Читать книгу "Концепции современного естествознания"
Электромагнитная теория базируется на естественнонаучном материализме и следующих принципах теории электромагнитного поля:
1) материя континуальна (непрерывна);
2) электромагнитное поле материально;
3) материя и движение связаны неразрывно;
4) пространство, время и движущаяся материя связаны между собой.
В электромагнитной картине мира материя существует в двух видах – как вещество и как поле. Это две формы существования материи – они не могут переходить одна в другую и строго разделены. Основополагающим является поле, имеющее континуальные характеристики, а не вещество с его дискретностью.
В годы создания электромагнитной картины мира пространство представлялось как пустое, но заполненное эфиром (о свойствах и качествах которого не было единого мнения). После появления специальной теории относительности от идеи эфира отказались. Пространство стало пониматься как единое со временем и образующее единый четырехмерный мир; свойства пространственно-временного континуума зависят от распределения и движения материи. Человек воспринимает пространство и время как проекции, то есть отдельно друг от друга. Электромагнитная картина мира ввела понятие мировой точки, то есть события с некой частицей, которая из одной точки четырехмерного пространства-времени перемещается в другую по траектории, которую называют мировой линией.
В основе электромагнитной картины мира лежит рассмотрение двух видов взаимодействий близкого порядка – гравитационного и электромагнитного, которые относятся к полевому взаимодействию. Эйнштейн пытался свести эти взаимодействия к единому, объединив гравитационное и электромагнитные поля, и создать единую теорию поля, но не успел. Единой теории поля не существует и сегодня (есть теория взаимодействия слабого, сильного, электромагнитного поля, проблема с гравитацией).
Основополагающими являются принципы: относительности Эйнштейна, близкодействия, постоянства и предельной скорости света, эквивалентности инертной и гравитационной масс, причинности, взаимосвязи массы и энергии.
Однако электромагнитная картина мира не могла объяснить некоторых явлений (соотношения между полем и зарядом, устойчивость атомов, их спектры, явление фотоэффекта, излучение абсолютно черного тела и т. п.), и на смену ей пришла квантово-полевая картина мира.
Квантово-полевая картина мира
В основе квантовой физики лежат идеи о квантовании физических величин и корпускулярно-волновом дуализме. Квантованными называются физические величины, которые могут принимать лишь определенные дискретные значения, а выражение таких величин через квантовые числа называется квантованием. Идея квантования относится к концу XIX—началу XX вв. и связана с рядом открытий в физике и получением определенных экспериментальных данных.
Большое значение для появления и развития квантовой физики имело открытие электрона, который обладал сверхмалым отрицательным зарядом. Для выражения заряда электрона пришлось применить способ, названный квантованием. Математическое выражение силы заряда через квантование для электрона выглядит как q = ±n · e.
Толчком для развития квантовых представлений о мире явились и противоречия в существующей электромагнитной теории, которые привели к испугавшим научный мир расчетам и разговорам об ультрафиолетовой катастрофе. Суть сводилась к тому, что рассчитанная энергия теплового излучения на всех частотах равнялась бесконечности, а такого не могло быть, исходя из закона сохранения энергии, и говорило неверной теории либо близкой космической катастрофе.
Планк предложил новую теорию, предполагавшую, что электромагнитное излучение испускается отдельными порциями (квантами), величина которых пропорциональна частоте излучения, поэтому энергия может принимать лишь дискретные значения, равные целому числу квантов энергии. В рамках этой теории закон сохранения энергии соблюдался, а сама гипотеза Планка легла в основу квантовой физики.
Экспериментально квантовую теорию подтверждало явление фотоэффекта (выбивание электронов из вещества под действием света), для которого были выявлены следующие закономерности: независимость энергии выбиваемых электронов от интенсивности света и зависимость от частоты световой волны; наличие для каждого вещества минимальной частоты, при которой фотоэффект возможен («красной» границы фотоэффекта). Объяснить их электромагнитной теорией было невозможно. Эйнштейн предположил, что свет представляет собой поток световых частиц – квантов, которые позже были названы фотонами. Таким образом, в основе света лежит как волновая, так и корпускулярная природа.
Эксперименты доказали, что свет имеет дуальную природу, и распределение волновых или корпускулярных свойств зависит от длины волны: чем она меньше, тем сильнее проявляются корпускулярные свойства света: E = h · ν. Физик де Бройль в 1924 г. высказал идею, что аналогичными дуальными свойствами обладает не только свет, но и другие элементарные частицы: в одних условиях они ведут себя как корпускулы, в других – как волны. Если частица ведет себя как волна, она не проявляет корпускулярных свойств, если она ведет себя как корпускула, она не проявляет волновых качеств, то есть в конкретный момент она является либо корпускулой, либо волной, и никогда вместе.
В 1927 г. Нильс Бор сформулировал принцип дополнительности, который гласит, что, как бы далеко ни выходили явления за рамки классического физического объяснения, все опытные данные должны описываться при помощи классических понятий, то есть квантово-механические явления должны описываться при помощи двух взаимоисключающих (дополнительных) наборов классических понятий, и только их совокупность может дать полную информацию о рассматриваемых явлениях как о целостных.
По современным понятиям, квант не является в полном смысле ни корпускулой, ни волной, он соединяет свойства частиц и свойства волн, образуя некий третий объект, который в силу узости нашего сознания не может быть воспринят и описан в едином понятии.
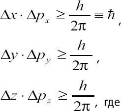
Принципы классической физики оказались неприменимы для мира сверхмалых частиц. В классической механике движение частиц описывается по существующим правилам: у частицы существуют конкретная траектория движения, конкретные координаты в пространстве, неизменная масса и энергия. Поведение частицы в микромире этим правилам не подчиняется. Микрочастица в силу волновых свойств не имеет ни траектории, ни координат, ни импульса, которые можно точно рассчитать: чем точнее определяется координата, тем менее точно можно определить импульс. О поведении микрочастицы можно говорить только приблизительно. Гейзенберг вывел неравенства, описывающие соотношения этих неопределенностей.

x – это неопределенность, или неточность, нахождения координаты импульса; px – неопределенность, или неточность, нахождения самого импульса.
В случае если это произведение сравнимо с постоянной Планка, то поведение частицы описывается квантовой механикой. В случае если это произведение много больше постоянной Планка, то поведение частицы описывается классической механикой.
В то же время ни для какого движения в природе это произведение не может быть меньше постоянной Планка:

Принцип неопределенности не связан с несовершенством используемых для наблюдения приборов, он связан с самими особенностями поведения частиц в микромире. Неопределенности порождаются законами микромира, а не проблемами у внешнего наблюдателя. Причем принцип неопределенностей распространяется только на частицы микромира, но не на малые материальные объекты макромира.
Существует закономерность: чем крупнее изучаемая частица, чем ближе она подходит к порогу макромира или его переходит, тем вернее можно сказать, что для нее работают законы классической физики, а не законы микромира. Для макроскопических тел можно применять одновременно понятия координат и скорости.
Постоянную Планка для таких объектов в расчетах не учитывают. Принцип неопределенностей показывает, что классическая механика является частным случаем квантовой и релятивистской механики. К данному случаю вполне применим принцип соответствия, который гласит, что всякая новая теория является развитием предыдущих теорий и полностью ее не отвергает, а лишь указывает границы ее применимости.
Квантово-полевая картина мира ввела в обращение корпускулярно-волновые представления о материи и новую методологию познания и понимания физической реальности. Огромное значение в квантовой физике придается не только частицам, за которыми ведется наблюдение в ходе эксперимента, но и самому наблюдателю, организации процесса эксперимента. До XX в. никакого значения этому не придавалось, наблюдатель находился вне эксперимента, он лишь регистрировал изменения, происходящие с объектами эксперимента. В квантовой механике наблюдатель играет такую же роль, что и частицы, за которыми он наблюдает.
Пространство-время в квантовой картине мира является единым понятием и определяет особенности поведения сверхмалых частиц. В четырехмерном пространстве-времени для частиц невозможно определить точных координат, а также точно измерить их импульс, поэтому к микромиру применяются законы вероятности, более того, частицы могут одновременно существовать и не существовать. Пространственно-временной интервал в квантовой физике инвариантен при переходе из одной инерциальной системы в другую.
В квантовой картине мира пространственно-временные и энергетически импульсные понятия не могут использоваться независимо друг от друга, они дополняют друг друга, то есть пространство, время и причинность существуют комплексно, но параметры существования каждой частицы не могут быть точно определены, для частиц в квантовом мире существуют статистические законы, которые рассматривают поведение частицы как поведение совокупности частиц.
Движение частиц описывается волновыми функциями, которые базируются на уравнении Шредингера, позволяющем применить законы вероятности к максимально возможному числу траекторий частицы. Для определения вероятности каждого случая проводится дополнительная операция (редукция, коллапс) волнового пакета, связанная с проведением измерений.
Квантовая картина мира включает четыре типа взаимосвязи на уровне частиц: сильное (ядерное), слабое (распад частиц), электромагнитное, гравитационное.
Структурно материальный мир разделяется на три уровня – микромир, макромир, мегамир.
Микромир составляют мельчайшие объекты – элементарные частицы, атомы, молекулы. Основные наблюдения ведутся над элементарными частицами, среди которых появляются новые и новые. Первым был открыт отрицательно заряженный электрон, затем – положительно заряженный позитрон, нейтральный к взаимодействиям нейтрон и т. п. Некоторые частицы были теоретически предсказаны и только потом открыты. В микромире в силу его корпускулярно-волнового характера действуют законы квантовой физики.
Элементарными частицами называются мельчайшие частицы: 1) входящие в состав атома; 2) получаемые его дроблением с помощью ускорителей частиц; 3) образованные в результате прохождения через атмосферу космических лучей и существующие миллионные доли секунды, порождая при распаде другие частицы или энергию.
Самыми известными элементарными частицами являются электрон, фотон, пи-мезон, мюон, нейтрино. Существует ряд частиц, способных превращаться в другие частицы. Одними из наиболее элементарных являются предсказанные и затем зарегистрированные экспериментально кварки.
К элементарным частицам относятся входящие в состав атома протон и нейтрон. Для частиц, имеющих более сложную структуру, введено понятие фундаментальных частиц.
Элементарные частицы классифицируют по свойствам и характеру взаимодействия на фермионы и бозоны. Друг от друга они отличаются выполняемыми функциями: фермионы составляют вещество, бозоны переносят взаимодействие.
Фермионы делятся на адроны (сильные) и лептоны (легкие). В состав адронов входят кварки. Лептоны могут: 1) иметь отрицательный электрический заряд (тогда они вращаются вокруг ядра атома); 2) быть нейтральными (тогда они обладают способностью проходить сквозь вещество без взаимодействия с ним).
Каждая частица имеет противоположную по заряду античастицу. Античастицы были предсказаны Полом Дюраком по формуле: β+ + ε− ↔ 2 · γ + Q.
Бозоны включают в себя глюоны, фотоны, вионы, гравитоны, которые образуют четыре типа взаимодействия. Фотон (квант) переносит электромагнитное взаимодействие, глюон – сильные ядерные взаимодействия, вион (векторный бозон) – слабые взаимодействия, возникающие при распаде частиц, гравитон должен переносить гравитационное взаимодействие, но пока он существует чисто теоретически. На сегодняшний день известно 12 фундаментальных частиц и античастиц, то есть 6 лептонов (электрон, мюон, Тау-лептон, νe, νμ, ντ) и 6 кварков.
Во всех видах взаимодействий элементарные частицы представляют собой единое целое. Их характеристиками являются такие: масса покоя, электрический заряд, спин, квантовые характеристики – барионный заряд, лептонный заряд, гиперзаряд, странность и т. д.
Ядром атома называют его центральную часть, в которой сосредоточена практически вся масса атома и весь его положительный заряд. В состав ядра входят протоны и нейтроны, которые обобщенно называют нуклонами. Протоны положительно заряжены, нейтроны – нейтральны. Но масса ядра не соответствует сложению масс нуклонов. Расчет числа протонов исходит из числа электронов (оно равно числу электронов), количество нейтронов определяется по формуле NP = A – Z, где А – массовое число, то есть целое число, ближайшее к атомной массе элемента в таблице Менделеева, Z – зарядовое число (число протонов).
По типу строения модели ядро может быть оболочечным, оптическим, капельным. Оболочечное ядро характерно для легких атомов и выглядит как оболочка самого атома, а нуклоны «размазаны» по оболочке атомного ядра. Оптическое ядро характерно для средних и тяжелых ядер: ядро окружают частицы с дуальными корпускулярно-волновыми свойствами, при равенстве длины волн возникают дифракция и интерференция. Капельное строение характерно для тяжелых ядер с естественной радиоактивностью: начиная с висмута, радиоактивность имеют все элементы.
Ядро является устойчивым, нуклоны удерживаются ядерными силами сильного взаимодействия со следующими свойствами: 1) они короткодействующие; 2) имеют зарядовую независимость; 3) обладают свойствами насыщения; 4) ориентация спинов определяет их величину. Для разрушения ядра необходимо приложить энергию, разрушение ядер тоже сопровождается выбросом энергии.
Молекула – наименьшая частица вещества, сохраняющая его химические свойства и состоящая из атомов, соединенных между собой химическими связями. Существование молекул при помощи броуновского движения доказал в XIX в. Жан Батист Перрен. Молекулы делят на простые и сложные, к простым относят молекулы, состоящие из одинаковых атомов, к сложным – из разных атомов.
Макромир является привычным для человека окружающим миром. В нем заключены объекты, равновеликие человеку. Мельчайшие объекты макромира – гиганты микромира, это крупные молекулы и соединения молекул, вещества (во всех агрегатных состояниях), живые существа (начиная с живой клетки и завершая венцом творения – человеком), а также природные формирования и продукты жизнедеятельности человека. С развитием космонавтики макромир не ограничивается Землей, но включает материальный мир планет, хотя сами планеты относятся к другому уровню организации материи. В макромире действуют законы классической механики, которая является частным случаем квантовой механики. Макромир изучается помимо физики всей совокупностью естественных наук (биология, геология, география и т. п.).
В макромире вещество может находиться в трех агрегатных состояниях: твердом, жидком и газообразном. Для каждого агрегатного состояния присуще характерное тепловое движение атомов и молекул.
Газообразное состояние характеризуется тем, что расстояние между атомами и молекулами значительно больше размеров самих молекул, поэтому силы притяжения и отталкивания в газах практически отсутствуют, что и вызывает их особенности: газы легко сжимаются (отсутствие или крайняя слабость сил отталкивания), могут неограниченно расширяться, занимая весь предоставленный им объем (отсутствие или крайняя слабость сил притяжения).
Твердое состояние вещества характеризуется тем, что молекулы и атомы совершают беспорядочные колебания относительно положений равновесия, в которых силы притяжения и отталкивания со стороны соседних атомов уравновешиваются, то есть они не способны произвольно «уйти» со своего места. По типу твердые тела принято делить на аморфные и кристаллические. Атомы и молекулы в аморфных телах расположены беспорядочно, поэтому их физические свойства (механические, тепловые, электрические, оптические) одинаковы во всех направлениях, в чем и заключается их изотропность. Атомы и молекулы в кристаллических телах расположены в определенном порядке, образуют так называемую кристаллическую решетку, поэтому физические свойства кристаллических тел неодинаковы в различных направлениях, в чем и заключается их анизотропность.
Жидкое состояние вещества характеризуется тем, что молекулы жидкости некоторое время (время оседлой жизни) колеблются около положений равновесия, затем занимают новые положения равновесия и колеблются относительно них, что является причиной текучести жидкости и ее способности принимать форму сосуда, в который она помещена. Жидкости по степени подвижности молекул находятся в промежутке между твердыми телами и газами. Их молекулы достаточно подвижны, чтобы тело не могло принять определенную форму, но недостаточно подвижны, чтобы рассеяться в пространстве.
К агрегатным состояниям относится также плазма. Состояние плазмы принимает ионизированный квазинейтральный газ, занимающий настолько большой объем, что в нем не происходит никакого взаимодействия молекул. В зависимости от степени ионизации газа различают:
1) слабо ионизированную (низкотемпературную) плазму;
2) умеренно ионизированную плазму; 3) сильно ионизированную (высокотемпературную) плазму. Плазма является наиболее распространенным состоянием вещества в мегамире.
Мегамир составляют объекты, многократно превосходящие человека по величине. Для мегамира макромир находится на том же уровне, что микромир для макромира. Объекты мегамира включают в себя планеты, звезды, галактики и их скопления, расположенные в безвоздушном космическом пространстве. В силу искривленности пространства законы макромира в мегамире не работают. Мегамир подчиняется теории относительности и постулатам релятивистской механики.
Границ, точно определяющих принадлежность объектов к одному из трех уровней, не существует. Обычно для этого оперируют средним размером и массой. Большого значения деление на мега-, макро и микромир тоже не имеет, но это удобно с точки зрения понимания, какие из существующих физических законов можно применить.
Современное понимание времени и пространства
Однажды блаженного Августина спросили, что такое время. Он ответил: «Когда меня спрашивают, что такое время, я этого не знаю. Но когда меня не спрашивают, то я знаю». Иными словами, суть времени не как хронометрированного процесса, а как некой физической особенности нашего мира, ускользает, если пытаться определить его свойства. Этих свойств не знают, по сути, ни философы, ни математики, ни физики. Свойства времени, как оказалось, зависят от нашего восприятия времени.
В древности, когда приборов хронометража не существовало, время воспринимали как движущееся по кругу. Позже, когда люди научились измерять параметры своего пространства, они стали воспринимать время как направленную в будущее стрелу. Начало этой стрелы терялось в каком-то «давным-давно», в начале времен, во времени от сотворения мира творцом, а конец – в далеком «когда-то наступит». В согласии с ведущими религиями этот конец обозначал время Страшного суда, это и был так называемый конец времен. Первые определения времени относятся к субъективному восприятию. Позже исследованием понятия времени занялись ученые.
Время в физике определялось следующим образом: время есть порядок смены физических состояний материальных тел, поэтому время универсально и объективно вне зависимости от человека. Позднее был принят такой постулат: одинаковые во всех отношениях явления происходят за одинаковое время.
Ньютон оперировал двумя разновидностями времени – относительным, то есть рассматриваемым как длительность, вмещающая определенные события для определенного наблюдателя, и математическим, рассматриваемым как абсолютное, равномерное, не зависящее от физических процессов. По Ньютону, время бесконечно и имеет одно измерение.
Согласно механике достаточно задать направление движения, то есть начальные координаты, чтобы рассчитать результаты для любого действия в прошлом, настоящем и будущем, поэтому в механике возможно использовать время со знаком «минус» и получить результат.
Исследуя большие системы термодинамики, Больцман вывел закон, по которому время необратимо, поскольку необратим процесс нарастания энтропии, а нарастание энтропии показывает движение системы к хаосу, система уходит безвозвратно от начальных условий и не сможет к ним вернуться ни при каких условиях: согласно второму началу термодинамики, в изолированной системе все процессы протекают только в одном направлении – в сторону повышения энтропии и возрастания хаоса. Необратимость времени, то есть его движение только в одну сторону, от прошлого к будущему, получило название стрелы времени.
Материалистически «стрела времени» (и невозможность повернуть время вспять) обосновывалась тем, что протекающие в системах процессы деформируют или разрушают вещество, запуская термодинамические процессы, и поскольку эти процессы могут происходить только в одном направлении, то и время может двигаться тоже только в одном направлении.
«Стрела времени» была связана также с понятием термодинамической шкалы времени, подразумевающей существование трех вариантов временной шкалы: 1) для космологии (расширение Вселенной); 2) для психологии (субъективное движение по «стреле времени» от прошлого к будущему); 3) для термодинамики как таковой (нарастание энтропии), которые совпадают по направлению.
Позже конечность временной стрелы превратилась в бесконечность, но суть восприятия не изменилась, время продолжало оставаться стрелой. Так было, начиная с Ньютона, отделившего время от пространства, и до середины XIX в. Именно тогда ученые задумались, что время – всего лишь один из параметров пространства. И время стоит рассматривать не само по себе, а как составляющую общего понятия «пространство-время».
Разработка такого комплексного понятия связана с успехами в квантовой физике. Немецкий физик Кифер считает, что даже в квантовой физике понятие времени осталось таким же, как у Ньютона, поскольку в лабораториях ученые вынуждены пользоваться для своих экспериментов хронометрами линейного времени – часами, пусть и современными.
В одной из статей Кифер утверждает следующее: «Специальной теории относительности известно лишь внешнее понятие времени. Здесь хотя пространство-время заменяет понятие времени, отделенного от пространства, введенное Ньютоном, оно все же дано богом и вечно. Пространство-время подобно арене, театру, где происходят все остальные физические явления. Сначала общая теория относительности ввела динамическое понятие времени, и гравитация понимается здесь как искривление времени и пространства. Это искривленное пространство-время больше не преподносится как нечто застывшее – оно сложным образом изменяется во взаимодействии с материей. Искривленное пространство-время больше не является только ареной, оно само принимает участие в игре. Говоря грубо, в классических теориях для каждой частицы существует путь в пространстве-времени, и есть само пространство-время. В квантовой физике известно только о вероятности нахождения частицы где-либо, а сама частица описывается при помощи волновой функции. То есть для унификации обеих теорий нужно и в квантовой теории отвести времени динамическую роль. А это приносит с собой множество трудностей. Мы предполагаем, что время – это нечто исключительно качественное, то есть его не существует вне объектов и полей. В самых современных теориях время и вовсе выпадает из уравнений. Это значит, что времени там нет. Конечно, это может считаться всего лишь предположением, пока не подтверждено экспериментально. Если мы мысленно позволим Вселенной снова сжаться, то мы достигнем той области, когда она настолько маленькая и плотная, что общая теория относительности теряет силу; решения ее математических уравнений становятся бесконечно большими».
Для объяснения природы времени требуются новые теории, потому что маленькая, плотная и горячая вселенная, в которой все известные нам структуры отпадают, уже не может быть описана теорией относительности, это состояние Вселенной лежит за ее пределами. Это Вселенная, которая находится вне времени. Если быть последовательными, то для Кифера время – это характеристика, которая появляется только в расширяющейся Вселенной. То есть во Вселенной, где имеется наблюдающее сознание.
Наблюдающее сознание – это понятие квантовой физики. Оно связано с экспериментами, которые показали, что поведение частиц зависит от присутствия наблюдателя, только наблюдатель способен включить вариативность поведения частицы; то есть когда частица лежит вне зоны наблюдения, нельзя с достоверностью сказать даже, существует она или не существует. Наиболее известный в этом качестве пример – модель Шредингера, получившая также наименование кота Шредингера.
Шредингер, описывая парадоксальное поведение частиц, предложил некий умозрительный опыт, согласно которому, если поместить кошку в непроницаемый для наблюдателя ящик и снабдить вероятностным механизмом, открывающим емкость с цианидом, наблюдатель, не имея возможности заглянуть в ящик, должен признать факт, что кошка может находиться в этом ящике в одном из двух состояний – остаться живой (механизм не сработал) или сдохнуть (механизм сработал).
Шредингер ввел определение состояние такой кошки, как «кот и не жив, и не мертв». Уподобляя частицу упомянутой кошке и не имея средств точной диагностики, можно сказать, что частица всегда находится в положении кошки Шредингера, то есть «не жива, не мертва», или ее состояние до момента, когда наблюдатель зафиксирует ее состояние, неизвестно, поскольку отсутствует необходимый элемент определенности – наблюдающее сознание.
Линейное время связано с детерминированностью событий, в нем существуют причины и следствия, любое последующее событие зависит от череды предшествующих. Это можно сравнить с железнодорожной линией: если поезд прибыл в определенное время на станцию Г, он обязательно вышел со станции А, сделал остановку на станциях Б и В. Попасть на станцию Г, не находясь прежде на станции А или не миновав при этом станций Б и В, поезд не может. Существуют рельсы, по которым перемещается поезд.
Причем, если говорить о движении объекта во времени, то данный объект не может не только достичь станции Г, не побывав на станциях А, Б, В, но и вернуться со станции Г на станцию А вспять. По данной колее движение идет только в одну сторону.
Поэтому в макромире невозможно движение во времени, как по колее: нельзя попасть назад в завершившийся уже процесс, потому что его нет, нельзя попасть и в будущее, потому что его еще нет. Однако физики ввели понятие пространства-времени, и в нем между пространством и временем не существует антагонизма.
Если мы будем пользоваться понятием пространства-времени, то там все немного сложнее. Время не привязано к пространству, оно связано каким-то образом с точкой наблюдения, то есть со свидетелем. Каждый из людей – свидетель. Для каждого существует свое время. Если создать математическую модель пространства-времени, то ее можно представить в виде песочных часов: если такие песочные часы поместить на координатную сетку, то перемычка часов придется на ноль-координат, прошлое-будущее расположится по вертикальной оси, и то, что будет в верхней части «часов», окажется будущим, то, что в нижней, – прошлым.
Однако если миров существует множество, то каждая точка на горизонтальной оси будет выражать положение идентичного кванта в пространстве, и эта точка в свою очередь станет ноль-координатой для рождения новых песочных часов. Эти часы в будущем или прошлом будут накладываться на соседние с ними, пересекаться, и в зависимости от степени пересечения параллельные миры будут более или менее соприкасаться.
Таким образом, кванты могут «путешествовать» по этой шкале, переходя из реальности в реальность. Модель с песочными часами придумал физик Менский. Наш человеческий мир эта модель не затрагивает. Такое пространство-время распространяется в науке пока что только на мир частиц.
В свое время эксперименты с частицами показали очень странную вещь: частицы пребывают в состоянии, когда они находятся здесь и везде, здесь и всегда, то есть чисто теоретически, если смоделировать путь движения частицы, она может одновременно двигаться в любую сторону, словно одна частица – это множество частиц, и каждое движение этой частицы можно математически рассчитать.
Но при наблюдении за поведением избранной частицы ученые столкнулись с проблемой: складывалось впечатление, что частица «знает», что за ней ведется наблюдение, и предсказать ее поведение невозможно. Физиков это просто бесило, и кто-то уже задумывался о признании за частицами разумного начала или божественного управления движением.
Математик Эверетт предложил гораздо более простое объяснение: частицы микромира движутся, как и говорит математика, в разных направлениях одновременно, однако мы в нашем времени-пространстве способны наблюдать только отдельные элементы движения, и если (согласно квантовой механике) частица, допустим, существует в ста ипостасях, то для того, чтобы проявление каждой ее «личности» можно было отследить, требуется и сто наблюдателей, поскольку каждый из них может видеть только поведение какой-то одной ипостаси этой частицы.
Если перенести этот вывод из мира квантового в мир большой, то теоретически кроме нашего собственного реального мира может существовать множество сходных с нашим, но параллельных нашему миров, в которых события будут идти почти так, или немного не так, или совсем не так, в зависимости от определенной доли случайности.