Читать книгу "Структурная биохимия"
Автор книги: Е. Бессолицына
Жанр: Прочая образовательная литература, Наука и Образование
Возрастные ограничения: 18+
сообщить о неприемлемом содержимом
Цuc/транс-изомерия ненасыщенных жирных кислот
Углеродные цепи насыщенных жирных кислот имеют форму зигзагообразной линии, когда они вытянуты (как это имеет место при низких температурах). При более высоких температурах происходит поворот вокруг ряда связей, приводящий к укорочению цепей, – именно поэтому при повышении температуры биомембраны становятся тоньше. У ненасыщенных жирных кислот наблюдается геометрическая изомерия, обусловленная различием в ориентации атомов или групп относительно двойной связи. Если ацильные цепи располагаются с одной стороны от двойной связи, образуется цис-конфигурация, характерная, например, для олеиновой кислоты, если же они располагаются по разные стороны, то молекула находится в трансконфигурации, как в случае элаидиновой кислоты – изомера олеиновой кислоты. Природные полиненасыщенные длинноцепочечные жирные кислоты почти все имеют цис– конфигурацию; на участке, где находится двойная связь, молекула «согнута» и образует угол в 120°. Таким образом, олеиновая кислота имеет форму буквы Г, тогда как элаидиновая кислота на участке, содержащем двойную связь, сохраняет «линейную» трансконфигурацию. Увеличение числа цис-двойных связей в жирных кислотах ведет к увеличению числа возможных пространственных конфигураций молекулы. Это может оказывать большое влияние на упаковку молекул в мембранах, а также на положение молекул жирных кислот в составе более сложных молекул, таких, как фосфолипиды. Наличие двойных связей в транс-конфигурации изменяет эти пространственные соотношения. Жирные кислоты в транс-конфигурации присутствуют в составе некоторых пищевых продуктов. Большинство из них образуется как побочные продукты в процессе гидрогенизации, благодаря которому жирные кислоты переходят в насыщенную форму; таким способом, в частности, добиваются «затвердевания» природных масел при производстве маргарина. Кроме того, еще некоторое небольшое количество транс-кислот поступает с животным жиром – он содержит транс-кислоты, образовавшиеся под действием микроорганизмов, присутствующих в рубце жвачных животных.
Физические свойства жирных кислот
Поглощение света
Жирные кислоты не поглощают ни в видимой, ни ультрафиолетовой части спектра света.
Температуры плавления
Температуры кипения и плавления жирных кислот возрастают с увеличением длины углеводородной цепи. Насыщенные жирные кислоты с четным числом углеродных атомов являются при комнатной температуре жидкостями, если общее число углеродных атомов меньше 10, или твердыми, если углеродная цепь более длинная. Ненасыщенность жирных кислот цис-ряда существенно влияет на их свойства. Так, с увеличением числа двойных связей значительно снижается температура плавления жирных кислот, возрастает их растворимость в неполярных растворителях. Все обычные ненасыщенные жирные кислоты, встречающиеся в природе, при комнатной температуре – жидкости.
Растворимость
Жирные кислоты являются слабыми амфифилами, то есть имеют гидрофильную карбоксильную группу и гидрофобный в той или иной степени хвост.
Химические свойства жирных кислот
Кислотно-основные свойства жирных кислот
Жирные кислоты являются слабыми кислотами и диссоциируют в водных растворах, значения констант диссоциации для всех насыщенных жирных кислот очень близки между собой (рК=4,85), а также соответствующей константе уксусной кислоты (рК=4,76). Исключение составляет первый член этого ряда – муравьиная кислота (рК=3,75). Таким образом, в водных растворах неионизированная форма жирной кислоты (RCOOH) является преобладающей при рН <рК, тогда как ионизированная форма (RCOO~) преобладает при рН> рК
Этерификация
Этерификация – наиболее известная реакция с участием карбоксильной группы; в ходе этерификации молекулы кислоты и спирта обратимо реагируют с образованием эфира и воды. В отсутствие катализатора эта реакция протекает чрезвычайно медленно. Однако скорость ее возрастает с увеличением температуры или концентрации ионов водорода, а также при увеличении обоих этих параметров.
Другие химические свойства жирных кислот
Реакции по двойным связям
Реакции по двойным связям жирных кислот включают присоединение водорода или галогена, а также окисление различными реагентами (Рисунок 44). Ненасыщенные жирные кислоты или их эфиры могут быть легко гидрированы газообразным водородом в присутствии катализаторов, например тонкоизмельченной платины, палладия или активированного никеля. Если восстановление осуществляется до полного насыщения, то такие ненасыщенные жирные кислоты, как линолевая и линоленовая, количественно превращаются в стеариновую кислоту. Галогены (например, Вr2) легко присоединяются по двойным связям жирных кислот и их эфиров. В подходящих растворителях эта реакция протекает самопроизвольно и в большинстве случаев до конца.

Рисунок 44. Реакции по двойным связям
Окисление

Рисунок 45. Окисление ненасыщенных жирных кислот в мягких условиях
В то время как насыщенные жирные кислоты относительно устойчивы к окислению, ненасыщенные кислоты легко могут быть окислены. Окисление медленно и самопроизвольно происходит под действием кислорода воздуха и является частью процесса, называемого прогорканием масла.
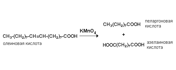
Предполагается, что в этой реакции двойные связи атакуются пероксидными радикалами с образованием неустойчивых гидропероксидов, которые разлагаются с образованием кето– и оксикето-кислот. Окисление по двойным связям происходит значительно быстрее в присутствии озона О3. Предполагается, что вначале образуются нестойкие озониды, которые затем в восстановительных условиях гидролизуются с образованием двух альдегидных групп. Эта реакция используется для установления положения двойной связи в цепях жирных кислот. Идентификация фрагментов, полученных в результате озонолиза и последующего гидролиза в окислительных условиях, также позволяет сделать заключение о структуре исходной жирной кислоты. С этой целью может быть проведено также окисление перманганатом калия. В мягких условиях двойные связи окисляются с образованием гликолей. В жестких условиях тот же реагент расщепляет молекулу по двойной связи с образованием карбоксильных групп по месту расщепления (Рисунок 45, 46).

Рисунок 45. Окисление ненасыщенных жирных кислот в жестких условиях
Функции жирных кислот
Жирные кислоты за исключением эйкозаноидов практически не встречаются в свободном состоянии это и определяет их функции.
Жирные кислоты входят в состав и частично определяют физические свойства большинства других липидов.
Эйкозаноиды являются регуляторными молекулами: простагландины участвуют в регуляции воспаления (ингибиторы синтеза простагландинов являются противовоспалительными и как следствие обезболивающими препаратами, на пример, Naise и Кеторол), а так же других иммунных процессов, также протагландины регулируют артериальное давление и гемопоэз, это позволяет предполагать что спектр их регуляторных функций очень велик. Обнаруженные на поверхности лейкоцитов лейкотриены также участвуют в регуляции иммунных ответов. Тробоксаны участвуют в регуляции гемостаза и свертывания крови. Из всего выше сказанного можно заключить, что эйкозаноиды участвуют в регуляции множества процессов, и весь их спектр пока не известен.
Липиды, содержащие глицерин
Нейтральные жиры или Моно-, ди– и триацилглицерины
Нейтральные жиры – наиболее распространенная в природе группа липидов. Эти соединения являются эфирами жирных кислот и глицерина. Одна, две или три гидроксидные группы глицерина могут быть этерифицированы жирной кислотой с образованием моно-, ди– и триацилглицеринов соответственно. Термины «моно-, ди– и триглицериды» часто применяются для обозначения таких эфиров глицерина, однако они не являются химически строгими. Общая формула триацилглицеринов, где R, Ŕ и Ŕ́ – остатки одинаковых или разных жирных кислот, связанных с глицерином сложноэфирной связью (Рисунок 46).

Рисунок 46. Структурная формула триацилглицерола (триацилглицерида)
Номенклатура нейтральных жиров основывается на названиях жирных кислот, входящих в их состав. Так, например, тристеарин содержит в одной молекуле три остатка стеариновой кислоты, а олеодистеарин – один остаток олеиновой и два остатка стеариновой кислоты. Триацилглицеролы, содержащие остатки одинаковых жирных кислот во всех трех положениях, называют простыми триацилглицеролами; их название определяется названием жирной кислоты. Так, например, тристеароилглицерол, трипальмитоилглицерол и триолеилглицерол содержат соответственно остатки стеариновой, пальмитиновой и олеиновой кислот. Чаще пользуются тривиальными названиями этих соединений, а именно: тристеарин, трипалъмитин, триолеин. Триацилглицеролы, содержащие два либо все три разных остатка жирных кислот, называют смешанными триацилглицеролами. Большинство природных жиров, таких, как оливковое или сливочное масло и другие пищевые жиры, содержат сложные смеси простых и смешанных триацилглицеролов, в состав которых входят жирные кислоты, различающиеся как по длине цепи, так и по степени насыщенности.
Физические свойства триацилглицеридов
Нейтральные жиры являются слабыми амфифилами, они намного более гидрофобны, чем жирные кислоты, поскольку эфирные связи, так же как и свободные гидроксидные группы в моно– и диацилглицеринах, не ионизированы и являются слабополярными. Таким образом, свойства этих веществ определяются главным образом наличием в их молекулах гидрофобных алкильных групп. Жиры нерастворимы в воде, но хорошо растворяются в неполярных растворителях.
Триацилглицеролы, содержащие остатки только насыщенных жирных кислот, при комнатной температуре имеют консистенцию твердого вещества. Примером может служить тристеарин основной компонент говяжьего сала. Триацилглицеролы, содержащие три ненасыщенные жирные кислоты (например, триолеин – основной компонент оливкового масла), при комнатной температуре находятся в жидком состоянии. Сливочное масло представляет собой смесь триацилглицеролов, причем в состав некоторых из них входят жирные кислоты с относительно короткими цепями; поскольку с укорочением цепи жирной кислоты температура ее плавления снижается, сливочное масло при комнатной температуре имеет мягкую консистенцию. Чем жир богаче остатками короткоцепочечных и ненасыщенных жирных кислот, тем выше его растворимость и ниже температура плавления. Насыщение и увеличение длины цепей приводят к возрастанию температуры плавления; так, при комнатной температуре тристеарин представляет собой твердое вещество (т. пл. 71°С), тогда как триолеин (т. пл. —17°С) и трибутирин (т. пл. —75°С) – жидкости.
Большинство животных жиров преимущественно содержит в различных соотношениях эфиры пальмитиновой, стеариновой, пальмитоолеиновой, олеиновой и линолевой кислот. Жиры из различных тканей одного и того же организма могут существенно различаться по составу. Так, подкожный жир человека более богат насыщенными жирными кислотами, чем жир печени, который в свою очередь содержит больше ненасыщенных жирных кислот. Жиры масла или молока по сравнению с другими жирами содержат наибольшее количество короткоцепочечных жирных кислот. Подкожные жиры различных млекопитающих существенно различаются по степени ненасыщенности остатков жирных кислот, о чем можно судить по разнице их температур плавления. У говяжьего жира она довольно высока, а свиное сало плавится при гораздо более низкой температуре.
Растительные жиры (масла) также весьма разнообразны по составу жирных кислот, которые различаются как длиной углеводородных цепей, так и степенью их ненасыщенности. При комнатной температуре многие из них являются жидкостями.
Химические свойства триацилглицеридов
Гидролиз и омыление
Триацилглицериды вступают в реакцию гидролиза в кислых условиях, в результате образуются 3 молекулы жирной кислоты и глицерин (Рисунок 47).
Эта реакция протекает довольно медленно в кипящей воде, но значительно ускоряется каталитическими концентрациями Н+. В животных и растительных тканях эта реакция катализируется ферментами, называемыми эстеразами или, более точно, липазами.
Расщепление нейтральных жиров щелочами (ОН-) называется омылением (Рисунок 47). Освобождающиеся в результате реакции карбоксилатные ионы (R-СОО-) в присутствии катионов образуют мыла. Если использовалась калиевая щелочь то образуется жидкое мыло, если натриевая, то твердое. Реакция необратима; карбоксилатные ионы не вступают в реакцию рекомбинации с гидроксидными группами глицерина. Протеканию реакции омыления благоприятствует то, что первые порции образовавшегося мыла действуют как детергент. Конечные продукты реакции – мыла и глицерин – растворимы в воде и нерастворимы в неполярных растворителях, например в эфире. Это обстоятельство часто используется в химии липидов при разделении смеси веществ. Омыляемая фракция определяется как часть суммарного липида, которая после обработки горячей щелочью станоится растворимой в воде и нерастворимой в эфире. Нейтральные жиры, таким образом, являются омыляемыми.

Рисунок 47. Гидролиз и омыление триацилглицеридов
Другие химические свойства триацилглицеролов определяются структурой и свойствами входящих в их состав жирных кислот. В этом случае в реакции вступают углеводородные радикалы жирных кислот. Соответственно триацилглицериды вступают в те же реакции что и жирные кислоты. Восстановление – производство маргарина. Окисление – прогоркание масла.
Функции триацилглицеридов
Триацилглицеролы – основной компонент жировых депо растительных и животных клеток. В мембранах они не содержатся. Важно отметить, что триацилглицеролы – это неполярные, гидрофобные вещества, поскольку они не содержат заряженных или сильно полярных функциональных групп. В большинстве растительных и животных клеток триацилглицеролы находятся в цитозоле в виде мелкодисперсных эмульгированных маслянистых капелек. В специализированных клетках соединительной ткани животных, а именно в адипоцитах, или жировых клетках, огромное количество триацилглицеролов может запасаться в виде жировых капелек, заполняющих почти весь объем клетки. В большом числе жировые клетки обнаруживаются под кожей, в брюшной полости и в молочных железах.
Триацилглицеролы выполняют следующие функции:
Энергетическая. Это более компактный и эффективный источник энергии чем углеводы. При окислении липидов выделяется в два раза больше энергии, чем при окислении углеводов. Кроме того они более стабильны так как могут накапливаться в очень больших количествах в практически чистом, негидратированном виде. Поэтому животные, тратящие много энергии на двигательную и другие виды активности, используют как основной запас энергии именно триацилглицеролы. У тучных людей в жировых клетках накапливаются килограммы триацилглицеролов, энергии которых могло бы хватить на обеспечение основного обмена организма в течение нескольких месяцев. В отличие от этого в форме гликогена организм может запасти энергию не более чем на сутки.
Источник эндогенной воды. При окислении липидов выделяется много воды, поэтому животные пустынь, например, верблюды запасают большие количества жира, при окислении которого они получают и энергию и воду, так как жиры гидрофобны, они не влияют на водный баланс. Постепенное окисление позволяет пополнять затраченные количества воды в организме, также не нарушая водного баланса организма. То же касается животных, впадающих в сезонные спячки (медведи, ежи и др).
Механическая защита. Откладываясь в подкожной жировой клетчатке на ступнях и ладонях образует амортизирующую прокладку, защищающую кости от ударов при ходьбе.
Термическая защита. Образует теплоизолирующую прокладку уменьшая теплоотдачу организма и защищающая организм от действия очень низких температур (Тюлени, моржи, пингвины и другие теплокровные животные Арктики),.
Химическая защита. Гидрофобные чужеродные вещества депонируются в жировых каплях, в результате изолируются от других клеток организма.
Простые эфиры глицерина и гликозилглицериды
Нейтральные липиды, называемые алкиловыми эфирами глицерина, были выделены из опухолевых клеток человека и бычьих эритроцитов. В этих соединениях длинноцепочечный (насыщенный или ненасыщенный) спирт и глицерин связаны простой эфирной связью. Имеющиеся данные позволяют предположить, что в природе эти липиды находятся не в свободном состоянии, а в виде этерифицированных производных длинноцепочечных жирных кислот, называемых алкильными диацилглицеринами.
Гликозилдиацилглицериды были выделены из растений и бактерий. Один из представителей липидов этого типа, выделенный из хлоропластов и хроматофоров фотосинтезирующих бактерий, содержит 6-сульфо-6-дезоксиглюкозу (хиновозу), связанную гликозидной связью с диацилглицерином. Биологическая роль липидов этого типа еще не установлена.
Полярные липиды
Эта группа глицеринсодержащих липидов включает производные L-глицеро-3-фосфата. В основе их классификации лежит тип связи между углеводородной частью молекулы и глицерином, а также природа полярных групп (помимо фосфата) в молекуле. Биологическая роль этих амфифильных молекул весьма велика, так как именно они составляют до 50% всех липидов биологических мембран.
Фосфолипиды
К фосфолипидам относятся фосфатидная кислота и фосфатидилглицеролы, фосфатидилхолин, фосфатидилэтаноламин, фосфатидилинозитол, фосфатидилсерин, лизофосфолипиды, плазмалогены и сфингомиелины (Рисунок 48).

Рисунок 48: Структурные формулы фосфолипидов и плазмалогенов: А-фосфатидная кислота; Б-кардиолипин; В-фосфатидилэтаноламин; Г-фосфатидилсерин; Д-фосфатидилхолин; Е-плазмалоген
Фосфатидная кислота и фосфатидилглицеролы
Фосфоглицериды широко распространены в растениях, животных и микроорганизмах и могут рассматриваться как производные L-фосфатидной кислоты (1,2, -диацил-L-глицеро-3-фосфата). Среди соединений этой группы наиболее часто встречаются фосфатидилхолин, фосфатидилэтаноламин и фосфатидилсерин, содержащие азотистое основание холин, этаноламин и серии соответственно. Фосфатидилхолины называют также лецитинами. У большинства природных фосфатидов насыщенные жирные кислоты (C16—C18) находятся обычно в положении С-1, а ненасыщенные жирные кислоты (С16—С20), содержащие от одной до четырех двойных связей, – в положении С-2, хотя известны исключения из этого правила.
Физические и химические свойства фосфолипидов
При физиологических значениях рН фосфатиды являются диполярными ионами и существуют преимущественно в виде ионных форм, изображенных выше. Таким образом, ионизированные группы образуют высокополярную гидрофильную часть молекулы, тогда как две ацильные группировки образуют ее гидрофобную часть. Функциональные группы этаноламина и серина имеют следующие значения рK: серин 9,15 (аминогруппа) и 2,25 (карбоксильная группа); этаноламин 9,5 (аминогруппа). Холин (гидроксид B-оксиэтилтриметиламмония) является таким же сильным основанием, как КОН, и полностью диссоциирует в воде с образованием ионов холина и гидроксила.
Температура плавления обеспечивается жирными кислотами, входящими в состав фосфолипидов, как и в случае триацилглцеролов.
Фосфоглицериды вступают в те же реакции, что и триацилглицеролы, то есть в реакции гидролиза и омыления, а также в реакции по углеводородным хвостам жирных кислот.
Функции фосфолипидов
Лизофосфолипиды. Эту группу соединений образуют фосфоацилглицеролы, содержащие только один ацильный радикал. Примером служит лизолецитин, играющий важную роль в метаболизме фосфолипидов. Фосфатидная кислота является важным прометуточным соединением в ходе синтеза триацилглицеролов и фосфолипидов, но в тканях содержится в незначительных количествах.
Все остальные липиды кроме лизофосфолипидов и фосфатидной кислоты входят в состав мембран. Но в составе мембран они могут выполнять дополнительные функции, которые зависят от типа фосфолипида и будут рассмотрены ниже.
Фосфатидилхолин (лецитин). Лецитины, как и простые жиры, содержат глицерол и жирные кислоты, но в их состав еще входят фосфорная кислота и холин. Лецитины широко представлены в клетках различных тканей, они выполняют как метаболические, так и структурные функции в мембранах. Дипалъмитиллецитин – очень эффективный поверхностно-активный агент, снижающий поверхностное натяжение и тем самым препятствующий слипанию внутренних поверхностей дыхательных путей в легких. Его отсутствие в легких недоношенных новорожденных приводит к развитию синдрома дыхательной недостаточности. Большинство фосфолипидов содержит насыщенный ацильный радикал в положении С1, и ненасыщенный радикал в положении С2.
Фосфатидилэтаноламин (кефалин). Кефалины отличаются от лецитинов только тем, что у них холин заменен этаноламином.
Фосфатидилинозитол. Другая группа не содержащих азот производных α-фосфатидной кислоты содержит инозитол. При гидролизе 1 моля фосфоинозитида обычно получается 1 моль глицерина, 1 моль шестиатомного спирта миоинозитола, 2 моля жирной кислоты и 1—3 моля фосфата. 4-дифосфо– и 4,5-трифосфоинозитиды присутствуют в тканях мозга и составляют более половины всех фосфоинозитидов.
Трифосфоинозитид. 1-фосфатидилмиоинозит-4,5-дифосфат. Инозитол в этом соединении представлен одним из стереоизомеров – миоинозитолом. Миоинозит является одной из девяти стереоизомерных форм карбоциклического шестиатомного спирта и принадлежит к классу веществ, называемых циклитолами, которые являются циклоалканами, содержащими по одной гидроксидной группе у каждого из трех или более атомов углеродного кольца. Миоинозит является важнейшим циклитолом, широко распространенным в различных микроорганизмах, высших растениях и животных. В растениях он обнаружен в виде его гексафосфата – фитиновой кислоты или в виде ее магниево-кальциевой соли – фитина. Биохимический интерес к миоинозиту обусловлен его ролью в питании, а также в процессах липидного и углеводного метаболизма. Фосфатидилинозитол-4,5-бисфосфат является важным компонентом фосфолипидов, входящих в состав клеточных мембран; при стимуляции соответствующим гормоном он расщепляется на диацилглицерол и инозитолтрифосфат – оба этих соединения действуют как внутриклеточные, или вторичные посредники (мессенджеры).
Фосфатидилсерин. В тканях находится также родственный кефалину фосфолипид, содержащий вместо этаноламина остаток серина. Хотя фосфатидилсерин входит в состав мембран практически всех прокариотических и эукариотических клеток, однако, как правило, он является минорным мембранным компонентом. Больше всего фосфатидилсерина в мозге млекопитающих (около 15% от общего количества фосфолипидов), в тканях других органов, таких как сердце, печень, почки, селезенка и легкие, содержание его составляет менее 10%. Фосфатидилсерин играет важную роль в жизнедеятельности клеток, являясь регулятором активности целого ряда мембраносвязанных ферментов. Во многих клетках фосфатидилсерин может выступать в качестве предшественника при биосинтезе фосфатидилэтаноламина, превращаясь в последний под действием мембранного фермента – фосфатидилсериндекарбоксилазы. Кроме того, были выделены фосфолипиды, содержащие остаток треонина.
Дифосфатидилглицерины. Как и следует из названия, дифосфатидилглицерины животных и растительных тканей содержат 1 моль глицерина и 2 моля L-фосфатидной кислоты (на 1 моль дифосфатидилглицерина). Важным представителем соединений этой группы, присутствующих в тканях животных, является кардиолипин, выделенный впервые из сердечной ткани. Кардиолипин – фосфолипид, содержащийся в мембранах митохондрий. Это пока единственный фосфатид с известными иммунологическими свойствами. Соединения, сходные по структуре с описанными выше, обнаружены также и в растительных тканях. Однако фосфатиды растений содержат только 1 моль фосфатидной кислоты и являются, поэтому монофосфатидилглицерннами. Все эти соединения различаются структурой жирных кислот, входящих в их состав. Он образуется из фосфатидилглицерола.