Читать книгу "Люди, которые играют в игры"
Автор книги: Эрик Берн
Жанр: Зарубежная психология, Зарубежная литература
Возрастные ограничения: 16+
сообщить о неприемлемом содержимом
Похоже, что у каждого человека в голове сидит маленький фашист. Он гнездится в глубочайших пластах сознания (Ребенок в Ребенке). У цивилизованных людей он обычно погребен под слоями социальных идеалов и навыков, но при наличии соответствующих разрешений и предписаний (как неоднократно свидетельствовала история) он может освободиться и расцвести пышным цветом. В менее цивилизованных слоях общества он и вовсе не скрывается и ждет первой благоприятной возможности для самовыражения. В обоих случаях это мощное средство, продвигающее сценарий: в первом случае – тайно, подспудно и иногда безотчетно; во втором – открыто, грубо и даже гордо. Но можно утверждать, что тот, кто не осознает наличия этого маленького фашиста в себе, утрачивает над ним контроль. Он перестает думать о своем поведении и сам не понимает, в каком направлении движется. Хороший пример представляет собрание «консерваторов», один из которых замечает, что восхищается некоторыми азиатскими племенами, которые так хорошо следят за своими природными ресурсами, «гораздо лучше, чем мы». Гуманист возражает: «Да, но у них ужасающая детская смертность». «Хо-хо, – говорит «консерватор», – ну и что с того? Детей на свете и так слишком много».
Фашистом можно назвать человека, который не уважает жизнь других и рассматривает ее как свою добычу. Это высокомерное отношение, несомненно, является реликтом доисторического сознания, дошедшей до наших дней радостью каннибализма и массовых убийств. Для охотящихся хищных антропоидов безжалостность означает эффективность, а жадность мотивируется голодом. Но по мере развития человеческого мозга в процессе естественного отбора эти качества не исчезли. Когда они перестали быть необходимыми для выживания, исчезла прямая связь между ними и первоначальной целью – раздобыть обед на сегодня, – и они превратились в необязательную роскошь, которой один человек может наслаждаться за счет других. Безжалостность превратилась в жестокость, жадность – в эксплуатацию и воровство. Поскольку добыча – сырое мясо и особенно человеческое мясо – сменилась более удобными для усвоения продуктами, эти тайные свойства человека стали направляться на удовлетворение психологического голода. Удовольствия пытки сменили наслаждение еды или стали предшествовать ему. «Хе-хе» происходит от «ням-ням». Стало менее важным убить его (или ее), чем видеть и слышать его (или ее) мучения и крики. Такова сущность фашизма: поиски жертвы, которую можно пытать и унижать, доказывая ее слабость.
У низкопоклонства и пресмыкательства есть два побочных результата, которые дают преимущества агрессору. Первый, биологический, результат – это сексуальное удовольствие и возбуждение, когда с жертвой можно совершать самые извращенные поступки. Самым распространенным среди них является анальное насилие. Пытка создает странную интимную близость между жертвой и палачом, возможность глубоко заглянуть друг другу в душу, которой часто им обоим не хватало всю жизнь. Другой побочный продукт чисто коммерческий. У жертвы всегда есть ценности, из которых можно извлечь выгоду. Для каннибалов – это сила, которую можно извлечь из волшебных органов: сердца, яичек или даже уха. Для людей технически подкованных – это мыло из человеческого жира и золотые коронки. Эти плоды пожинаются, когда ужасы пыток остаются в прошлом, когда и палачи, и жертвы становятся «анонимными».
Человеческий зародыш, развиваясь, повторяет все стадии эволюции. Иногда он застревает на одной из ранних стадий и рождается с рудиментами, такими как жаберные щели. Дети в процессе роста проходят через всю предысторию человечества, через стадии охоты, земледелия и промышленности и могут застрять на любой из этих стадий. Но в каждом остается что-то от всех пройденных стадий.
Маленький фашист в каждом человеке – это маленький палач, который выясняет слабости жертвы и пользуется или наслаждается ими. Если это происходит открыто, человек бьет калеку или становится насильником, иногда оправдывая свои поступки жестокостью жизни, объективными причинами или несправедливостью к себе. Но большинство людей подавляют эти тенденции, делая вид, что их совершенно не существует, когда же они проявляются, пытаются оправдать их или в страхе выдать за что-нибудь другое. Некоторые даже пытаются продемонстрировать свою невинность, сознательно становясь жертвами, а не агрессорами. Они действуют по принципу: лучше пролить свою кровь, чем чужую, но тем не менее кровь им необходима.
Эти примитивные первобытные стремления переплетаются с наставлениями, предписаниями и разрешениями сценария и становятся основанием для игр «третьей степени», связанных с пролитием крови. Тот, кто делает вид, что этих сил не существует, становится жертвой. Весь его сценарий может быть направлен на демонстрацию того, что он свободен от этих сил. Но так как он все-таки от них не свободен, это отказ от самого себя и поэтому от права самому определять свою судьбу. Решение не в том, чтобы, как поступают многие, сказать: «Как это страшно!» Нужно сказать: «Что я могу с этим сделать?» Лучше быть мучеником, чем троглодитом, то есть человеком, который отрицает, что происходит от обезьяны, потому что сам еще не порвал с ней.
Важно сознавать, что врожденная склонность к геноциду не исчезла за последние пять тысяч лет, независимо от генетической эволюции, происходившей в этот период; она остается неподвластной воздействию окружения и общества. Один из таких аспектов – предубеждение против людей с темной кожей, которое сохранилось неизменным со времен Древнего Египта; «жалкие люди Каша» в папирусах и сегодня представляют угнетенное негритянское население по всему миру. Другой аспект – военное «найти и уничтожить». Например: «234 вьетконговца попали в засаду и уничтожены» и «Во Вьетнаме убито 237 крестьян» (из отчетов армии США за 1969 год).
Сравните: «800 их солдат убил я своими руками; народ их я сжег; их мальчиков и девочек лишил чести. Я сложил в груду тысячу трупов их воинов. Первого мая я убил 800 их бойцов, сжег множество домов, обесчестил их юношей и девушек» и так далее (из ежегодных записей Ашшурнасирпала, колонка вторая, примерно 870 год до нашей эры).
Таким образом, на протяжении по крайней мере 2800 лет находилось немало охотников подсчитывать трупы. Причем «своих» всегда заносят в списки потерь, а «чужих» – в перечень трупов, мертвецов или тел.
Ж. Смелый шизофреникПомимо биологических и психологических характеристик человеческого организма, которые позволяют запрограммированному сценарию определять судьбу человека, само общество устроено так, чтобы лишить его остатков независимости. Это достигается путем заключения социального трансакционного контракта: «Ты принимаешь мою персону (то есть то, как я хочу выглядеть в чужих глазах), а я принимаю твою». Всякое нарушение этого контракта, если только оно делается не в специальной группе, давшей особое разрешение, рассматривается как грубость. В результате контракта устраняется конфронтация между членами группы и внутренняя конфронтация, поскольку за таким социальным контрактом скрывается контракт между тремя аспектами личности. Родитель, Ребенок и Взрослый договариваются принимать представление каждого о себе, и не каждый решится нарушить такой контракт, даже когда это необходимо.
Отсутствие конфронтации хорошо видно в случаях шизофреников и их врачей. Большинство врачей (судя по моему опыту) утверждают, что шизофрения неизлечима. Под этим утверждением они понимают: «Шизофрения неизлечима с помощью моей психоаналитической терапии, и будь я проклят, если стану делать что-нибудь еще». Поэтому они успокаиваются на том, что называют «улучшением». Но улучшение только означает, что шизофреник чувствует себя увереннее в своем безумном мире, но не может из него выйти, и поэтому мир полон смелыми шизофрениками, живущими по своим трагическим сценариям с помощью гораздо менее смелых терапевтов.
Еще два высказывания популярны среди терапевтов, как и в обществе в целом: «Нельзя указывать человеку, что ему делать» и «Я не могу тебе помочь, тебе придется помочь себе самому». Оба эти высказывания – откровенная ложь. Можно сказать человеку, что он должен делать, и многие последуют этому совету и отлично справятся. И можно помогать людям, если они не могут помочь себе сами. После того как вы им помогли, им нужно только встать и продолжать заниматься своими делами. Но с помощью таких призывов общество (я имею в виду всякое общество) побуждает людей оставаться в пределах собственных сценариев и исполнять их до самого трагического конца. Сценарий просто означает, что когда-то давно кто-то сказал человеку, что делать, и этот человек решил так и поступать. Это доказывает, что людям можно говорить, что делать; собственно, им все время говорят это, особенно в детстве. Так что если вы предложите человеку сделать что-то иное, по сравнению с указаниями родителей, он может решить последовать вашему совету или указанию. Хорошо известно, что человека можно заставить напиться, или покончить с собой, или убить кого-нибудь; следовательно, ему можно также помочь перестать пить, перестать убивать себя или других. Несомненно, можно дать человеку разрешение что-то сделать или перестать делать определенные вещи, как ему приказали в детстве. Вместо того чтобы помогать людям смело жить в старом несчастном мире, можно помочь им жить счастливо в прекрасном новом мире.
Итак, мы перечислили семь факторов, которые делают возможным сценарий и поддерживают его существование: пластичное лицо, подвижное Я, зачарованность и импринтинг, незаметные воздействия, раннее и позднее «зажигание», маленький фашист и согласие окружающих. Но одновременно дали и практичные средства от каждого из этих факторов.
З. Кукла чревовещателяКогда возник психоанализ, он отодвинул в сторону многие ценные находки предшественников. Так, свободные ассоциации сменили насчитывающую столетия традицию интроспекции. Свободные ассоциации, связанные непосредственно с содержанием сознания, должны позволить психотерапевту возможность определить, как действует мозг. Но сделать это можно только тогда, когда мозг перестает действовать нормально. Невозможно определить, как работает закрытый механизм («черный ящик»), пока он работает нормально. Можно только определить, когда он начинает делать ошибки, или заставить его сделать их, сунув, например, палку в колеса. Поэтому свободные ассоциации позволяют достичь только того, чего достигла психопатология: проанализировать переключения, вторжения, ошибки и сны.
С другой стороны, интроспекция снимает крышку с «черного ящика» и позволяет Взрослому всмотреться в собственный мозг, чтобы понять, как он работает: как складываются предложения, откуда приходят зрительные образы и какие голоса управляют поведением. Мне кажется, что первым психоаналитиком, который возобновил эту традицию и стал специально изучать внутренние диалоги, был Федерн.
Почти каждый в свое время говорил самому себе: «Тебе не нужно было это делать!» и, может, даже заметил, что сам же себе ответил: «Но мне пришлось!» В данном случае Родитель говорит: «Тебе не нужно было это делать!», а Взрослый или Ребенок отвечает: «Но мне пришлось!» Это буквально воспроизводит разговоры, происходящие в детстве. Но что происходит на самом деле? Существуют три «степени» такого мысленного диалога. При первой степени слова возникают в сознании человека как тени, без мышечных движений, во всяком случае, без заметного для невооруженного глаза или уха напряжения мышц. При второй степени человек может почувствовать, как слегка напрягаются голосовые связки, так что он как бы шепчет самому себе; в особенности при этом заметны легкие перемещения языка. При третьей степени он произносит слово вслух. Третья степень имеет место в некоторых особо напряженных обстоятельствах, когда человек идет по улице и разговаривает сам с собой, а прохожие смотрят на него и думают, что он спятил. Есть еще и четвертая степень, при которой кажется, что один из внутренних голосов приходит извне. Обычно это голос Родителя (истинный голос отца или матери), и в таком случае человек галлюцинирует. Его Ребенок может ответить на голос Родителя, а может и не ответить, но в любом случае этот голос влияет на поведение.
Поскольку говорить с самим собой считается ненормальным, почти у всех существует предубеждение против того, чтобы прислушиваться к внутренним голосам. Но если дано необходимое разрешение, такой способностью легко овладеть. И тогда почти любой человек может услышать внутренний диалог, происходящий в его сознании, и это наилучший способ установить, каковы родительские предписания, родительский образец и управляющие механизмы сценария.
Сексуально возбужденная девушка начинает про себя молиться, чтобы быть в состоянии сопротивляться соблазнам своего друга. Она ясно слышит наставление Родителя: «Будь хорошей девочкой, а когда испытываешь соблазн, молись». Мужчина, ввязавшийся в драку, пытается сохранить хладнокровие и отчетливо слышит голос отца: «Не маши руками, как ветряная мельница!» Это часть отцовского образца: «Вот как нужно драться в баре». Вступает он в драку из-за провокационного голоса матери: «Ты совсем как отец: когда-нибудь тебе в драке выбьют зубы». В самый критический момент биржевой спекулянт ценными бумагами слышит голос демона: «Не продавай, покупай». Он отказывается от тщательно продуманного плана операции, теряет весь капитал – и все, что он может после этого сказать: «Ха-ха».
Голос Родителя действует как чревовещатель. Он захватывает речевой аппарат, и человек обнаруживает, что произносит слова, исходящие от кого-то другого. И если только не вмешается Взрослый, будет исполнять указания голоса, так что его Ребенок действует точно как кукла чревовещателя. Эта способность подчиняться чужой воле, часто не осознавая происходящего, способность передавать другим контроль над речевыми мышцами и над остальными мышцами тела и делает возможным вмешательство сценария в нужный момент.
Чтобы избавиться от этого, нужно прислушиваться к голосам у себя в голове и позволить Взрослому решать, следовать ли указаниям или нет. Таким образом человек освобождается от Родителя-чревовещателя и становится хозяином своих поступков. Чтобы добиться этого, он нуждается в двух разрешениях, которые может сам дать себе, но которые могут прийти и от кого-то другого, например от терапевта.
1. Разрешение слушать внутренний диалог.
2. Разрешение не следовать приказам Родителя.
В этом есть некоторая опасность, и человек, который решится отвергнуть указания Родителя, может нуждаться в защите. Одна из задач терапевта – предоставить эту защиту, если пациент решится отказаться от своего Родителя-чревовещателя и попытаться стать не куклой, а реальным человеком.
Следует добавить, что, если голоса Родителя указывают пациенту, что он должен делать, а чего не должен, зрительные образы, посылаемые Ребенком, говорят о том, что он хотел бы сделать. Желания видимы, а приказы слышны.
И. Еще немного о демонеВсе описанные выше факторы в той или иной степени работают на осуществление сценария, причем многие из них человек не воспринимает на сознательном уровне. Теперь мы подошли к ключевому фактору, который не только делает сценарий возможным, но и дает ему главный толчок. Это демон, который подталкивает человека к краю наклонной плоскости, когда тот уже на самом пороге успеха, причем бедняга даже не успевает осознать, что с ним произошло. Но, оглядываясь назад, даже если он никогда не слышал голосов в своем сознании, один голос он обычно вспоминает: голос демона, который вкрадчиво убеждает: «Давай сделай это!» И он делает это, вопреки всем предупреждениям, вопреки остальным силам, которые тщетно стараются его удержать. Это демон – внезапный сверхъестественный толчок, определяющий судьбу человека, голос из Золотого века, ниже богов, но выше человека, может быть, голос падшего ангела. Так говорят историки, и, может быть, они правы. Согласно Гераклиту, демон человека – это его характер. Но этот демон, по словам тех, кто с ним знаком, побежденных, которые с трудом поднимаются после падения, – этот демон не отдает громовые приказы, как призрак могучего бога, а говорит вкрадчивым, соблазнительным шепотом, как соблазнительная женщина, как чаровница: «Сделай это. Давай. Почему бы и нет? Что ты теряешь? Все! Но взамен получишь меня, как в Золотом веке».
Это повторяющееся влечение, которое ведет человека к его судьбе, притяжение смерти, по Фрейду, или сила богини Ананке.[46]46
В греческой мифологии – божество неизбежности, неотвратимости. – Прим. пер.
[Закрыть] Но Фрейд помещает этот голос в какой-то загадочной биологической сфере, тогда как на самом деле это голос соблазна. Спросите мужчину или женщину, знакомых со своим демоном и знающих его силу.
Средством против демона всегда были заговоры и заклинания. Так же следует поступать и в данном случае. Каждый Неудачник должен носить это заклинание в бумажнике или сумочке и помнить: когда до успеха рукой подать, наступает самое опасное время. Пора доставать заклинание и снова и снова перечитывать его вслух. И когда демон начинает шептать: «Протяни руку – и поставь все на один номер, или пора доставать нож, или хватай его (ее) за горло и тащи к себе», уберите руку и скажите громко и четко: «Нет, мама, я лучше поступлю по-своему и добьюсь победы».
К. Подлинная личностьАнтитеза сценарию – реальная личность, живущая в реальном мире. Реальная личность – это, вероятно, реальное Я, которое может переходить от одного состояния к другому. Когда люди хорошо узнают друг друга, они могут проникнуть под покровы сценария, в глубину, где находится подлинная личность; именно эту часть другого человека мы уважаем и любим, с ней мы испытываем моменты настоящей близости, прежде чем верх снова возьмет родительское программирование. Это возможно, потому что уже происходило и раньше в жизни большинства. Наиболее интимные и свободные от влияния сценария отношения – отношения между матерью и младенцем. Во время кормления мать обычно отказывается от сценария, полагаясь на инстинкты, а у ребенка сценария еще вообще нет.
Что касается лично меня, то я не знаю, играю ли я по-прежнему по чужим нотам или нет. Если да, я с интересом, но без страха жду следующей ноты, пытаясь угадать, ждет меня гармония или диссонанс. Даже и в этом случае моя жизнь полна смысла, потому что я следую долгой и славной традиции своих предков, переданной мне родителями. Вероятно, эта мелодия гораздо благозвучнее, чем мог бы сочинить я сам. При этом я точно знаю, что существуют большие области, в которых я могу свободно импровизировать. Возможно даже, что я один из тех редких счастливцев, которые могут полностью сбросить наручники и вести свою мелодию. В таком случае я храбрый импровизатор, в одиночестве противостоящий миру. Но делаю ли я вид, что играю на фортепиано, или на самом деле извлекаю ноты посредством своих рук и сознания, звучит песня моей жизни, полная сбывшихся ожиданий и неожиданностей, усиленная резонатором судьбы, – баркарола, которая, я надеюсь, будет звучать и тогда, когда меня не станет.
Глава 15
Передача сценария
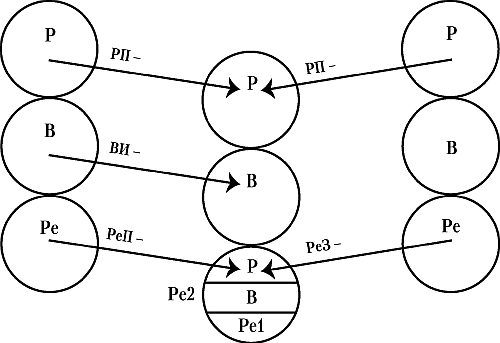
А. Сценарная матрицаСценарная матрица – это диаграмма, предназначенная для того, чтобы иллюстрировать и анализировать директивы, переданные родителями и предками нынешнему поколению. В эту относительно простую схему можно вместить поразительное количество информации. Сценарные матрицы были начерчены для некоторых случаев, представленных в главах шестой и седьмой (рисунки 6, 8 и 9), настолько точно, насколько позволяет имеющаяся информация. На практике задача заключается в том, чтобы отделить решающие родительские предписания и решающий родительский образец поведения – тему сценария – от «шума» или внешних помех; это вдвойне трудно, поскольку не только сам человек, но и все окружающие его по мере возможностей препятствуют этому отделению. Поэтому трудно выделить шаги, ведущие к сценарному выигрышу, к счастливому или трагическому финалу. Иными словами, люди прилагают большие усилия, чтобы скрыть сценарий и от самих себя, и от окружающих. Это совершенно естественно. Возвращаясь к предыдущей метафоре, можно сказать, что человек, сидящий за пианино и движущий пальцами в иллюзии, что сам производит музыку, не хочет, чтобы кто-нибудь посоветовал ему заглянуть во внутренности пианино, и аудитория, наслаждающаяся концертом, тоже этого не хочет.
Стайнер, изобретатель сценарной матрицы, следует такой схеме: родитель противоположного пола говорит ребенку, что делать, а родитель того же пола показывает, как делать (см. историю Батча). К этой основной схеме Стайнер делает очень важные добавления. Он развивает схему, уточняя, что делает каждое состояние Я родителей. Он постулирует, что Ребенок в родителе дает предписания, а Взрослый в родителе дает ребенку его «программу» (которую мы назвали также родительским образцом). Стайнер добавляет новый элемент – антисценарий, приходящий от Родителя родителей. Стайнеровская версия матрицы появилась в результате работы с алкоголиками, наркоманами и «социопатами». У них трудные, трагические сценарии третьей степени (которые сам Стайнер называет «хамартическими»). В его матрицах, следовательно, отражается строгое предписание «безумного Ребенка», но сюда же можно отнести также искушения, провокации и предписания, которые исходят от Родителя в родителях, а не от их «безумного Ребенка» (см. матрицу Батча, рис. 6).
Хотя остается еще немало вопросов, которые следует прояснить в дальнейших экспериментах, схема, показанная на рис. 8, годится для многих случаев как промежуточная модель, имеющая большое значение в клинической практике, а также в работах по психологии развития, социологии и антропологии, что будет показано ниже. Такая «стандартная» матрица показывает предписания и провокации, исходящие от Ребенка родителей, обычно от родителя противоположного пола. Если эта матрица будет признана универсальной, мы узнаем много нового о том, что определяет судьбу человека и каким образом судьбоносный сценарий передается от одного поколения к другому. Наиболее важный принцип теории сценариев поэтому можно изложить следующим образом: «Ребенок родителей образует Родителя Ребенка» или «Родитель ребенка есть Ребенок Родителя». Это легко понять с помощью диаграммы, не забывая, что Ребенок и Родитель с прописной буквы – это состояния Я, а ребенок и родитель со строчной буквы – реальные люди.
Незаполненную сценарную матрицу, как на рис. 14, можно начертить на доске и использовать во время групповой встречи или при изучении сценарной теории. Анализируя индивидуальные случаи, нужно вначале записать родителей в соответствии с полом пациента, затем мелом вдоль стрел записать лозунги, образцы, предписания и провокации. Это дает наглядное представление решающих сценарных трансакций и приводит к диаграммам, аналогичным изображенным на рисунках 6, 8 и 9. С помощью такой схемы вскоре можно будет установить, что сценарная матрица сообщает то, о чем не говорилось раньше.

Рис. 14. Незаполненная сценарная матрица
Люди с хорошими сценариями могут интересоваться сценарной теорией только из академического интереса, если, конечно, сами не собираются стать терапевтами. Но для того чтобы вылечить пациента, нужно выявить предписания как можно в более чистой форме, и в этом случае очень полезна аккуратно начерченная сценарная матрица.
Наилучший способ получить информацию, необходимую для заполнения этой матрицы, – задать пациенту четыре вопроса: 1. Каков был любимый лозунг ваших родителей? Он даст ключ к антисценарию. 2. Какую жизнь вели ваши родители? Наилучший ответ будет получен при длительном знакомстве с пациентом. Чему бы ни учили его родители, он будет снова и снова это делать, и это повторение позволит определить его социальный образец: «Он сильно пьет», «Она сексуальная девушка». 3. Каков был родительский запрет? Это наиболее важный вопрос для понимания поведения пациента и планирования решительного вмешательства, которое позволило бы пациенту жить свободно. Поскольку его симптомы – это замена запрещенного акта, а также протест против запрета, как показал еще Фрейд, освобождение от запрета избавит пациента и от симптомов. Требуется опыт и проницательность, чтобы отличить родительский запрет от фонового «шума». Наиболее надежные ключи предоставляет ответ на четвертый вопрос: 4. Какие ваши поступки заставляли родителей улыбаться или смеяться? Ответ позволяет выяснить, какова альтернатива запрещенному действию.
Стайнер считает, что запрет в случае алкоголика – «Не думай!» и пьянство – программа замены мышления. Отсутствие мышления легко заметить, если прислушаться к тем банальностям, к которым сводятся диалоги игроков-«алкоголиков»; еще больше банальностей они навязывают друг другу при «алкогольной» групповой терапии. В них утверждается, что «алкоголики» не реальные люди и с ними нельзя обращаться как с реальными людьми, но это неправда. Героин вызывает еще большее привыкание и более зловещие последствия, чем алкоголь, и Синанон неопровержимо доказал, что наркоманы – реальные люди. Реальная личность в обоих случаях проявляется, когда алкоголик или наркоман отказывается слушать голоса в голове, которые подталкивают его сохранять свою дурную привычку, подкрепляя свои призывы время от времени физическими требованиями. Похоже, что транквилизаторы и фенотиазин эффективны отчасти потому, что заглушают родительские голоса, которые держат Ребенка в возбужденном состоянии и смущают своими постоянными «Нельзя» и «Ха-ха».
Короче, чтобы заполнить сценарную матрицу, которая стала бы похожа на рисунки 6, 8 и 9, нужно выяснить родительское предписание (РП), образец или инструкцию (ВИ), запрет (РеЗ), а также провокацию (РеП).
Самые сильные сценарные указания даются в семейных драмах (глава 3), которые в одних случаях усиливают сказанное родителями, в других – разоблачают родителей как лжецов. Это сцены, которые самым мучительным образом запечатлевают в сознании ребенка то, что он, по мнению родителей, должен знать о своем сценарии. Следует помнить, что сказанное вслух слово оказывает такое же глубокое и длительное воздействие, как и так называемая «невербальная коммуникация».