Читать книгу "Структурная биохимия"
Автор книги: Е. Бессолицына
Жанр: Прочая образовательная литература, Наука и Образование
Возрастные ограничения: 18+
сообщить о неприемлемом содержимом
Определение состава белка
Определение аминокислотной последовательности белков (секвенирование белков) дает наиболее полную информацию о первичной последовательности белка, но этот сложный и дорогой метод появился достаточно поздно. До него существовал более простой способ определения состава белка, который позволял определить какие аминокислоты и в каком количестве входят в состав белка.

Рисунок 69. Определение аминокислотного состава белка
Это не совсем полный анализ, но он дает достаточное количество информации. Определение аминокислотного состава необходимо для характеристики исследуемого белка, а также пептидных фрагментов, получаемых в ходе анализа первичной структуры. Для расщепления до свободных аминокислот пептид или белок подвергают исчерпывающему гидролизу, нагревая его с постоянно кипящей (5,7 М) HCl при 105°С в течение 24 ч. Поскольку в таких условиях пептидные связи остатков изолейцина и валина гидролизуются не полностью, проводят также 48– и 72-часовой гидролиз.
Ввиду этого для получения более надежных величин содержание валина и изолейцина оценивают, экстраполируя найденные значения к «бесконечному» времени, а содержание серина и треонина определяют – экстраполяцией к «нулевому» времени гидролиза. Некоторые аминокислоты вообще не выдерживают кислотного гидролиза и разрушаются практически полностью, поэтому для их определения требуются специально разработанные приемы. Образовавшуюся смесь аминокислот анализируют с помощью тонкослойной хроматографии (Рисунок 69).
Этот метод основан на различной подвижности молекул на носителе. Смесь молекул наносят на слой носителя (на пример бумага или пластинка со слоем силикагеля) и и край погружают в растворитель (обычно смесь гидрофобных и гидрофильных растворителей). Под действием капиллярных сил растворитель начинает двигаться по носителю (вверх восходящая хроматография, вниз нисходящая), когда растворитель достигает нанесенного пятна смеси, молекулы растворяются и движутся вместе с носителем, чем меньше сродство молекулы р растворителю, тем быстрее она оседает на носитель, следовательно меньше расстояние от старта (l), и наоборот, чем больше сродство молекулы к растворителю, тем l больше, расстояние пройденное от старта растворителем обозначают как L. Подвижность молекулы при хроматографии – это индивидуальный параметр для каждой молекулы в каждой отдельной системе растворителя. Подвижность или Rf рассчитывают по формуле:
Rf=l/L
Существуют специальные таблицы Rf в различных системах растворителей, по которым можно идентифицировать молекулы в исследуемых смесях и гидролизатах. Но обязательно использовать таблицы подвижности в системах растворителей, которые применялись для хроматографии, иначе данные будут искажены.
Гидролизат белка разделяют методом тонкослойной хроматографии, затем хроматограмму проявляют (используя качественные реакции на аминокислоты, чаще всего с нингидрином), затем рассчитывают Rf или сравнивают с пробегом маркерных аминокислот. Так определяют какие аминокислоты входят в состав белка. Количество каждой аминокислоты в белке определяют, элюируя аминокислоту с носителя и определяя ее количество в пятне. Имея это значение, количество гидролизованного белка и нанесенного гидролизата, можно рассчитать количество аминокислоты в белке. В настоящее время используют автоматические анализаторы, впервые описанные У. Хтейном, С. Муром и Д. Спекмэном. Их конструкции весьма разнообразны, однако все они основаны на описанном выше методе.
Но, естественно, более информативны методы определения аминокислотной последовательности.
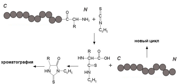
Определение аминокислотной последовательности полипептидов методом Эдмана
При определении аминокислотной последовательности к белку добавляют фенилизотиоцианат (реагент Эдмана); в результате реакции происходит отщепление N-концевого остатка в виде его фенилтиогидантоинового производного (реакция Эдмана). Идентификацию фенилтиогидантоиновых производных производят с помощью жидкостной хроматографии под давлением. Оставшийся белок снова обрабатывают реактивом Эдмана, и снова по циклу (Рисунок 70). Этот метод позволяет автоматизировать процесс определения. Приборы позволяют проводить полностью автоматизированное определение последовательности полипептидов, содержащих до 30—40 остатков (в некоторых случаях до 60 или даже до 80 остатков) за один прогон. Но белки имеют большую длину, поэтому их расщепляют на более короткие фрагменты в идеальном случае длиной 30—40 аминокислотных остатков, причем разрезание должно происходить не случайным образом а после определенных аминокислотных остатков. Этим требованиям отвечает расщепление

Рисунок 70. Схема определения аминокислотной последовательности по методу Эдмана
цианогенбромидом (CNBr), трипсином и о-иодозобензолом, также часто используют протеиназы, узнающие и разрезающие определенные последовательности аминокислот. Полученные фрагменты разделяют с помощью хроматографии и определяют последовательность.
Кроме того для определения первичной структуры белка все чаще прибегает к анализу последовательности нуклеотидов в соответствующем структурном гене или кДНК, что требует гораздо меньшего времени и дает в целом точные результаты. Однако такой путь не всегда практичен, так как при этом необходимо выделение и клонирование гена. Кроме того, он не позволяет обнаружить посттрансляционные модификации, без выявления которых исследование структуры белка нельзя считать завершенным.
Число установленных первичных структур быстро нарастает – еще в 1965 г. их счет шел на единицы, в 1975 г. было известно около 600, в1984 г. – 2500 последовательностей, содержащих около 0,5 млн. аминокислотных остатков, к концу 1980 г. Эти цифры возросли соответственно до 14400 и 4 млн.
Белки, выполняющие одинаковую функцию в организмах различных видов (например, гемоглобин) называются гомологичными. Обычно гомологичные белки – это полипептиды одинаковой или почти одинаковой длины. Во многих положениях всегда находятся одни и те же аминокислотные остатки, называемые инвариантными остатками. В других положениях аминокислоты варьируют от вида к виду, такие остатки называются вариабельными. Всю совокупность сходных черт в последовательностях гомологичных белков объединяют в понятие гомология последовательностей; наличие такой гомологии предполагает, что хозяева этих белков имеют общее эволюционное происхождение. Число остатков, по которым отличаются молекулы, пропорционально филогенетическому различию между видами. Например, цитохромы с лошади и дрожжей отличаются по 48 остаткам из 104, утки и курицы – по 4 остаткам, курицы и индейки – идентичны, свиньи, коровы и овцы – также идентичны. Исследование гомологии последовательностей используют для составления эволюционных карт.
Прежде, чем переходить к другим типам структуры белков, напомним, что мы имеем в виду под двумя важными терминами.
Конфигурация – пространственная организация органической молекулы, определяемая наличием в ней 1) двойных связей, вокруг которых невозможно свободное вращение, 2) асимметрических атомов углерода с расположенными вокруг них в определенной последовательности замещающими группами. Отличительным признаком конфигурационных изомеров является то, что их нельзя превратить один в другой без разрыва ковалентной связи. Конфигурационные изомеры можно разделить.
Конформация – термин, используемый для описания пространственного расположения в органической молекуле замещающих групп, способных изменять свое положение без разрывов связей благодаря свободному вращению вокруг свободных одинарных С-С-связей. Различные конформации нельзя отделить друг от друга.
Вторичная структура
Вторичной структурой называют пространственное расположение атомов главной цепи молекулы белка на отдельных ее участках. В соответствии с этим определением любой участок белка имеет вторичную структуру. Иногда рассматривают как вторичную структуру только те ее элементы, которые являются периодическими: α-спираль и β-слой. Понятие вторичной структуры, как подчеркивается в его определении, относится не ко всей белковой молекуле в целом, а к отдельным, более или менее протяженным участкам ее полипептидной цепи. Вторичная структура обеспечивается нековалентными водородными связями между частично отрицательным кислородом карбонильной группы пептидной связи и частично положительным водородом амидной группы другой пептидной связи.
Следует различать два вида вторичных структур: регулярные и нерегулярные. К регулярным относят α -спираль β-слой, β-изгиб, к нерегулярным – неупорядоченный участок.
α – спираль
В 50-х годах Л. Полинг и Р. Кори, основываясь на данных о структуре кристаллов аминокислот и простых пептидов, рассмотрели возможные периодические конформации полипептидной цепи и пришли к выводу, что наиболее вероятна структура, названная ими α -спиралью (Рисунок 71). При этом в основу выбора именно этой вторичной структуры были положены следующие критерии:
1. Образование плотноупакованной компактной структуры без пустот и перекрывания атомов.
2. Максимальная насыщенность структуры водородными связями с тем условием, чтобы геометрия водородной связи С-О – – – H-N была близка к линейной.
3. Соблюдение межатомных расстояний и углов, свойственных аминокислотам и простым пептидам.
С соблюдением этих условий можно построить как правую, так и левую α -спирали, однако правая α -спираль оказывается энергетически несколько выгоднее левой, если пептидная цепь образована L-аминокислотами. Между С=0– и N – Н-группами устанавливаются водородные связи так, что карбонильная группа i-ro остатка образует связь с N – Н-группой (i +4) -го, карбонильная группа (i +1) -го – с N – Н-группой (i +5) -го и т. д. То, что «над» карбонильной группой i-ro остатка оказывается NH-группа, а не карбонил (i +4) -го остатка, примерно и соответствует 3,6 остатка на оборот спирали, отрицательный заряд концентрируется на кислороде карбонильной группы, а положительный – на атоме азота. Возможности образования водородных связей между пептидными группами в α -спирали использованы сполна. В этом смысле α -спираль является как бы насыщенной, внутренне замкнутой.
Она не способна к взаимодействию с другими элементами вторичной структуры за счет образования водородных связей между пептидными группами. В формировании пространственной структуры белка важную роль играют нековалентные контакты, в которых участвуют боковые цепи аминокислот, входящих в α -спираль. При этом существенно, что на поверхности α -спирали оказываются сближенными боковые цепи аминокислот, разделенных двумя или тремя остатками в пептидной цепи. Если в этих позициях находятся гидрофобные аминокислоты, они образуют своеобразный гидрофобный гребень.
Взаимодействие между такими гребнями используется как способ упаковки α -спиралей в пространственной структуре белка. Точно так же могут быть образованы и гидрофильные, в частности заряженные, поверхности. Поэтому α -спираль – может быть чисто гидрофобной, что характерно для трансмембранных участков белков, или амфифильной, т. е. обладающей как гидрофобной, так и гидрофильной сторонами.

Рисунок 71. Структура α-спирали. А – схема взаимодействия аминокислот в α-спирали; Б – структура α-спирали
Длина α-спиральных участков в глобулярных белках относительно невелика и обычно составляет 5—15 аминокислотных остатков, редко превышая 3—4 оборота спирали; в фибриллярных белках она гораздо протяженнее. Иногда наблюдаются изломы спирали, обычно в местах включения остатков пролина, прерывающих систему водородных связей. При этом ось спирали отклоняется на 20—30°.
Не любой полипептид будет образовывать α-спираль. Так, если в цепи встречается подряд несколько остатков глутамата или аспартата, при нейтральных рН полипептид не примет конформации α-спирали вследствие взаимного отталкивания отрицательных карбоксильных групп. Аналогично α-спираль не будет образовываться в случае большого числа близко расположенных остатков лизина, несущих положительный заряд. Близко расположенные аминокислоты с отрицательно заряженными радикалами также взаимно отталкиваются, нарушая α-спираль. Гистидин, триптофан, лейцин, аргинин мешают образованию α-спирали вследствие большого размера R-групп. В пролине атом азота входит в состав жесткого кольца, что исключает возможность вращения вокруг N-С-связи. Кроме того, при атоме азота пептидной связи, образованной с участием амидной группы пролина, нет атома водорода. Следовательно, не может образоваться внутрицепочечная водородная связь. Как следствие, во всех случаях, когда в цепь включаются один или несколько остатков пролина, нарушается регулярная структура – образуются петля или изгиб.
β – структура
В отличие от α -спирали β-структура стабилизируется взаимодействиями между соседними отрезками пептидной цепи, т. е. несколько более отдаленными аминокислотами, которые могут даже принадлежать к разным полипептидным цепям (Рисунок 72). Эти отрезки могут быть направлены в одну сторону (N-концы взаимодействуют с N-концами) – параллельная β -структура или в противоположные (N-конец взаимодействует с С-концом) – антипараллельная β -структура. NH-группа какого-либо остатка в отрезке А дает водородную связь с карбонильной группой i-го остатка пептидной цепи В, а карбонильная группа того же аминокислотного остатка цепи А – с NH-группой (i +2) -го остатка в параллельной цепи В. Важно, что (i +1) -й остаток цепи В при этом как бы пропущен и его NH– и карбонильная группа во взаимодействии с цепью А не участвуют. Точно так. же далеко не все С=О– и NH-группы цепи А участвуют во взаимодействии с цепью В.
Таким образом, два отрезка параллельной β -структуры соединяются водородными связями, что приводит к формированию больших циклов из 12 атомов. Еще раз нужно подчеркнуть, что в каждой из цепей во взаимодействии с соседней участвует только половина групп, которые могли бы образовать водородные связи. Следовательно, каждый из этих участков пептидной цепи может образовать такую же систему, следовательно образовывать взаимодействия со следующим фрагментом полипептидной цепи, а его свободные группировки пептидных связей, со следующим, за счет чего слой и расширяется.
Радикалы как в спирали не участвуют в образовании β-слоя, радикалы аминокислот направлены вверх относительно поверхности β-слоя, формируя как бы «ворс на ковре». Следует иметь в виду, что поверхность β -складчатого листа редко является плоской, чаще она закручена влево, если смотреть перпендикулярно ходу отрезков. Угол между соседними отрезками цепи составляет при этом около 25°. Многократное повторение такого мотива приводит к закручиванию листа в структуру, подобную винтовой лестнице. Описаны также «барабаны», получающиеся при сворачивании протяженного β-листа, когда крайние отрезки пептидной цепи смыкаются, формируя между собой систему водородных связей, которая свойственна β-структуре. Очевидно, что β-структура в таких случаях утрачивает характер локального образования, подчас пронизывая всю белковую глобулу (и перерастает рамки данного в начале главы определения вторичной структуры). Учитывая это, к протяженным β-складчатым листам, играющим важную роль в формировании третичной структуры белка, применяют термин супервторичная структура.

Рисунок 72. Структура β-слоя
β – изгиб
Как α-спираль, так и β-структура обычно представлены в глобулярных белках сравнительно короткими отрезками, поэтому значительная часть вторичной структуры белка приходится на разного рода петли, позволяющие изменить направление пептидной цепи. Наиболее экономный структурный элемент, позволяющий повернуть полипептид на 180°, используя всего три пептидные группировки, получил название β-изгиба (Рисунок 73). β-Изгиб стабилизируется одной водородной связью. Его образованию могут мешать объемистые боковые цепи аминокислот, поэтому предпочтительно включение в него остатка глицина. Заметим, что β-изгиб практически всегда оказывается на поверхности белковой глобулы, поэтому нередко он играет существенную роль в ее взаимодействии с другими молекулами, например с иммуноглобулинами.

Рисунок 73. Структура β-изгиба
Неупорядоченная цепь
Неупорядоченные фрагменты чаще всего находятся на С-конце, также располагаются и внутри цепи. Эти участки не имеют своей точной оформленной структуры, а принимают ее уже в составе третичной структуры. С одной стороны это не достаточно стабильная структура, но очень часто такие петли участвуют в формировании функциональных центров белков, на пример, каталитических центров ферментов. И неупорядоченность отдельного фрагмента компенсируется полной упорядоченностью в составе уже третичной структуры белка.
Супервторичная структура белка
Появление термина супервторичная структура связан с тем фактом, что при накоплении данных о структуре белков выяснилось, что некоторые элементы вторичной структуры уже не совсем соответствуют этому названию. Так β-слой достаточной ширины может изгибаться, образуя бочонко– или лопастиподобные структуры. Такие структуры «пронизывают» всю белковую глобулу, но все-таки образуются частью полипептидной цепи, формируя что-то вроде центральной («градообразующей») структуры белковой глобулы. Следовательно, подобные конструкции относятся к вторичным структурам, но их размеры позволяют прибавить приставку супер.

Рисунок 74. Супервторичная структура белка. коллагена. А – организация фибриллы; Б – структура связи между остатками лизина
Второй такой пример появился при изучении структуры коллагена. У высших животных значительную часть организма составляет соединительная ткань. Три ее главных компонента коллаген, эластин и протеогликаны. Коллаген и эластин – примеры фибриллярных белков. Они формируют два основных типа волокон соединительной ткани: коллагеновые и эластические.
Коллаген – уникальная спираль, не встречается больше ни в каких белках (α– и β-спирали – хотя бы на отдельных участках глобулярных белков). Фибриллы состоят из повторяющихся полипептидных частиц тропоколлагена, уложенных вдоль фибриллы в виде параллельных пучков по типу «голова к хвосту». Состоят из 3 полипептидных цепей, плотно скрученных в виде трехжильного каната. Образуется палочкообразная молекула длиной 300 нм и толщиной 1,5 нм, массой около 300 000 Д. Три цепи имеют равную длину, в каждой содержится около 1000 аминокислотных остатков. В одних коллагенах все 3 цепи одинаковы, в других одинаковы 2, третья отличается. Каждая цепь также представляет собой спираль, отличную от α и β-структур. За счет высокого содержания пролина и оксипролина образуется жесткая изогнутая конформация. Дополнительно цепи связаны поперечными водородными и необычными ковалентными связями между остатками лизина (Рисунок 74).
Коллаген практически нерастяжим из-за очень плотной скрученности и множества поперечных связей. С возрастом число поперечных связей растет. В очень эластичном белке соединительной ткани эластине содержится очень много лизина и мало пролина. Образуется спираль особого типа. Для нее характерно чередование спиралей из богатых глицином участков с более короткими участками лизина и аланина. 4 молекулы лизина ферментативно образуют одну молекулу десмозина.
Третичная структура белка
Третичной структурой называют распределение в пространстве всех атомов белковой молекулы. При этом не учитывают взаимодействия этой глобулы с соседними глобулами или субъединицами. Часто понятие третичной структуры сужают, концентрируя внимание на наиболее устойчивом ее элементе – свойственном данному белку способе укладки полипептидной цепи в пространстве. Характерно, что для больших групп эволюционно родственных белков, подчас очень значительно отличающихся по первичной структуре и, значит, по распределению всех атомов в пространстве, способ укладки полипептидной цепи остается в главных чертах неизменным. Это показывает, что допускаемое упрощение оправдано, так как оно отражает существенные черты третичной структуры.
Третичная структура – основа функциональности белка, которая требует точной пространственной организации больших ансамблей, построенных из множества аминокислотных остатков и их боковых групп. Такие ансамбли формируют активные центры ферментов, зоны связывания других биологических молекул, эффекторные центры белков и т. д., поэтому нарушение третичной структуры белка (денатурация) неизменно приводит к утрате им способности функционировать.
В образовании третичной структуры участвует множество видов связей ковалентных и нековалентных, между радикалами аминокислотных остатков и элементами пептидных связей.
К ковалентным относятся дисульфидные связи, которые за счет большей прочности сильно стабилизируют белок. Дисулъфидные связи образуются при окислении сближенных в пространственной структуре белка остатков цистеина в остатки цистина. Как уже упоминалось, это единственный тип ковалентных связей, участвующих в дополнение к обсужденным выше нековалентным взаимодействиям в стабилизации третичной структуры. Таким образом, наличие в белке дисульфидных связей вовсе не является непременным условием его стабильности. Однако немало белков, в том числе достаточно стабильных, вовсе их лишены. Например, РНК-аза один из самых стабильных белков, сохраняющий функциональность даже после десяти минут кипячения. По-видимому, стабилизация белковой структуры дисульфидными связями объясняется, прежде всего, тем, что они, сохраняясь денатурированном белке, резко сокращают число возможных конфигураций развернутой полипептидной цепи, понижая тем самым ее энтропию.
Типов нековалентных взаимодействий при формировании третичной структуры больше и, следовательно, именно они обеспечивают основную укладку и стабилизацию белковой молекулы.
Это прежде всего водородные связи, которые представляют собой электрические взаимодействия между частично положительно заряженным атомом одной группировки и частично отрицательным другой. Эти связи могут образовываться между карбонилом одного аминокислотного остатка и амидом другого, данные группировки являются элементами пептидной связи, участвуют в формировании вторичной структуры.
При формировании третичной структуры также образуются водородные связи между элементами пептидной, но уже в неупорядоченных петлях, также добавляются водородные связи между частично заряженными группировками радикалов неионных гидрофильных аминокислот, увеличивая количество водородных связей. Второй вид связей сходных по своей природе с водородными – ионные. Это электрические взаимодействия между ионизованными группировками радикалов кислотных и основных аминокислотных остатков.
Последняя группа нековалентных связей – гидрофобные или ван-дер-ваальсовы, которые представляют собой перекрывания гидрофобных радикалов аминокислот, которые как и в мембранах, как бы изолируются от воды под гидрофильными фрагментами полипептида, взаимодействуя только друг с другом.
Учитывая тот факт, что третичная структура – основа функциональности белка и огромное многообразие белков, можно сказать, что структура каждого отдельного белка уникальна.
Для определения третичной структуры белка используется метод рентгеноструктурного анализа полимерных молекул, принцип которого заключается в следующем. Пучок рентгеновских лучей направляют на кристалл белка, где они сталкиваются с атомами и происходит отклонение лучей от основной оси на определенный угол, проходя сквозь кристалл отклонившиеся лучи засвечивают пленку, в зависимости от атома, с которым произошло столкновение угол отражения отклонившиеся лучи будут суммироваться или взаимовычитаться, это явление называется дифракция. С учетом дифракции по пятнам на рентгенограмме и известны углах отклонения определяют положение атомов в кристалле и их типы (именно поэтому белок должен быть в виде кристалла, чтобы все атомы были фиксированы). И уже по полученным данным, определяют положение атомов в молекуле, то есть третичную структуру. Этот процесс очень сложный, но в настоящее время определена структура множества белков, как было сказано ранее каждая из них уникальна, и изучить структуру всех известных белков не возможно, и даже специалисты изучают строго определенные группы белков, но, несмотря на это, можно выявить общие тенденции в образовании структуры белка.
Гидрофобное ядро
Молекулы большинства белков находятся в воде и гидрофильные аминокислоты могут образовывать связи с водой, если бы все аминокислоты в белке были гидрофильны, то преобладали бы взаимодействия с водой, а не с другими аминокислотами, и образование стабильной глобулы было бы невозможно (Рисунок 75). Поэтому часть аминокислот гидрофобные, они изолируются от воды под гидрофильными аминокислотами, создавая плотное компактное гидрофобное ядро, этому способствуют короткие ван-дер-ваальсовы связи, в результате молекула сворачивается в структуру по форме близкую к шару, так как у этой фигуры оптимальной соотношение поверхность/объем, и как следствие она более энергетически выгодна. В гидрофобное ядро, которое, вовсе не обязательно приближается к сферической конфигурации, но более или менее компактно, обычно входит 20—30% общего числа аминокислотных остатков. В нем особенно представлены объемистые остатки лейцина, изолейцина, фенилаланина, валина. Гидрофобное ядро окружено наружной гидрофильной оболочкой, имеющей контакт с водой. В ней содержатся гидрофильные аминокислотные остатки взаимодействующие как друг с другом так и молекулами воды, образующими гидратную оболочку белка из связанной с ним воды. Но наряду с ними немало и боковых цепей гидрофобных аминокислот – до половины их общего содержания. Нередко образуются своего рода гидрофобные пятна, «лоскуты», которые придают поверхности белка мозаичный характер, чередуясь со строго гидрофильными участками. Такие гидрофобные выходы могут иметь функциональное значение – они формируют гидрофобные участки зон связывания субстратов и других лигандов, участвуют в белок-белковых взаимодействиях, в частности в стабилизации четвертичной структуры. Также крупные гидрофобные участки поверхности белка характерны для интегральных мембранных белков.

Рисунок 75. Эволюционное развитие ядра и оболочек белка. Темно-серым отмечено гидрофобное ядро; светло-серым – гидрофильная поверхность; черным – гидратная оболочка
Домены в белках
Свойственный белкам способ организации пространственной структуры – формирование гидрофобного ядра и мозаичной поверхности, содержащей как гидрофильные, так и гидрофобные элементы, – на первый взгляд, ограничивает размеры глобулы, поскольку с увеличением ее объема строго гидрофобное ядро будет составлять все меньшую долю. В какой-то мере это так, но ограничение затрагивает лишь размеры данным способом организованной структуры, а не молекулы в целом. Действительно, начиная примерно с молекулярной массы 14 – 16 кДа прослеживается тенденция к формированию белковой молекулы из двух (и более) в той или иной степени независимо образованных глобул, каждая из которых имеет свое гидрофобное ядро. Такие глобулы – домены – формируются различными отрезками одной и той же полипептидной цепи (Рисунок 76).
Доменами в белках называют области в третичной структуре, которым свойственна определенная автономия структурной организации. Автономия эта подчас столь значительна, что домены могут независимо от других частей белковой молекулы поддерживать и даже формировать пространственную структуру. Во многих случаях удается разделить домены, подвергнув белок ограниченному протеолизу. В рамках биологической функции данного белка домены нередко, хотя и не всегда, выполняют собственные задачи, и тогда структурная автономия домена дополняется функциональной.
Например, нуклеотидсвязывающий домен дегидрогеназ, имеющий, независимо от конкретной функции того или иного фермента одинаковый способ укладки полипептидной цепи, ответствен за взаимодействие с одним из субстратов реакции – коферментом NAD или NADH. Аминоконцевые домены ферментов системы свертывания крови обеспечивают связывание с липидами мембраны и другими белками, аминоконцевые домены иммуноглобулинов формируют центр связывания антигена. Домен цинковый палец, представляющий собой β-слой из двух цепей с β-изгибом, дополнительно стабилизированы ионом цинка. Цинковый палец является ДНК-связывающим доменом у эукариот.
Уникальная последовательность аминокислотных остатков образует уникальный набор связей с экспонированными в большой желобок группами азотистых оснований, в зависимости от последовательности нуклеотидов ДНК набор экспонированных групп будет варьировать, а, следовательно, набор аминокислотных остатков в «пальце» будет отличаться, все это обеспечивает связывание со строго определенными последовательностями нуклеотидов в ДНК. У прокариот такую функцию выполняет домен «спираль-поворот-спираль», одна из α-спиралей взаимодействует с ДНК, по тому же принципу что и в «цинковом пальце», короткая петля или поворот, обеспечивает поворот на 900 другой спирали, богатой основными аминокислотами, которые взаимодействуют с сахаро-фосфатным остовом ДНК.
Чаще всего домены формируются автономным свертыванием последовательно расположенных участков полипептидной цепи, хотя известны случаи, когда пространственная структура домена образована двумя далеко отстоящими друг от друга отрезками первичной структуры белка.

Рисунок 76. Примеры структуры некоторых доменов. А – домен пируваткиназы (тип β-бочонка), Б – «цинковый палец»; В – «лейциновая молния»
Естественно в образовании третичной структуры участвуют взаимодействуя и элементы вторичной. По соотношению и взаимодействию этих элементов выделены следующие главные типы пространственной структуры:
1. α-Спиральные белки, построенные преимущественно из α-спиралей. Простейший структурный мотив в таких белках – пучок четырех α-спиралей, оси которых более или менее параллельны. Именно такую структуру имеют миогемэритрин, Н-субъединица ферритина. Типично α-спиральными белками являются глобины.
2. β-Белки, образованные преимущественно β-складчатыми слоями. В большинстве таких белков β-слои наложены под небольшим углом или ортогональны. Примерами таких белков могут служить пепсин и другие аспартильные протеиназы, супероксиддисмутаза, большое семейство белков – переносчиков метаболитов (например, жирных кислот).
3. α/β-Белки, в которых α-спирали и отрезки β-структуры чередуются. Обычно это приводит к формированию центрального β-складчатого листа, окруженного с обеих сторон α-спиралями, экранирующими его от воды. Этот тип пространственной структуры очень распространен. К нему принадлежат NAD-связывающие домены дегидрогеназ, триозофосфатизомераза и около десятка других белков, структурно близких к этому ферменту.