и в ряде случаев закон сохранения массы.
Второй закон Ньютона, или основной закон динамики
Второй закон Ньютона – дифференциальный закон механического движения, который описывает зависимость ускорения (если ускорение отрицательно, то его называют замедлением) тела от равнодействующей всех приложенных к телу сил F11
Жирным шрифтом или чертой сверху обозначены векторные величины.
[Закрыть] и массы тела m в виде

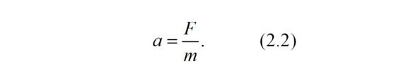
Или ускорение, приобретаемое телом, прямо пропорционально вызывающей его силе F и совпадает с ней по направлению и обратно пропорционально массе m тела. Уравнения, соответствующие данному закону, называются дифференциальными уравнениями движения.

Рис. 2.1. Ускоренное движение автомобиля.
Так, например, если суммарная сила тяги на ведущих колесах переднеприводного автомобиля при его прямолинейном движении, как показано на рис. 2.1, постоянна и равна F, то этот автомобиль в данный момент времени t ускоряется в направлении действия этой силы с ускорением а:

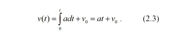
Тогда при неизменном ускорении скорость автомобиля в некоторый момент времени t равна интегралу от выражения для ускорения плюс постоянная интегрирования – начальная скорость автомобиля в момент времени t=0:

Путь, пройденный автомобилем за время t, равен интегралу от его скорости плюс постоянная интегрирования – начальный путь автомобиля в момент времени t=0:

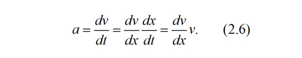
Выражения (2.2) и (2.3) можно записать как производные по времени, где первая производная по времени обозначается символом с точкой наверху, а вторая производная по времени – с двумя точками наверху: скорость есть первая производная от функции пути от времени, ускорение есть первая производная от функции скорости от времени и, соответственно, вторая производная от функции пути от времени:

В общем случае сила, ускорение и скорость – векторные величины. Тогда уравнения (2.2) – (2.5) записываются либо в векторном виде, либо в виде проекций на оси неподвижной системы координат.
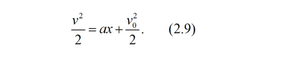
Чтобы получить связь скорости и пути ускорения (замедления) автомобиля, выражение для ускорения a из (2.5) можно записать в виде

После упрощения выражение (2.6) принимает вид

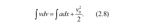
Тогда левую и правую части выражения (2.7) можно проинтегрировать, записав постоянную интегрирования в виде половины квадрата начальной скорости автомобиля:

После интегрирования получаем

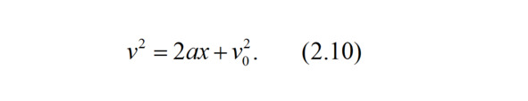
Откуда после преобразования выражение для квадрата скорости принимает вид

Или, извлекая квадратный корень из левой и правой части равенства (2.10), получаем выражение для скорости автомобиля v в м/с в зависимости от пути x, на котором автомобиль ускорялся или замедлялся:

Выражение (2.11) может быть преобразовано для более привычной единицы измерения скорости транспортных средств в км/ч с учетом, что 1 м/с = 3.6 км/ч:

В выражении (2.12) использовано, что 2х3.62=25.92, или с округлением до целого равно 26.
Третий закон Ньютона
Автомобили, как и все тела, в любой момент времени при их столкновении взаимодействуют друг с другом в некоторой точке силами, направленными вдоль одной прямой, равными по модулю и противоположными по направлению, как показано, например, на рис. 2.2.

Рис. 2.2. Действие равно противодействию.
Кажется, что все просто. Однако при рассмотрении реальных ДТП остаются вопросы определения точки приложения силы и направления линии силы взаимодействия во времени и пространстве.
Закон сохранения энергии
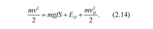
В традиционной судебной автотехнической экспертизе закон сохранения энергии применяется лишь частично. Для движения в плоскости эти методики учитывают лишь ту часть кинетической энергии автомобиля, которая затрачивается на его остановку путем торможения или заноса, или, иначе говоря, учитывают работу сил трения автомобиля с опорной поверхностью.
При столкновении автомобиля с другим транспортным средством или препятствием его кинетическая энергия EK расходуется на работу сил трения ET и на деформацию конструкций столкнувшихся объектов ED. Если в результате удара скорость автомобиля не погашена, то он имеет остаточную кинетическую энергию EO. Тогда уравнение баланса энергии можно записать в виде

Уравнение (2.13) может быть записано развернуто: с учетом массы автомобиля m, его скорости перед началом торможения или заноса v, коэффициента сцепления шин с опорной поверхностью f, пути во время торможения или заноса S и остаточной скорости vH в виде

Положим, как это и делает традиционная методика автотехнической экспертизы, равной нулю неизвестную величину затрат энергии на деформацию ED=0, и обозначим как замедление j произведение коэффициента сцепления шин с опорной поверхностью f и ускорения силы тяжести g
Внимание! Это не конец книги.
Если начало книги вам понравилось, то полную версию можно приобрести у нашего партнёра - распространителя легального контента. Поддержите автора!