Читать книгу "Все науки. №2, 2024. Международный научный журнал"
Автор книги: Анора Юсупова
Жанр: Прочая образовательная литература, Наука и Образование
Возрастные ограничения: 12+
сообщить о неприемлемом содержимом

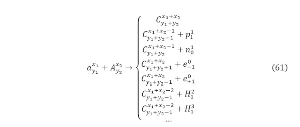
В данном случае в качестве матричного произведения выражаются все возможные вариации каналов ядерных реакций, однако, разумеется, большинство среди них, особенно те, что связанны с тяжёлыми ядрами являются маловероятными, но даже это не полный перечень, поскольку существуют также реакции, когда кинетической энергии направленных частиц становиться достаточно для создания новых частиц. Кроме того, не стоит забывать случаи, когда выходящих частиц увеличивается, то есть уже образуется 3, 4 и т. д. продуктов ядерных реакций, но только для их записи уже потребовалось использовать сложные n-мерные матрицы.
Поэтому на практике оставляются только самые вероятностные (61).

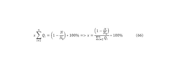
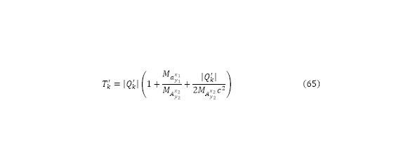
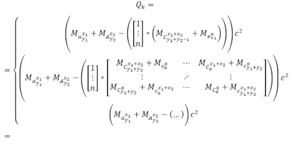
Так, если момент с образованием новых частиц не учитывается, чаще всего берутся случаи образования целостного ядра, образования протона, нейтрона, электрона, позитрона, дейтрона, тритона или прочих подобных частиц (61). Для каждой из этих реакций вычисляется выход канала ядерной реакции для всевозможных перечисляемых комбинаций, в отличие от многомерных случаев и образованием частиц (62) и для более вероятностных каналов ядерной реакции (63), вместе с порогом канала ядерной реакции также для абсолютно всех случаев, кроме вышеуказанных (64) и более вероятностных представленных каналов (65).



Так были определены соответствующие выражения для всех представленных каналов ядерной реакции, стоит принять истинной формулу (66), которая представляет сумму произведений всех выходов каналов на некоторое определённое число.

Более того, ранее был проанализирован один из каналов реакции полномасштабно, откуда было получено значение процентной эффективности этого канала (29) от разности коего вычисляется необходимый показатель. Настоящее выражение показывается, что у каждого канала есть свой процент эффективности, который в сумме составляет 100% эффективности всей реакции.
С практической точки зрения подобное можно расценивать как разделение в процентном соотношении всех направленных частиц, и каждая из них в определённой пропорции выполняет тот или иной канал реакции, разумеется, есть ещё некоторый процент приходящийся на рассеивание пучка на мишени, но это самое малое значение, после чего идут все маловероятные реакции. К тому же логично предположить, что для случаев, когда выход реакции становиться отрицательным, то есть сам канал, для коего определялся выход – эндо-энергетически, то вероятность его прохождения по сравнению с положительными экзо-энергетическими каналами становиться практически нулевой, поэтому она попросту не учитывается в уравнении.
Если же при описании каналов практически все, даже более вероятные каналы являются эндо-энергетическими, то более вероятным станет тот канал, который более близок к нулевому значению, то для есть для проведения коего нужно затратить меньшое по сравнению с прочими количество энергии. Исходя из (66) можно определить вероятность для всех каналов реакции также относительно приведённых в (62—63) выходов ядерной реакции (67—68).

Наконец, кинетическую энергию продуктов каждого из каналов реакции вполне можно определить согласно тому же алгоритму, что применялось изначально и представленные в (9—10) и (12), ровно, как и для всех ядер, по также уже представленному алгоритму. Таким образом, наконец можно говорить о том, что ядерная реакция (1), доведённая до состояния резонанса с энергиями налетающих частиц, приближенные к величине кулоновского входящего барьера была полностью проанализирована.
ВыводыРезультаты анализа представляются следующим образом:
1. Условие поставленной задачи: была исследована ядерная реакция вида (1) с изначально заданными показателями в виде кинетической энергии направленного пучка и массы всех участвующих частиц в ядерной реакции в а. е. м.;
2. Направленные пучки расходуют определённое значение энергии на преодоление кулоновского барьера, обладая остаточной энергией – указывается его найденная величина;
3. Производиться перечисление выходящих частиц из основного канала ядерной реакции, в том числе различных групп гамма-квантов, если таковые имеются с указанием кинетической энергии (где при необходимости также составляется их классификация по энергиям), заряда и тока каждого из них;
4. Если образованные частицы вероятностно могут войти во взаимодействие (подобно аннигиляции позитронов и электронов), то это указывается и приводиться дополнительный список со всеми соответствующими учётами;
5. В соответствии с каждой из реакций приводиться список со всей совершаемой работой в Дж и мощностях в Вт для каждого из типов излучения со всеми составляющими. При этом указывая общие выводы по целям настоящего исследования – общее изучение / генерация электрической энергии / установление выводов по некоторому точному аспекту и т.д., а также выводы по соответствующему направлению: величина генерируемой энергии, выводы по необходимому аспекту, общие научные данные, выводы и т. д.
ЗаключениеНа основе теоретического анализа, рассчитаны энергии образованных частиц и их характер происхождения. Исследованы ядерные реакции с бомбардирующими заряженными частицами с высокими и низкими кинетическими энергиями ядер-мишеней, а также новое введённое резонансное состояние этих ядерных реакций. Таким образом, была представлена новейшая модель исследования и анализа ядерной реакции с возможностью доведения её до состояния резонанса.
Использованная литература1. Romanenko I.M., Holiuk M.I., Nosovsky A.V., Vlasenko T.S., Gulik V.I. Investigations of neutron radiation shielding properties for a new composite material based on heavy concrete and basalt fiber. Nuclear and Radiation Safety. 2023. Volume 3, Number 79, 42pp. – No. 472018.
2. Haubold Hans J., Kabeer Ashik A., Kumar Dilip. Analytic forms of thermonuclear functions. Physica A: Statistical Mechanics and its Applications. Volume 63015. November 2023. No. 129249.
3. Zavestovskaya I.N., Rusetskii A.S., Rusetskii A.S., Oginov A.V., Kocherov V.V., Shpakov K.V., Shemyakov A.E., Ryabov V.A. Investigation of the Yield of the Nuclear Reaction B + p – 3α Near Resonant Energy Using CR-39 Track Detectors. Bulletin of the Lebedev Physics Institute. 2023. Volume 50, Chapter 7, 279 – 284 pp.
4. Zhang H., Su J., Li Z.H., Li Y.J., Li E.T., Chen C., He J.J., Shen Y.P., Lian G., Guo B., Li X.Y., Zhang L.Y. Updated reaction rate of Mg25 (p,γ) Al26 and its astrophysical implication. Physical Review C. 2023. Volume 107, Chapter 6. No. 065801.
5. Dong G.X., Wang X.B., Michel N., Płoszajczak M., Płoszajczak M. Gamow shell model description of the radiative capture reaction B8 (p,γ) C9. Physical Review C. 2023. Volume 107, Chapter 4. No. 044613.
6. Turakulov S.A., Artemov S.V., Yarmukhamedov R. Analysis of the 12C (3He, d) 13N Proton Stripping Reaction to the Resonant State. Russian Physics Journal. 2023. Volume 65, Chapter 12, 2086 – 2093 pp.
7. Aliyev I. X. The collision energy of oncoming beams. A young scientist. International Scientific Journal. Part No.16 (306) /2020. ISSN 2071—0297. Publishing house «Young scientist». 2020. 7—10 pp.
8. Aliyev I. X., Karimov B. X. Linear electron accelerator in power engineering. An exact science. Issue No. 85. Pluto Publishing House. ISSN 2500—1132. 2020. 23—29 pp.
9. Aliyev I. X. On a heuristic idea about the emergence of a new energy technology for generating energy from resonant nuclear reactions. The international scientific journal «All Sciences». Electron Scientific School, Ridero. No. 1, 2022. 13—18 pp.
10. Aliyev I. X., Karimov B. X. Algorithm for the development of accelerator technology. The international scientific journal «All Sciences». Electron Scientific School, Ridero. No. 2, 2022. 9—16 pp.
11. Aliyev I. X. Aluminum resonant nuclear reaction. The international scientific journal «All Sciences». Electron Scientific School, Ridero. No. 3, 2022. 24—44 pp.
12. Aliyev I. X., Jalolov B. R., Karimov B. X. The role of resonant nuclear reactions in modern energy. The role of resonant nuclear reactions in modern energy. The international scientific journal «All Sciences». Electron Scientific School, Ridero. No.6, 2022. 50—113 pp.
13. Aliyev I. X. On the possibilities of mathematical apparatus on the way to creating an intuitive understanding device regarding the phenomena of electromagnetism during the simulation of plasma retention systems in systems of resonant nuclear reactions. The international scientific journal «All Sciences». Electron Scientific School, Ridero. No.6, 2023. 6—31 pp.
14. Aliyev I. X. The relevance and necessity of modern design of technologies based on neutron nuclear reactions with increased accuracy of monochromaticity when carried out on special accelerator technology. The international scientific journal «All Sciences». Electron Scientific School, Ridero. No. 7, 2023. 5—18 pp.
15. Montoya-Castillo Andresa, Markland Thomas E. A derivation of the conditions under which bosonic operators exactly capture fermionic structure and dynamics. Journal of Chemical Physics. 2023. Volume 158, Chapter 97. No. 094112.
16. Di Nitto A., Vardaci E., Davide F., La Rana G., Ashaduzzaman M., Mercogliano D., Setaro P.A., Banerjee T., Vanzanella A., Bianco D., Cinausero M., Gelli N. Clustering effects in Ar36 nuclei produced via the Mg24 + C12 reaction. Physical Review C. 2023. Volume 107, Chapter 2. No. 024615.
17. Wan, Kangnia, Li, Ming, Huang Tinga, Zhang Weia, Zhang Tianjia, Li Xiuqina, Wang Haifengd, Lv Juane. Accurate Determination of Trace Water in Organic Solution by Quantitative Nuclear Magnetic Resonance. Analytical Chemistry. 2023.
18. Kononchuk R., Feinberg J., Knee J., Kottos T. Enhanced avionic sensing based on Wigner’s cusp anomalies. International Conference on Metamaterials, Photonic Crystals and Plasmonics. No. 9482023. 13th International Conference on Metamaterials, Photonic Crystals and Plasmonics, META. 2023. No-1. 300609.
19. Mao Weia, Gong Weia, Gu Zhijieb, Wilde Markus, Chen Jikun, Fukutani Katsuyuki, Matsuzaki Hiroyuki, Fugetsu Bunshi, Sakata Ichiro, Terai Takayukig. Hydrogen diffusion in cerium oxide thin films fabricated by pulsed laser deposition. International Journal of Hydrogen Energy. 2023.
20. Godes Aleksandr I., Shablov Vladimir L. Lawson Criterion for Different Scenarios of Using D-3He Fuel in Fusion Reactors. Izvestiya Wysshikh Uchebnykh Zawedeniy, Yadernaya Energetika. 2023. Chapter 2, 134 – 147 pp.
21. Dorfman Amandaa, Wanhala Annab, Eng Peterb, Stubbs Joanneb, Colon Omara, Donetian Malika, Bracco Jacquelyn N. Inhibition of Strontium Adsorption and Desorption by Ethylenediaminetetraacetic Acid at the Barite (001) -Water Interface. Journal of Physical Chemistry C. 2023
22. Zhang Shizhenga, Xu Haoa, Xu Xing, Wei Wenqinga, Ren Jieru, Chen Benzheng, Ma Bubo, Hu Zhongmin, Li Fangfang, Liu Lirong, Yang Mingzhe, Lai Zeyu. Cross-Section Measurements of the 11B (p, α) 2α Reaction near the First Resonant Energy. Laser and Particle Beams. Volume 2023. 2023. No. 9697329.
23. Paryev E. Ya. Towards clarifying the possibility of observation of the LHCb hidden-charm pentaquarks Pc+ (4312), Pc+ (4337), Pc+ (4440) and Pc+ (4457) in near-threshold charmonium photoproduction off protons and nuclei. Nuclear Physics A. Volume 1029. 2023. No. 122562.
24. Alayafi Hassan Ali, Alruwaili Mubarak, Aljumah Talal Khalid, Alshehri Alid, Alrasheed Deema, Alanazi Muhannad Faleh AlRuwaili, Raed, Ali Naif H., Albarrak Anas Mohammad, AlRashdi Barakat M., Taha Ahmed E. Mycoplasma pneumoniae and Schistosoma mansoni co-infection in a young patient with extensive longitudinal acute transverse myelitis. Journal of Infection in Developing Countries. 2022. Volume 16, Chapter 12, 1933 – 1938 pp.
25. Pelloni Sandro, Rochman Dimitri. Adjustment of JEFF-3.3 data for U-235 and Pu-239 in the fast, non-resonant energy range. Annals of Nuclear Energy. Volume 177. 2022. No. 109296.
26. Liu Fu-Long, He Chuang-Ye, Wang Hao-Ran, Bo Nana, Wu Di, Ma Tian-Li, Yang Wan-Sha, Wei, Ji-Hong, Wang Zhi-Qiang, Liu Yi-Na, Song Ming-Zhe, Liu Yun-Tao. Thick-target yield of 17.6 MeV $gamma$ ray from the resonant reaction 7Li (p, γ) 8Be at Ep = 441 keV. Nuclear Instruments and Methods in Physics Research, Section B: Beam Interactions with Materials and Atoms. 2022. Volume 529, 56 – 60 pp.
DEVELOPMENT OF PRICE ACTION PREDICTION ALGORITHMS IN PYTHON
UDK: 510.9
Xolmatova Nilufarxon Jahongir qiziStudent of the TUIT xolmatovan44@gmail.com
Abdurasulova Dilnoza Botirali kizi
assistant of the Fergana branch of the TUIT
abdurasulovad1@gmail.com
Abstract. This article explores the development of advanced price action prediction algorithms using Python. The study focuses on employing machine learning techniques to forecast future price movements in financial markets. Through extensive backtesting and evaluation, the effectiveness of these algorithms is assessed. The implementation is carried out in Python, utilizing popular libraries such as Pandas, NumPy, and Scikit-learn. The research aims to contribute to the field of algorithmic trading by providing insights into the design and performance of predictive models for price action.
Keywords: Algorithmic trading, Price action prediction, Machine learning, Python, Financial markets.
IntroductionIn the rapidly evolving landscape of financial markets, algorithmic trading has gained prominence. This section discusses the significance of price action prediction algorithms and their role in facilitating informed trading decisions. It also outlines the objectives of the study, emphasizing the need for accurate and reliable forecasting models. The introduction provides a contextual background on algorithmic trading and the challenges associated with predicting price movements.
Literature Review and Methodology: This segment delves into the existing literature on algorithmic trading strategies and price prediction models. A comprehensive review is conducted to identify key approaches and methodologies adopted by previous researchers. The methodology section details the data collection process, the choice of features, and the machine learning algorithms employed. The rationale behind the selection of Python as the programming language is also elucidated.
Razin S.A.’s article» Что должен знать разработчик на языке python, работая в сфере data science» states the following points: Machine learning is another field of computerization development. Its main task is the computer’s ability to learn to recognize faces, voices, select pictures or movies on YouTube, taking into account the user’s previously watched videos. That is, it should not work only using pre-written code. [1]
Machine learning is another area of computerization development. Its main task is the computer’s ability to learn to recognize faces, voices, select pictures or movies on YouTube, taking into account the user’s previously watched videos. That is, it should not work only using pre-written code. Разин Сергей Александрович
Anupa S. Dash, Ujjwal Mishra’s article ” Sentiment Analysis Using Machine Learning for Forecasting Indian Stock Trend: A Brief Survey» the above results are quoted. [2]

Fig. 1.Types of Investors Holding in Percentage the Ownership of NSE-Listed Companies as of December 2020 [1]

Fig. 2. Types of Investors Participate in the Capital Market at NSE (in %) [2]
The movement of the price of a particular stock can behave the same way for a few days, a few weeks, or even months based on demand and supply.
The direction of price movement is termed a trend. The trend can be upward or downward. An upward trend is formed when the price movement makes higher swing highs and higher swing lows. A downward trend is formed when the price movement makes lower swing lows and lower swing highs. The trends are measured for the short-term, medium-term or intermediate-term, and long term. The short-term trend can be the price movement in the same direction for a few days to a few weeks; the medium-term trend can be the price movement in the same direction for a few weeks to a few months; and the long-term trend can be the price movement in the same direction from a few months to a few years.
MethodsThe methodology section is dedicated to a detailed explanation of the steps involved in developing the price action prediction algorithms. It covers data preprocessing, feature engineering, model selection, and performance evaluation metrics. The implementation of various machine learning models such as Random Forest, Support Vector Machines, and Neural Networks is discussed. Special attention is given to the hyperparameter tuning process for optimizing model performance.
1. Data Collection and Preprocessing:
Gather historical price data for the financial instrument of interest (e.g., stocks, cryptocurrencies).
Ensure the data includes relevant features such as Open, High, Low, Close prices, and volume.
Handle missing data and outliers through imputation or removal.
Convert timestamps to datetime objects for time-series analysis.
2. Feature Engineering:
Create additional features that might capture important information for prediction, such as moving averages, relative strength index (RSI), or other technical indicators.
Lag features can be used to incorporate past price movements.
3. Target Variable Creation:
Define the target variable, indicating the direction of future price movements (e.g., 1 for price increase, 0 for decrease).
4. Data Splitting:
Split the dataset into training and testing sets. Common ratios include 80% training and 20% testing.
5. Model Selection:
Choose a machine learning algorithm suitable for time-series prediction. Common choices include Random Forest, Support Vector Machines, and Neural Networks.
Experiment with different algorithms to see which performs best for your specific dataset.
6. Model Training:
Train the selected model on the training dataset, using features as input and the target variable as output.
7. Hyperparameter Tuning:
Fine-tune the model’s hyperparameters to improve performance. Grid search or random search can be employed for optimization.
8. Model Evaluation:
Evaluate the model on the testing dataset using relevant metrics like accuracy, precision, recall, and F1-score.
Employ backtesting techniques to assess the algorithm’s performance on historical data.
9. Optimization and Refinement:
Adjust the model or features based on the evaluation results.
Consider incorporating more sophisticated techniques like ensemble methods or deep learning if needed.
10. Deployment:
Once satisfied with the model’s performance, deploy it for real-time or batch prediction.
11. Continuous Monitoring and Updating:
Monitor the model’s performance over time and update it as needed to adapt to changing market conditions.
Remember that financial markets are complex, and predicting price movements with high accuracy is challenging. It’s crucial to stay informed about the latest advancements in machine learning and finance and continuously refine your models based on market dynamics. Additionally, consider risk management strategies to mitigate potential losses.
ResultsThis section presents the outcomes of the developed algorithms through thorough analysis and interpretation of results. Performance metrics, including accuracy, precision, and recall, are discussed to evaluate the effectiveness of the models. Backtesting results on historical data are provided to showcase the algorithms’ practical utility in real-world scenarios. The section also highlights any challenges encountered during the implementation and potential areas for improvement.

Fig 3. Example for algoritms structure.
# Import necessary libraries
import pandas as pd
from sklearn.model_selection import train_test_split
from sklearn. ensemble import RandomForestClassifier
from sklearn.metrics import accuracy_score
# Load historical price data
# Assuming you have a CSV file with columns: Date, Open, High, Low, Close
data = pd.read_csv (’historical_prices. csv’)
# Feature engineering – calculating moving averages
data [«MA5»] = data['Close'].rolling(window=5).mean ()
data [«MA10»] = data['Close'].rolling(window=10).mean ()
# Create a binary target variable: 1 if the price will go up, 0 if it will go down
data [«Target’] = (data['Close'].shift (-1)> data['Close']).astype (int)
# Drop missing values and unnecessary columns
data. dropna (inplace=True)
data = data [[«MA5», «MA10», «Target’]]
# Split the data into training and testing sets
X = data. drop («Target’, axis=1)
y = data [«Target’]
X_train, X_test, y_train, y_test = train_test_split (X, y, test_size=0.2, random_state=42)
# Train a Random Forest Classifier
model = RandomForestClassifier (n_estimators=100, random_state=42)
model.fit (X_train, y_train)
# Make predictions on the test set
predictions = model.predict (X_test)
# Evaluate the model
accuracy = accuracy_score (y_test, predictions)
print (f’Model Accuracy: {accuracy}»)
Listing 1. Example Random tactic action algoritms solve problems.
In this example, we use moving averages as features to predict whether the price will go up or down the next day. The Random Forest Classifier is used as the machine learning model. Please adapt and expand upon this example based on your specific requirements, and consider additional features, hyperparameter tuning, and more sophisticated algorithms for a real-world scenario.
Внимание! Это не конец книги.
Если начало книги вам понравилось, то полную версию можно приобрести у нашего партнёра - распространителя легального контента. Поддержите автора!