Читать книгу "Аудит: теория и практика"
Автор книги: Юрий Кочинев
Жанр: Бухучет; налогообложение; аудит, Бизнес-Книги
сообщить о неприемлемом содержимом
Другой пример: по оценке аудитора неотъемлемый риск – средний, контрольный риск – средний, риск необнаружения – низкий. Как оценить аудиторский риск?
Ответы на эти вопросы можно получить, осуществив качественную оценку компонентов аудиторского риска с помощью метода, основанного на теории нечетких множеств. Рассмотрим его.
3.4.3. Качественная оценка аудиторского риска с помощью метода нечетких множествПроцедуры рассмотренных выше оценок могут быть формализованы применением метода, основанного на теории нечетких множеств. Рассмотрим возможность подобной формализации на примере оценки неотъемлемого риска RНТ
Полное множество значений риска RНТ разобьем на три подмножества:
• низкий риск;
• средний риск;
• высокий риск.
Введем понятие показателя степени риска G, принимающего значения от нуля до единицы.
Соответствующее множеству RНТ множество G также разобьем на три подмножества:
• низкая степень риска;
• средняя степень риска;
• высокая степень риска.
Далее построим классификацию текущего значения g показателя степени риска G, соответствующую разбиению этого множества на подмножества (табл. 3.7).
Построение указанной выше классификации осуществляется путем экспертной оценки (оценки аудитора) и в зависимости от его профессионального суждения может отличаться от варианта, предложенного в табл. 3.7.
Таблица 3.7. Классификация текущих значений показателя степени неотъемлемого риска

Далее введем следующие обозначения: X – анализируемый фактор, определяющий значение степени риска; N – количество факторов; i – текущий номер фактора (1 ≤ i ≤ N).
Рассмотрим какой-либо фактор X (например, «опыт и квалификация главного бухгалтера»). Принадлежность элементов нечеткого множества X. определенному интервалу значений g (низкой, средней или высокой степени риска) установим с помощью функции принадлежности, областью определения которой является носитель g, а областью значений – единичный интервал [0, 1]. В теории нечетких множеств обычно используют трапециевидные или треугольные функции принадлежности. В нашем случае целесообразно применение прямоугольных функций принадлежности, представленных на рис. 3.8, где λij – уровень принадлежности фактора Xi нечеткому подмножеству множества G (низкой, средней или высокой степени риска), j – номер подмножества (j = 1, 2, 3).
Далее введем понятие коэффициента значимости каждого фактора, обозначив его ri.
Путем экспертной оценки (т. е. на основании профессионального суждения аудитора) определим, равнозначны или неравнозначны выбранные нами факторы.
Если факторы равнозначны, то коэффициенты значимости равны друг другу и могут быть определены из следующего выражения:

Если факторы неравнозначны, то их следует путем экспертных оценок проранжировать в порядке убывания их влияния. Тогда коэффициенты значимости факторов могут быть определены по правилу Фишберна:



Рис. 3.8. Функции принадлежности фактора X: а – низкому риску; б – среднему риску; в – высокому риску
Затем для каждого фактора Xi определяем λij – уровень принадлежности фактора интервалу значений g (низкой, средней или высокой степени риска). Текущее значение λij = 1, если согласно профессиональному суждению аудитора Xi принадлежит данному интервалу, и λij = 0 в противном случае.
Далее определяем значение показателя степени риска g исходя из полученных текущих значений λij и коэффициентов значимости факторов ri:

где gj – центральные значения показателя степени риска для каждого интервала:
g1 = 0,05; g2 = 0,20; g3 = 0,65.
Полученное из формулы (3.5) значение показателя степени риска g определяет подмножество RНТ (низкий, средний или высокий риск).
Рассмотрим применение данного метода на конкретном примере.
Пример. Аудитор выделил пять факторов, определяющих, по его мнению, неотъемлемый риск, и проранжировал их в порядке убывания влияния:

Коэффициенты значимости факторов определены аудитором по формулам (3.3) и (3.4):

Результаты аудиторских процедур опроса, наблюдения, просмотра документов показали, что фактор X1 соответствует низкому риску (опытный главный бухгалтер); X2 – высокому (главный бухгалтер перегружен); X3 – среднему (документооборот организован на среднем уровне);
X4 – высокому (нормативная база нестабильна); X5 – высокому (наличие сложных операций).
Исходя из полученных результатов аудитор определил уровни принадлежности факторов:

Искомое значение показателя степени риска определяется по формуле (3.5):

По классификации текущих значений показателя степени риска (табл. 3.7) получаем значение RНТ: неотъемлемый риск – высокий.
Аналогичным образом может быть осуществлена качественная оценка контрольного риска RК и риска необнаружения RНО на уровне отчетности в целом.
Получив качественные оценки неотъемлемого, контрольного рисков и риска необнаружения, далее можно осуществить качественную оценку аудиторского риска, используя при этом полученные значения показателей степени риска g для рисков RНТ, RК, RНО и формулу (3.1), связывающую аудиторский риск RА с его компонентами. Для этого построим классификацию текущих значений показателя степени аудиторского риска, соответствующую разбиению RА на три подмножества (низкий, средний, высокий риск). Указанная классификация представлена в табл. 3.8.
Таблица 3.8. Классификация показателя степени аудиторского риска

Пример. Из качественной оценки компонентов аудиторского риска (RHT RK, RHO) получены численные значения их показателей: 0,36; 0,70; 0,45 соответственно. Тогда показатель степени аудиторского риска составит g = 0,36×0,70×0,45 = 0,11. Из табл. 3.8 получаем: аудиторский риск – средний.
С помощью этого метода может быть решена и обратная задача: оценка риска необнаружения, требуемого для обеспечения принятой оценки аудиторского риска. В этом случае формулу (3.1) следует преобразовать к виду:

Тогда требуемое значение показателя степени риска RHO будет равно среднему значению показателя степени риска RA, деленному на произведение показателей степени рисков RHT и RK.
Пример. Аудитор установил приемлемую оценку аудиторского риска: низкий риск. Из табл. 3.8 получаем среднее значение показателя для низкого риска: g = 0,05. В процессе качественной оценки неотъемлемого и контрольного рисков получены численные значения их показателей: 0,40 и 0,50 соответственно. Тогда показатель степени риска необнаружения составит g = 0,05 : ( 0,40×0,50) = 0,25. Из табл. 3.7 получаем: риск необнаружения может быть средним.
3.4.4. Количественная оценка аудиторского риска для отчетности в целомКоличественная оценка аудиторского риска и его компонентов как субъективных вероятностей может быть осуществлена путем построения их регрессионных зависимостей от определяющих факторов.
В работе [15] отмечено, что компоненты аудиторского риска (неотъемлемый риск RHT, контрольный риск RK, риск необнаружения RHO) могут быть аппроксимированы линейными полиномиальными моделями вида:

где a0, ai – коэффициенты модели, xi – определяющие факторы, N – количество факторов. Поскольку федеральные аудиторские стандарты № 3 «Планирование аудита» и № 8 «Понимание деятельности аудируемого лица, среды, в которой она осуществляется, и оценка рисков существенного искажения аудируемой финансовой (бухгалтерской) отчетности» устанавливают, что риск оценивается аудитором, осуществляющим проверку, то целесообразно искать решение не на пути построения моделей для всеобщего употребления, а на пути разработки доступной и рациональной методики, позволяющей осуществлять построение упомянутых моделей любой аудиторской организацией.
Достаточно обоснованной и вместе с тем надежной и простой представляется методика, основанная на теории планирования эксперимента. Подобная методика состоит из следующих этапов:
а) устанавливается набор факторов x, влияющих на функцию отклика R;
б) принимаются приемлемые значения максимального и минимального рисков (например, для неотъемлемого риска RHT принимаются значения RHTmin = 25%, RHTmax = 75%);
в) принимаются приемлемые численные значения факторов, соответствующих их максимуму и минимуму (например, фактор – масштаб бизнеса, приняты значения xmin = 1 при годовом обороте менее 50 млн руб., xmax = 5 при годовом обороте более 500 млн руб.);
г) экспертным путем (т. е. на основании профессионального суждения аудитора) оценивается изменение функции отклика R при варьировании каждого фактора от xmin до xmax;
д) с помощью метода наименьших квадратов (МНК) определяются коэффициенты линейной модели для функций отклика (рисков RНТ, RК, RНО).
Пример применения подобной методики для построения уравнений регрессии, позволяющих осуществить количественную оценку компонентов аудиторского риска, приведен в [15].
Количественная оценка аудиторского риска RA при этом осуществляется с помощью формулы (3.1).
Итак, мы рассмотрели вопросы качественной и количественной оценки аудиторского риска как субъективной вероятности на уровне отчетности в целом.
Оценка аудиторского риска и его компонентов на уровне сальдо и оборотов по счетам (т. е. на уровне анализируемых аудитором генеральных совокупностей элементов) зависит от вида аудиторской процедуры, от объема выбираемой для проверки совокупности элементов (объема выборки). Поэтому методы подобных оценок мы рассмотрим позднее, после рассмотрения видов аудиторских процедур.
3.5. Связь уровня существенности с аудиторским риском
Выше (см. параграф 3.4) мы определили аудиторский риск как вероятность события, заключающегося в том, что в бухгалтерской отчетности может оказаться существенная ошибка (Q > S), и при ее наличии аудитор составит заключение, исходящее из того, что ожидаемая ошибка несущественна (К < S).
Из определения следует, что уровень существенности S должен каким-то образом влиять на аудиторский риск (точнее, на его компоненты). Влияние уровня существенности на аудиторский риск отмечает и федеральный аудиторский стандарт № 4 «Существенность в аудите», который указывает, что аудитор может снижать уровень существенности «в целях уменьшения вероятности необнаружения искажений» (т. е. в целях уменьшения риска необнаружения – п. 10 стандарта).
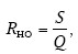
Проанализируем, как зависит от уровня существенности риск необнаружения RHO. Вспомним, что риск необнаружения – это вероятность события, заключающегося в том, что аудитор не обнаружит существенные искажения (искажения, превышающие уровень существенности) в бухгалтерской отчетности. Пусть S – уровень существенности, установленный аудитором, Q – действительная ошибка, содержащаяся в бухгалтерской отчетности (Q > S). Пусть К – ожидаемая ошибка, определенная аудитором. Тогда риск необнаружения RHO – вероятность того, что величина К будет удовлетворять неравенству 0 < К < S (при Q > S).
Введем понятие ошибки аудитора X, где X = Q – К.
Тогда риск необнаружения RHO будет являться вероятностью события, заключающегося в том, что случайная величина X будет удовлетворять неравенству Q – S <X< Q.
Предположим, что случайная величина X распределена равномерно, т. е. имеет равную вероятность попасть в любую точку диапазона Q – S ÷ Q. Тогда вероятность выполнения неравенства Q – S < X < Q будет равна отношению:

или
RHO = B×s, (3.7)
где B – коэффициент пропорциональности, s – уровень существенности (в долях единицы).
Из приведенного отношения следует, что уменьшение s вызывает пропорциональное уменьшение риска необнаружения RHO, на что и указывает федеральный аудиторский стандарт № 4 в п. 10.
Итак, риск необнаружения с уменьшением уровня существенности снижается. Но уровень существенности оказывает влияние и на другие компоненты аудиторского риска – неотъемлемый риск RHT и контрольный риск RK. Каково же это влияние?
Международный стандарт № 315 вводит понятие «риск существенных искажений» (обозначим его RCИ), равный произведению неотъемлемого и контрольного рисков: R = RHT×RK. В отличие от RHO риск RK связан с уровнем существенности обратной зависимостью: с уменьшением уровня существенности риск RCИ возрастает. Это объясняется нормальностью распределения размера бухгалтерских ошибок в бухгалтерской информации: чем меньше размер ошибок, тем чаще они встречаются. Вследствие этого при уменьшении уровня существенности все большее количество ошибок переходит в разряд существенных, из-за чего и возрастает вероятность их появления в бухгалтерской отчетности.
В литературе [15] приведены результаты экспериментального исследования, которые позволяют утверждать, что размер ошибок в бухгалтерской отчетности имеет показательное распределение, в силу чего риск существенного искажения и уровень существенности связаны зависимостью:

где λ – параметр распределения, s – уровень существенности (в долях единицы).
Рассмотрим возможность практического применения зависимостей 3.7 и 3.8 на практическом примере.
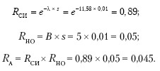
Пример. Уровень существенности установлен аудитором в размере s = 0,05 (5%). Оценка компонентов аудиторского риска при этом показала следующее: неотъемлемый риск RHT = 70%, контрольный риск RK = 80%, риск необнаружения RHО = 25%. Тогда риск существенного искажения:
RCИ = RHT×RK = 0,7×0,8 = 0,56.
Аудиторский риск:
RА = RСИ × RНО = 0,56 × 0,25 = 0,14.
Аудитор счел полученное значение аудиторского риска неприемлемо высоким и решил снизить его уменьшением уровня существенности до s = 1%.
Постоянные в уравнениях 3.7 и 3.8:

Значения рисков при уровне существенности, уменьшенном до 1%:

Аудиторский риск в размере 4,5% аудитор счел вполне приемлемым.
3.6. Виды аудиторских процедур
От вида аудиторских процедур, как мы уяснили из параграфа 3.4, зависит риск необнаружения. В связи с этим необходимо изучить вопрос, какие бывают процедуры и как они могут влиять на риск необнаружения.
Вспомним (см. параграф 1.6), что аудитор формирует свое мнение, исходя из аудиторских доказательств – информации, полученной им разными способами из разных источников. Например, выявленная аудитором справка бухгалтерии с расчетом, содержащим арифметическую ошибку, – это аудиторское доказательство, письменное разъяснение руководства проверяемого предприятия – это аудиторское доказательство.
Способы получения аудиторских доказательств (способы получения информации) – это и есть аудиторские процедуры.
Способы получения информации, как и ее источники, различны. В соответствии с этим многообразны и аудиторские процедуры.
Обширный перечень их приведен в федеральном стандарте № 5 «Аудиторские доказательства» (инспектирование, наблюдение, запрос, подтверждение, пересчет, аналитические процедуры). Но, во-первых, определения, использованные в указанном перечне, весьма укрупнены, что затрудняет их практическое использование (в инспектирование попадает целый ряд различных процедур от инвентаризации до просмотра документов); во-вторых, ряд практически используемых процедур (например, таких, как осмотр, составление альтернативного баланса) вообще не вошел в перечень; в-третьих, интерес представляет не только приведенная классификация процедур (по их содержанию), но и другие классификации (по источникам информации, по объему и т. д.).
В связи с этим приведем ряд классификаций процедур, которые в дальнейшем помогут проанализировать указанное влияние параметров процедуры на риск необнаружения.
Предлагаемые классификации аудиторских процедур представлены на рис. 3.9-3.12. Рассмотрим их.
По источнику информации (рис. 3.9) аудиторские процедуры можно подразделить на процедуры, исходная информация для которых получена из:
• внутренних источников;
• внешних источников;
• смешанных источников.

Рис. 3.9. Классификация аудиторских процедур по источнику информации
Внутренние источники – это документы, составленные проверяемым экономическим субъектом; письменные и устные разъяснения, представленные руководством и работниками проверяемого субъекта.
Внешние источники – это документы (ответы на запросы, разъяснения и т. д.), составленные третьей стороной, а также составленные аудитором (например, акт о проведенной аудитором инвентаризации).
Смешанные источники – это документы, составленные проверяемым экономическим субъектом, письменные и устные разъяснения его руководства и работников, имеющие письменное подтверждение третьей стороны.
Практика показывает (и федеральный аудиторский стандарт № 5 «Аудиторские доказательства» констатирует это), что в этом случае изменение риска необнаружения ЛНО подчиняется следующей закономерности:
RНО1 > RНО2 > RНО3,
где RНО1 – риск при применении процедур, использующих внутренние источники информации; RНО2 – то же для процедур, использующих внешние источники информации; RНО3 – то же для процедур, использующих смешанные источники информации.
При представлении разъяснений руководством и работниками проверяемого предприятия риск RНО в случае устных разъяснений больше, чем в случае письменных.

Рис. 3.10. Классификация аудиторских процедур по содержанию
По содержанию (рис. 3.10) аудиторские процедуры можно разделить на четыре основные группы:
• фактические (в литературе их иногда называют «органолептическими процедурами», в ходе которых аудитор реально наблюдает, осязает проверяемые материальные объемы);
• аналитические;
• специальные;
• документальные.
Фактические процедуры – это способы получения аудиторских доказательств, состоящие в проверках фактического наличия и состояния активов, фактического выполнения хозяйственных операций, достижения ими установленных результатов. Объектами фактических процедур могут быть деньги в кассе, товары и материалы на складе, незавершенное производство в цехах, объем выполненных работ и т. д.
Фактические процедуры, в свою очередь, по содержанию можно подразделить на следующие:
• инвентаризация;
• осмотр (обследование);
• наблюдение;
• контрольные замеры;
• технологический контроль;
• лабораторный контроль;
• прочие.
Инвентаризация, т. е. проверка фактического наличия и состояния активов организации путем пересчета, взвешивания, измерения и т. д., является важнейшей и наиболее широко применяемой фактической процедурой. Методические основы и порядок проведения инвентаризаций подробно изложен, например, в [6].
Осмотр (обследование) является, наверное, самой простой, хотя и достаточно эффективной фактической процедурой. Даже простой осмотр помещений проверяемого экономического субъекта может дать в руки аудитора немало аудиторских доказательств. Например, при проверке малого предприятия, занимающегося производством мебели, аудитор, осматривая помещения, обнаружил в одном из них большое количество готовой продукции. Вместе с тем дебетовое сальдо на счете 40 на момент проверки отсутствовало. В результате этого была выявлена несвоевременность оприходования бухгалтерией предприятия готовой продукции.
Наблюдение как фактическая процедура может осуществляться за технологическим процессом изготовления продукции, выполнения работ, оказания услуг и т. д. Осуществляя наблюдение, аудитор может выявить, например, несоответствие между фактическими операциями и их отражением в учете.
Контрольные замеры чаще всего проводятся с целью проверки соответствия выполненных объемов работ отраженным в учете. Например, при проверке отнесения на себестоимость затрат по ремонту помещений аудитор произвел контрольный замер оштукатуренных и окрашенных площадей стен. В результате этого было выявлено несоответствие между фактически отремонтированной площадью и площадью, отраженной в смете и акте.[6]6
Еще один очень хороший пример подобной процедуры приведен в [10]. Проверяемое предприятие выпускало газету, публиковавшую рекламные объявления исходя их установленного тарифа в рублях за 1 см2 рекламной площади. Для проверки полноты отражения выручки от реализации рекламных услуг аудиторы линейкой померили рекламную площадь выбранных номеров газеты, после чего сопоставили полученную сумму с учетными данными. В результате этого оказалось, что не вся выручка от рекламных услуг отражена в учете.
[Закрыть]
Технологический контроль предполагает осуществление контрольных операций для сравнения их результатов с данными учета. Так, при проверке списания материалов на предприятии, производящем чехлы для автомобилей, аудитор привлек эксперта, который произвел контрольный раскрой ткани. В результате этого было выявлено завышение установленных предприятием норм расхода ткани на единицу готовой продукции.
Лабораторный контроль может производиться, например, для проверки соответствия свойств материалов (товарного продукта) установленным. Например, аудитор производит отбор пробы бензина, реализуемого на АЗС, и организует лабораторный контроль его октанового числа. В результате этого может быть проверено соответствие марки бензина его установленной продажной цене.
Аналитические процедуры – это способы получения аудиторских доказательств, состоящие в выявлении, анализе и оценке соотношений между финансово-экономическими показателями проверяемого предприятия. Их применение основано на причинно-следственной связи между анализируемыми показателями. Например, кредитовый оборот по счету 70, как правило, должен соотноситься с кредитовым оборотом по счету 69; изменение амортизационных отчислений должно быть связано с изменением стоимости основных средств; финансовые показатели предприятия за отчетный год и предыдущие годы, как правило, не должны иметь значительных расхождений и т. д. Если же подобные расхождения имеют место, то в их основе, весьма вероятно, могут лежать ошибки бухгалтерии.
Таким образом, основная задача аналитических процедур, с которой они успешно справляются, – это выявление учетных областей с повышенным неотъемлемым риском, иными словами, областей, в которых сосредоточены «ключевые» документы, т. е. документы, вероятность ошибок в которых очень высока. Благодаря этому в ходе дальнейшей проверки с использованием документальных процедур может быть применен соответствующий выборочный метод (метод «ключевых» документов). С применением этого выборочного метода сокращается продолжительность проверки и снижается риск необнаружения (так как «ключевые» документы подвергаются наиболее тщательной проверке).
Практика и литературные источники указывают, что в большинстве случаев учетные области с повышенным неотъемлемым риском могут проявлять себя следующим образом:
• резкие изменения статей бухгалтерской отчетности (например, резкое падение или увеличение по сравнению с прошедшим периодом выручки, балансовой прибыли, рентабельности, незавершенного производства и т. д.);
• нехарактерные соотношения между оборотами и сальдо на отдельных счетах (например, значительное кредитовое сальдо на счете 60 без соответствующего дебетового сальдо на счете 19 и др.);
• наличие нехарактерных сальдо на некоторых счетах (например, отсутствие дебетового сальдо на счете 20 – незавершенного производства при позаказном методе калькулирования себестоимости);
• наличие в учете нехарактерных, нетиповых корреспонденций счетов (например, на одном предприятии бухгалтер выдачу зарплаты продукцией отражал проводкой Д 70 – К 43, что послужило для аудиторов сигналом о возможном занижении реализации);
• резкое отличие статей бухгалтерской отчетности или относительных коэффициентов от плановых, нормативных, среднеотраслевых показателей (например, рентабельность на аналогичных предприятиях – 15%, а на проверяемом – 2%).
В соответствии с этим аналитические процедуры по своему содержанию могут быть следующими:
• сравнение статей бухгалтерской отчетности и относительных коэффициентов с плановыми, нормативными, среднеотраслевыми показателями, а также данными, содержащимися в небухгалтерской отчетности;
• сравнение статей бухгалтерской отчетности и относительных коэффициентов с аналогичными данными предыдущих периодов;
• анализ соотношений одних статей отчетности (или оборотов по счетам) с другими статьями (или оборотами);
• анализ нехарактерных сальдо по счетам;
• анализ необычных, нетиповых корреспонденций счетов;
• прочие виды аналитических процедур.
Рекомендуемый перечень аналитических процедур приведен также в федеральном стандарте № 20 «Аналитические процедуры». безусловно, ни один перечень аналитических процедур не может считаться исчерпывающим. Аудитор вправе выбирать в качестве аналитических процедур любые известные методы экономического анализа.
Как мы отметили ранее, основная задача аналитических процедур – это выявление учетных областей с повышенным неотъемлемым риском RHT. Но роль аналитических процедур только этим не исчерпывается. Аналитические процедуры могут применяться также для оценки финансового состояния проверяемого экономического субъекта, оценки неотъемлемого риска и контрольного риска и т. д.
Кроме того, наряду с фактическими и документальными аналитические процедуры могут применяться для выявления ошибок, особенно при проверках совокупностей, риск появления ошибок в которых RHT невысок.
Пример. Аудитор проверяет предприятие в течение ряда лет. Из года в год статьи бухгалтерской отчетности предприятия (в том числе выручка, себестоимость, балансовая прибыль) меняются незначительно. В прошлом году аудитор тщательно проверил состав затрат, относимых на себестоимость продукции, в том числе расходы по списанию ГСМ на служебный автотранспорт, удельный вес которых в себестоимости прошлого года составил 7%. Аудитор определил удельный вес расходов на ГСМ в себестоимости проверяемого года и получил 6,5%. Поскольку в результате применения аналитической процедуры (сравнения удельных весов показателей) аудитор не обнаружил резких колебаний, то он предположил, что списание ГСМ существенных ошибок не содержит, и далее его можно не проверять. Тем самым были значительно сокращены объем работ и длительность проверки.
Применение аналитических процедур – отчасти творческая работа и трудно поддается формализации. Но некоторая сложность аналитических процедур окупается их эффективностью. Как отмечено в [10], результаты зарубежных исследований показывают, что с помощью аналитических процедур выявляется более трети всех выявленных ошибок.
Специальные процедуры – это способы получения аудиторских доказательств непосредственно от работников проверяемого экономического субъекта либо из внешних источников.
По содержанию специальные процедуры могут быть следующими:
• опрос;
• проверка соблюдения установленных на проверяемом предприятии правил;
• подтверждение;
• составление альтернативного баланса.
Опрос работников проверяемого субъекта (в том числе руководства) может проводиться в письменной или устной форме. Устные разъяснения работников федеральный стандарт № 5 «Аудиторские доказательства» рекомендует записывать в виде протокола или конспекта, в котором следует указывать данные аудитора, проводившего опрос, и данные лица, давшего разъяснение. При обращении аудитора к руководству за получением разъяснений следует ориентироваться на рекомендации федерального стандарта № 23 «Заявления и разъяснения руководства аудируемого лица».
Необходимо отметить, что процедура опроса может применяться с различными целями: с целью оценки надежности системы внутреннего контроля (оценки контрольного риска RK), с целью выявления областей учета с высоким риском появления ошибок и нарушений (RHT). Формы опроса при этом могут быть различными, например неформальная беседа с работником бухгалтерии за чашкой чая тоже может являться формой опроса. Причем зачастую результаты подобного общения бывают весьма эффективными: во время доверительной беседы аудитор может выяснить, какие вопросы учета и налогообложения беспокоят бухгалтера, в каких вопросах он чувствует себя неуверенно и т. д. Если же аудитор проводит плановый опрос, то целесообразно заранее подготовить удобный для заполнения типовой вопросник, что, с одной стороны, позволяет сразу получить результаты опроса в требуемой форме, с другой стороны – сокращает время проведения опроса.
Проверка соблюдения установленных правил заключается в наблюдении[7]7
Может возникнуть вопрос, почему мы не отнесли эту процедуру к фактическим. Следует отметить, что фактическая процедура наблюдения предполагает несколько иное – наблюдение, осуществляемые аудитором за выполнением производственного процесса изготовления продукции, выполнения работ, оказания услуг. Здесь же аудитор наблюдает не за порядком выполнения хозяйственных операций, а за порядком их отражения.
[Закрыть] аудитором за выполнением таких правил: правил документооборота в организации, правил отражения хозяйственных операций в учете и т. д. Эта процедура наряду с опросом позволяет оценивать контрольный риск, выявлять области с повышенным неотъемлемым риском.
Шпример, в ходе проверки аудитор, наблюдая за тем, как бухгалтер отражает в регистре хозяйственную операцию, обратил внимание на то, что первичный документ по этой операции отсутствует. H вопрос аудитора (это уже процедура опроса) бухгалтер пояснил, что по данной операции это давно сложившаяся практика. Работники предприятия устно сообщают ему данные, а первичные документы приносят позднее. Аудитор подверг сплошной проверке первичные документы по операции, о которой шла речь, и обнаружил отсутствие некоторых из них – их забыли донести.
Подтверждение – одна из широко распространенных процедур в практике западных аудиторских фирм. В России такая практика пока не нашла широкого распространения. Подтверждение состоит в получении от третьих лиц аудиторских доказательств в отношении сальдо взаиморасчетов, дебиторской задолженности, обязательств кредиторов, остатка денежных средств на счетах в банках. Практика зарубежных аудиторских фирм показывает, что подтверждение из внешних источников более достоверно, чем доказательства, полученные из внутренних источников – из документов проверяемого субъекта или разъяснений его работников. Поэтому процедуру подтверждения применяют в том случае, когда необходимо снизить риск необнаружения R Данная процедура имеет свою специфику, поскольку запрашиваемая информация является коммерческой тайной, вследствие чего контрагенты проверяемого предприятия на запрос неизвестного им лица, скорее всего, не отреагируют. В силу этого аудитору следует направлять запросы от имени проверяемого предприятия. В [10] приведены типовые формы подобных запросов предприятиям-контрагентам и кредитным организациям.
Составление альтернативного баланса применяется для получения доказательств о реальности и полноте отражения в учете готовой продукции, выполнения работ, оказания услуг. Альтернативный баланс составляется из израсходованного сырья и материалов по нормам на единицу готовой продукции и фактического выхода продукции. Баланс материалов и выхода продукции позволяет выявить ошибки и нарушения в расходовании материалов, выходе продукции и тем самым повысить достоверность определения финансового результата (т. е. снизить риск RHC)).
Документальные процедуры – это способы получения аудиторских доказательств, состоящие в проверках документов (первичных, учетных регистров, деклараций, бухгалтерской отчетности, системных). Очевидно, что проверка документов, которые составляют первооснову учетного процесса, является наиболее широко применяемой аудиторской процедурой. Это особенно характерно для российских условий, поскольку отличительной чертой российского бухгалтерского учета является обязательность первичных документов для оформления любой хозяйственной операции.
Документальные процедуры используются прежде всего для выявления ошибок и нарушений в учете и в осуществлении хозяйственных операций, используются также для оценки надежности внутреннего контроля (оценки контрольного риска RK).