Читать книгу "О космосе"
Автор книги: Константин Циолковский
Жанр: Классическая проза, Классика
Возрастные ограничения: 12+
сообщить о неприемлемом содержимом
Единогласно решено направиться к родной планете. Марс своим притяжением все более и более портил правильную кривую движения ракеты. Так как предстояло около четырех месяцев путешествия, то оранжерею собрать было нельзя: не хватило бы запаса плодов на такое продолжительное время. Имея ее на буксире, нельзя было сильно тормозить взрыванием движение ракеты, не повредив живой источник питания. Все же торможение было в десятки раз сильнее, чем при медленном спиральном удалении от Солнца. Вследствие этого наши ученые очень круто спускались к Солнцу, спираль была укороченная. Теперь оранжерея была не позади ракеты, а впереди. В начале торможения они были от орбиты Земли на расстоянии 65 миллионов километров и двигались со скоростью около 25 километров в секунду. Скорость была только на 5 километров меньше земной. Вследствие торможения она должна бы умаляться; но падение ракеты, приближение к Солнцу, спуск ее – напротив – эту скорость увеличивали. При вступлении на орбиту Земли она должна составить около 30 километров, т. е. сравняться со скоростью Земли; тогда, при приближении к ней, все более и более будет сказываться притяжение планеты. Увеличивающуюся скорость опять придется тормозить взрыванием. Мысли путешественников были полны Землей, а потому – нам неинтересны, как и разговоры, которые их занимали при возвращении. Пожилые успели поседеть, юные – окрепнуть. Наблюдения делали только самые необходимые. Овладела апатия. Следили за оранжереей, за исправным действием ее и ракеты. Шли таким коротким путем, что едва заметили 3 или 4 новых астероида. Разность скоростей их и ракеты была громадна, и соединяться с ними для их исследования было затруднительно. Частые взоры устремлялись на красивую звезду вроде Венеры. Это была Земля. Они думали о ней. Она по мере приближения становилась все ярче и прекраснее. Вот уже она превратилась в красивую крохотную луночку. Серп ее увеличивается, делается больше Солнца, еще больше… Пересекают орбиту Луны. Земля громадна: в 4 раза больше ее спутника, в 16 раз светлее. Растет родная планета; она имеет хорошо знакомый им вид. Вот уже Земля занимает 3, 4, 5 градусов на небе; до нее осталось несколько дней пути. Сердца бьются тревожно. В особенности у молодых. Что-то встретит каждый на Земле?
Решено дать фототелеграмму небольшим зеркалом. Иванов телеграфировал следующее: «Мы, исследователи мировых пространств, находимся недалеко от Земли. Посетили и насколько возможно изучили пространство между орбитами Земли и Марса. В нем нашли более сотни крохотных планет с диаметром 5000 метров и менее. Но это только малая часть того, что мы предполагаем… Эроса не встретили. Замеченные астероиды представляют богатый и неистощимый материал для устройства колоний за орбитой Земли. Многие из планеток содержат тяжелые металлы в рудах и в чистом виде. Некоторые на 10 % состоят из золота и платины. Мы убедились, судя по составу этих небесных тел, что они составляют осколки одной или нескольких больших планет. Пространство, открытое нами, получает в два с половиной миллиарда раз более лучистой энергии, чем Земля. Простор его в триллионы раз больше земного… Кое-где встретили газовые кольца. Везем образчики пород, металлов и газов. Никто не пострадал, недостатков не терпели. Жизнь в указанном безграничном просторе прекрасна: вечный день, вечное тепло, чудные, разнообразные плоды и прекрасные условия для самой разносторонней технической и научной деятельности. Мы должны спуститься в Индийском океане, недалеко от берегов Ост-Индии. Предупреждаем пароходы…
Пощадите нашу скромность. Никаких встреч и торжеств! Бог нам дал талант, который мы поделили с людьми, и только… Мы ни в чем не нуждаемся. Всего имели вдоволь, даже и почета. Лучше поддержите среди вас гениев, которых вы едва знаете, но которых больше, чем вы думаете. Старайтесь их открыть. У них связаны руки вследствие их тяжелых материальных условий. Иванов».
Оранжерею надо было или собрать, или оставить кружиться по эллиптической орбите кругом Земли. Времени было мало, и поэтому решили ею пожертвовать. Убрали и растения в ракете и разные нежные для них приспособления; их обрекли той же участи. Значительное количество взрывчатого вещества было израсходовано, и потому ракета облегчилась.
Торможение все усиливалось. Земля казалась громадной и занимала четвертую долю неба. Колонии давно миновали. Выдвинули резервуары с водой, и ученые один за другим поместились в них, чтобы не пострадать от усиленной относительной тяжести. Короче – сделали все то, что приходилось делать ранее при отправлении с Земли. Ракета и ее части функционировали так же точно, как заведенный граммофон, играющий ту, а не другую пьесу. Ее действие все-таки регулировалось рукоятками приборов, также помещенных в жидкость…
Ракета вступает в атмосферу; накаливается тонкая предохранительная оболочка, но скорость ракеты уже не так велика и еще умаляется по мере приближения к поверхности океана.
57. На ЗемлеЕще энергичное торможение, и ракета почти остановилась…
Легкий шлепок в воду, и снаряд плавает на манер миноносца.
Отворяются ставни, окна; воздух родной планеты врывается со свистом в ракету. Путешественники как во сне. Долго не могут прийти в себя. Они давно уже выкарабкались из ящиков с предохранительной жидкостью, оделись.
Вряд ли путешественники смогли бы самостоятельно выбраться и переодеться после многолетнего путешествия в невесомости. О ее негативном влиянии уже я говорил.
Но Земля как будто другая. Она производит на них ошеломляющее впечатление: не то очарование, не то ужас. Прежде всего кажется, что холодновато и сыро; потом – ноги, руки и все тело точно налиты свинцом… Долго не могли встать с пола, кружилась голова, валялись как пьяные, особенно пожилые. Воздух, обремененный азотом, как будто душил их, но звуки голоса, от сравнительно плотной атмосферы, казались оглушительными. Подплыл моторный катер и взял их на буксир до парохода… Путешественники немного оправились. Ветер освежил их.
О скромности ученых были предупреждены, и потому никто не беспокоил их расспросами. Сами же себя они чувствовали не совсем хорошо. Началось с чихания… На другой день у многих обнаружился насморк. Некоторые заболели инфлюэнцей. Настроение больных было неважное; радость свидания с Землей была омрачена. Солнце как будто не грело, вяло светило. Небо казалось чересчур туманным, звезды ночью представлялись далекими, немногочисленными и слабыми, в особенности ближе к горизонту, свод – приплюснутым сверху… Везде неприятно пахло. Кушанья казались невкусными, люди неуклюжи в своих одеждах, мебель отвратительна, тяжесть несносна, тюфяки и подушки жестки. Новоприбывшие падали и спотыкались. Забывшись, отталкивались, думая лететь, но только позорно и смешно шлепались, их проклятия смешили окружающих. Большинство не понимало, в чем дело, и смотрело с удивлением на странных туристов. Их доставили благополучно в Бомбей, а оттуда по железной дороге дальше и, наконец, на воздушном корабле – в их Гималайский замок.
Население его, конечно, было осведомлено о похождениях своих друзей не менее других. Их встретили с распростертыми объятиями, но очень удивились их синякам и пластырям на лице. Когда же дело было разъяснено, они не могли удержаться от гомерического хохота, несмотря на все усилия.
На горах, хоть и было для вновь прибывших непривычно холодно, но Солнце палило жарче. Понемногу они оставили шубы, поправились, нашлепки соскочили с носов и лбов, привыкли к земной жизни и даже вошли во вкус ее. Гельмгольц и Галилей не оставляли их.
58. Собрание в замкеПланы новых небесных экскурсий
Весь мир ждал реферата ученых об их необыкновенном и плодотворном путешествии. Ньютон назначил день, когда он со своими друзьями может прочесть в замке доклад.
В этот день ученые делегаты от всех стран прибыли в замок. Ньютон, прерываемый часто своими не менее учеными спутниками и слушателями, подробно описал свои приключения в небесах. Потом он перешел к практическим выводам и к плану будущих путешествий и исследований.
– Пространство в 34 тысячах километров от земной поверхности, – сказал он, – где устраиваются сейчас колонии, – неудобно, так как там не имеется достаточного количества материала для работ. Поэтому я предлагаю новые поселения понемногу переводить в пространство между орбитами Земли и Марса. Оно переполнено богатейшим строительным материалом… Говорю про очень малые планеты, не видимые с Земли… Когда число колоний достаточно умножится, то они развернут там свою промышленность; станут сами строить свои жилища и не будут уже нуждаться в поддержке Земли. Материал есть в виде незначительных болидов также и между Землей и Луной, где помещены сейчас колонии, но его так мало, что не стоит говорить. Только взрывчатые вещества и ракеты, как средство отправления людей, некоторое время еще будет изготовлять Земля. Но ракеты, исполнив свое назначение, могут возвращаться, начиненные взрывчатыми веществами, уже приготовленными «там». Зато многие наши потомки найдут в небесном пространстве приют, счастье и полное нравственное удовлетворение! Предскажет ли нам человеческий гений, что будет с этими поселениями за орбитой Земли через тысячу, через миллион лет? Поведает ли нам кто-нибудь наперед, как будут устраиваться колонисты материально и социально по мере увеличения числа новоселов? Можем ли предвидеть, каких успехов они достигнут, как будет развиваться их индустрия и наука, как преобразится там самое человечество?.. Как через десятки миллионов лет ослабнет сияние Солнца? Узнаем ли мы, что сделают тогда обитатели неба? Найдут ли выход? Не отправятся ли они к другим, еще не погасшим солнцам? Каково будет путешествие? Какие встретят планеты и что на них найдут?.. Ведь планет, годных для жизни, подобных Земле, бесконечное множество…
– Но это так далеко-далеко, так гадательно, – заметил один из ученых слушателей. – Сообщите лучше о том, что можно еще предпринять в течение ближайшего времени?
– Вот отдохнем, оправимся от сильных впечатлений, наберемся энергии, – отвечал Лаплас, – и снарядим новую экспедицию.
– Тогда, – сказал Ньютон, – отправимся в область известных астероидов между орбитами Марса и Юпитера. Там мы должны найти много интересного. Попутно сделаем несколько оборотов кругом Марса, а может быть и посетим его. Легко побывать на его малых спутниках, – так же легко, как и овладеть почвой астероидов благодаря малой тяжести на их поверхности.
– Если не переутомимся, – сказал Иванов, – то, может быть, достигнем Юпитера и Сатурна. Едва ли удастся спуститься на эти планеты, так как смельчаков ожидает почти верная гибель. Но можно покружиться около них на близком расстоянии, посетить их малые спутники и залететь на кольца Сатурна…
– Возможно, что раньше предпримем путешествие по направлению нижних планет: Венеры и Меркурия, – заметил Ньютон.
– Трудно предвидеть заранее, сколько можно сделать и в какой степени удачно.
На другой день съезд закончился, и собрание разъехалось, а замок зажил снова своею мирною и разумною деятельностью.
Вот и закончилось космическое путешествие. Читатель познакомился с тем, какой необъятной фантазией, подкрепленной расчетами и экспериментами, обладал Константин Эдуардович Циолковский, стало очевидно, как близок он был в своих мечтах и фантазиях к реальности, которая начала воплощаться через 20 лет после его ухода. Константин Эдуардович опередил не только свое время, но и нашу современность. Не надо бояться мечтать!

Константин Циолковский. 1908–1909

К.Э. Циолковский (во втором ряду второй слева) в группе учителей Калужского уездного училища.
Фотография из собрания ГМИК. 1895

Свидетельство уездного учителя математики, полученное К.Э. Циолковским в Рязанской гимназии. 1879

Рисунок К.Э. Циолковского из статьи
«Возможен ли металлический аэростат?»
в журнале «Наука и жизнь». 1893

К.Э. Циолковский в своей мастерской у модели дирижабля. 1924

Один из рисунков К.Э. Циолковского к научно-фантастическому фильму. В 1974 году его чертежи и рисунки были объединены
в «Альбом космических путешествий»

Рисунок К.Э. Циолковского из рукописи «Свободное пространство»

К.Э. Циолковский выступает в Колонном зале
на торжественном собрании.
Фото из собрания ГМИК

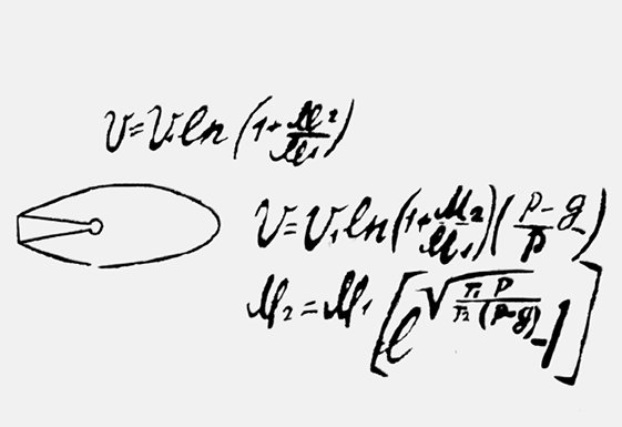
Автограф К.Э. Циолковского – уравнение движения ракеты.
Его формула и сегодня составляет важную часть математического аппарата, используемого при проектировании ракет

Астрономические чертежи К.Э. Циолковского

К.Э. Циолковский со слуховой трубой…

…и на велосипеде. 1932

К.Э. Циолковский в своей библиотеке. 1930