Читать книгу "Структурная биохимия"
Автор книги: Е. Бессолицына
Жанр: Прочая образовательная литература, Наука и Образование
Возрастные ограничения: 18+
сообщить о неприемлемом содержимом
Асимметрия мембран
Мембраны асимметричны как по структуре, так и по функциям; об этом свидетельствуют примеры ориентации гликофорина и анионного канала, а также – более общий случай – локализация углеводов на наружной поверхности мембран. Наружная и внутренняя поверхности всех известных биологических мембран различаются по составу и ферментативной активности. Асимметрия затрагивает как липидный так и белковый компоненты мембраны. Особенно это характерно для плазматической мембраны.
В липидном компоненте гликолипиды преобладают в той части бислоя, которая обращена во внешнюю среду, фосфолипиды преобладают в цитоплазматической части бислоя.
Интегральные белки четко ориентированы в бислое, таким образом чтобы выполнять свои функции поэтому домены разных слоях бислоя не совпадают. Например, Na+-K+-нacoc ориентирован в плазматической мембране таким образом, что выводит Na+ из клетки и насасывает К+ в клетку. Гликопротеиды ориентированы так чтобы углеводный компонент располагался во внешней среде. Периферические белки также в основном ассоциированы с цитоплазматической частью мембраны.
Функции мембраны
Барьерная. Липидные бислои ограничивают как клетку, так и отдельные ее компартменты, являясь барьером для большинства веществ. Липиды образуют гидрофобный барьер между водными (гидрофильными) компартментами клетки, и вещества растворимые в воде не могут пройти этот барьер, тк как не растворимы в гидрофобной части липидов. Именно поэтому компартменты внутри клетки отделены друг от друга, гидрофильные молекулы не могут преодолеть гиброфобный барьер, так как в нем не растворяются.
Транспортная. Плазматическая мембрана, так же как и другие липопротеидные мембраны клетки, является полупроницаемой. Это значит, что через нее с различной скоростью проходят разные молекулы и чем больше размер молекул, тем меньше скорость прохождения их через мембрану. Это свойство определяет плазматическую мембрану как осмотический барьер. Максимальной проникающей способностью обладают вода и растворенные в ней газы, значительно медленнее проникают сквозь мембрану ионы (примерно в 104 раз медленнее). Транспорт веществ через мембрану подразделяют на пассивный (простая и облегченная диффузия) идет по градиенту концентрации, без затрат энергии, и активный – против градиента концентрации с затратой энергии (Рисунок 56). Газы, вода и гидрофобные вещества транспортируются диффузией через липидный бислой – простая диффузия. Все заряженные молекулы транспортируются белками. Белки-каналы осуществляют простую диффузию (например, порины), пермеазы – облегченную, среди пермеаз выделяют унипорты (переносят один тип молекул), симпорты (две молекулы в одном направлении) и антипорты (две молекулы в противоположных направлениях) например, АДФ/АТФ – антипорт в митохондриях. Активный транспорт осуществляют «насосы», являющиеся АТФ-азами и использующие энергию гидролиза АТФ для переноса веществ против градиента концентрации. Например, Na+-K+-нacoc выводит Na+ из клетки и насасывает K+ в клетку., и Са2+-насос переносящий Са2+ из цитоплазмы в гладкий эндоплазматический ретикулум (ЭПС).

Рисунок 56. Типы транспорта через мембрану
Сигнальная. Сигналы для распознавания другими клетками расположены на внеклеточной части мембраны, и образованы углеводным компонентом гликолипидов и гликопротеидов. Уникальная структура углеводных цепей гликолипидов и гликопротеидов формирует уникальную структуру гликокаликса. Это создает уникальную поверхность клетки, и создает набор признаков, по которым рецепторы других клеток опознают клетку. Важными компонентами многих распознающих или рецепторных участков мембраны животных клеток служат, по-видимому, ганглиозиды. Содержание ганглиозидов по сравнению с другими мембранными липидами очень невелико, но, видимо, они могут концентрироваться в определенных участках.
Рецепторная. Распознавание внешних сигналов обеспечивается белками рецепторами. На внешней поверхности мембран имеются специфические распознающие участки, функции которых состоят в распознавании определенных молекулярных сигналов. Например, именно посредством мембраны некоторые бактерии воспринимают незначительные изменения концентрации питательного вещества, что стимулирует их движение к источнику пищи; это явление носит название хемотаксиса. На внешней поверхности мембран животных клеток есть также участки, узнающие другие клетки того же типа и тем самым способствующие связыванию клеток друг с другом в процессе формирования тканей. Распознающие участки еще одного типа служат специфическими рецепторами гормонов. Так, определенные участки на поверхности клеток печени и мышц распознают и связывают такие гормоны, как инсулин, глюкагон и адреналин. Связавшие гормон рецепторные участки передают через мембрану сигналы, которые поступают во внутриклеточные ферментативные системы и регулируют их активность.
Ферментативная. В состав мембран входит много белков ферментов (киназы, липазы, АТФ-азы и др.). Белки-ферменты участвуют во-первых в функционировании мембраны (транспортные АТФ-азы, ферменты, регулирующие свойства мембраны, вводя двойные связи или удаляя их), во-вторых это ферменты систем ассоциированных с мембранами: электронтранспортных цепей дыхания и фотосинтеза, беков, передающих сигналы, как в случае передачи сигналов гормонами.
Аминокислоты и белки
Аминокислоты
Аминокислоты содержат в качестве функциональных групп аминогруппу и карбоксильную группу (Рисунок 57). В α-аминокислотах обе они связаны с одним и тем же (α) углеродным атомом. В природе существует около 300 аминокислот, однако в белках обнаружены только 20 из них. В результате полного гидролиза белков высвобождается 20 L– α -аминокислот. Одни и те же 20 аминокислот присутствуют в белковых молекулах всех форм жизни – растений, животных и микроорганизмов. Однако в ряде белков встречаются производные некоторых аминокислот, образующиеся уже после включения обычных аминокислот в молекулу белка. За исключением глицина, у которого R – это атом водорода, у всех аминокислот четыре группы, связанные с α -углеродным атомом, различны. Благодаря тетраэдрическому расположению четырех разных групп относительно α -углеродного атома аминокислота обладает оптической активностью (способностью поворачивать плоскость поляризации плоско-поляризованного света). Одни аминокислоты, входящие в состав белков, являются (при рН 7,0) правовращающими, а другие – левовращающими, однако все они имеют абсолютную конфигурацию L-глицеральдегида и поэтому являются L– α -аминокислотами. Треонин и изолейцин содержат по 2 хиральных центра, следовательно, существует по 4 стереоизомера каждой из этих аминокислот. В белках содержится только один из них. Оптическая стереоизомерия имеет очень большое значение для реализации механизмов биохимических процессов.
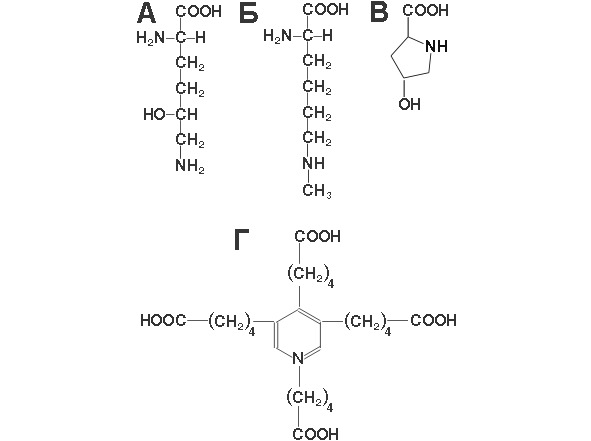
L– α -Аминокислоты – мономеры, из которых построены пептиды и белки. Лишь двадцать аминокислот – так называемые белковые аминокислоты – встраиваются в полипептидную цепь в ходе трансляции. В дальнейшем в результате реакций посттрансляционной модификации некоторые из них превращаются в другие аминокислотные остатки (например, цистеин – в цистин, серии – в фосфосерин и т. п.). В природе встречается гораздо большее число аминокислот. Например, множество «небелковых» аминокислот содержится в пептидных антибиотиках, синтез которых протекает по нематричному механизму, целый ряд «небелковых» аминокислот участвует в процессах обмена. Таковы, в частности, гомосерин, аргинин янтарная кислота, полуальдегид аспарагиновой кислоты – промежуточные продукты биосинтеза белковых аминокислот, азетидинкарбоновая кислота – обычный компонент клеточного сока растений, таурин находится в желчи в составе конъюгатов желчных кислот, γ-Аминомасляная кислота (ГАМК) – нейромедиатор, в фибриллярном белке соединительной ткани коллагене встречаются минорные аминокислоты 4-оксипролин и 5-оксилизин, в мышечном белке миозине – N-метиллизин. Широко распространено фосфорилирование гидроксильных групп остатков серина, треонина и тирозина. Гораздо более сложное строение имеет аминокислота десмозин, входящая в состав белка эластина. Десмозин представляет собой 4 молекулы главной аминокислоты лизина, соединенные своими R-группами. В результате образуется замещенное пиридиновое кольцо (как бы четыре молекулы лизина, отходящие от одного центра). Следствием этого является образование поперечных связей между полипептидными цепями белка. Особенность десмозина – способность растягиваться в двух направлениях, что способствует эластичности соединительной ткани и т. д.
Белковые аминокислоты встраиваются в белок на рибосоме, таких аминокислот было выявлено 20 (21, если учитывать селенцистеин).
Небелковые аминокислоты не встраиваются на рибосоме и некодируются в геноме, в отличие от белковых. Небелковые аминокислоты выполняют массу других функций и в состав белков могут не входить, но могут встречаться в полипептидах, но не в результате матричного синтеза на рибосоме, а после модификаций.

Рисунок 57. Общая формула белковых аминокислот
Все белковые аминокислоты являются L– α -аминокислотами.
Белковые аминокислоты классифицируются по свойствам их радикалов: аминокислотные остатки с гидрофобными цепями, гидрофильные нейтральные аминокислоты, аминокислоты, содержащие ароматические радикалы, основные, кислотные боковые цепи (Рисунок 58).

Рисунок 58. Структурные формулы белковых аминокислот. Пролин – иминокислота, Аспарагиновая и Глутаминовая кислота – кислотные аминокислоты, Лизин, Аргинин, Гистидин – основные аминокислоты.
Аминокислотные остатки с гидрофобными цепями различной геометрии позволяют сформировать компактное внутреннее ядро, стабилизирующее структуру белка, организовать гидрофобные контакты с его лигандами. Глицин, лишенный бокового радикала, не заменим при сближении пептидных цепей, обеспечивает их повороты.
Гидрофильные нейтральные аминокислоты – серии, треонин, аспарагин, глутамин – участвуют в образовании системы водородных связей, обеспечивают гидратацию белка. Боковые цепи, содержащие ионогенные группы (остатки глутаминовой и аспарагиновой кислот, гистидина, лизина и аргинина), помимо образования водородных связей участвуют в ионных взаимодействиях как внутри белка, так и с другими молекулами. Остатки цистеина открывают возможность участия белка в окислительно-восстановительных процессах, а также служат предшественниками остатков цистина, образуя дисульфидные мостики – дополнительные факторы стабилизации белковой структуры.

Рисунок 59. Структура небелковых аминокислот. А – оксилизин, Б – метиллизин, В – оксипролин, Г – десмозин.
В то же время нельзя не заметить, что многообразие функциональных групп белковых аминокислот не столь уж велико. Однако их химические возможности резко обогащаются в рамках специфической белковой структуры за счет образования пространственно организованных ансамблей. И все же для многих задач функциональных групп белка недостаточно, для их решения привлекаются специфически связываемые ими лиганды – ионы металла, хромофорные группы, коферменты и т. п.
Физические свойства аминокислот
Растворимость аминокислот определяется ее радикалом, его гидрофобность уменьшает растворимость аминокислоты. Ни одна из главных аминокислот не поглощает свет в видимой области, лишь три из них поглощают свет в близком ультрафиолете. Наиболее сильно поглощает триптофан (максимум поглощения около 280 нм), значительно слабее тирозин (280 нм) и еще слабее фенилаланин (около 260 нм). Большинство белков содержит тирозин, поэтому распространенным методом определения концентрации белков является измерение оптической плотности при 280 нм. Цистин обладает слабым поглощением при 240 нм благодаря дисульфидной группе. Все аминокислоты поглощают в дальнем ультрафиолете (<220 нм) (Рисунок 60).

Рисунок 60. Спектры поглощения аминокислот
Химические свойства аминокислот
Кислотно-основные свойства
Кислотно-основные свойства аминокислот определяет одновременное присутствие в их структуре аминной и карбоксильной групп, которые, будучи предельно сближены, глубоко влияют друг на друга. В нейтральной среде, в довольно широком диапазоне рН, α-аминокислоты существуют как биполярные ионы, поэтому обычная запись формулы аминокислот, например глицина – NH2—CH2—С00H, условна. Правильнее было бы писать для нейтральных растворов NH3 + – CH2—C00-.
Именно в такой форме биполярных ионов – цвиттер-ионов (устаревшее название «бетаиноподобная структура») – аминокислоты существуют в нейтральных растворах и кристаллах. Влияние положительно заряженной аммонийной, группы в α-положении делает α-карбоксильную группу значительно более сильной по сравнению с карбоксилом алифатических кислот. Так, если рКа уксусной кислоты (рН, при котором диссоциация проходит наполовину) составляет 4,7, то у глицина рКа карбоксила равен 2,34. Примерно такие же величины рКа свойственны карбоксильным группам других α-аминокислот. Разумеется, карбоксильные группы, удаленные от α-аммонийной, например карбоксил аспарагиновой или глутаминовой кислот, не испытывают столь значительного влияния положительного заряда и по своим кислотным свойствам, по способности отдавать и принимать протон приближаются к обычным жирным кислотам. Тиоловая или сульфгидрильная группа цистеина и оксигруппа тирозина обладают очень слабыми кислотными свойствами. При рН=7 SH-группа ионизирована примерно на 8%, ОН-группа – на 0,01%.
Точно так же α-аминогруппа в α-аминокислотах испытывает влияние карбоксилат-аниона, присоединенного к тому же углеродному атому, и становится значительно менее основной, чем аминогруппа первичных алифатических аминов – ее рКа равен 9,6 – 9,7 в отличие от 10,7 для этиламина. Влияние карбоксильной группы на свойства аминогруппы, в частности на ее основность, падает по мере возрастания расстояния между ними, поэтому ε-аминогруппа лизина практически неотличима по химическим характеристикам от алифатических аминов, ее рКа равен 10,5.

Рисунок 61. Изменение заряда аминокислоты в зависимости от pH
Если к нейтральному раствору α-аминокислоты, содержащему биполярные ионы, прибавлять кислоту, увеличивая концентрацию ионов водорода, последние будут присоединяться к карбоксилатным группам, превращая их в незаряженные карбоксильные группы. При этом аминокислота, в которой заряды первоначально были скомпенсированы, приобретет суммарный положительный заряд, в частности в электрическом поле она будет перемещаться, к катоду.
Напротив, если понижать концентрацию ионов водорода, добавляя щелочь, гидроксильные ионы будут реагировать с α -аммонийными группами, отщепляя протон и переводя их в незаряженные аминогруппы. В результате аминокислота приобретет суммарный отрицательный заряд, и в электрическом поле будет перемещаться к аноду. Значение рН, при котором как аминная, так и карбоксильная группы аминокислоты полностью заряжены и. заряды скомпенсированы, называют изоэлектрической точкой (pi). Для – α-аминокислот, которые не имеют ионогенных групп в боковой цепи, величина pi равна полусумме рКа α -аминной и α-карбоксильной групп. Если аминокислота содержит дополнительные ионогенные группы, при расчете pi следует учитывать их вклад (Рисунок 61).
Химические реакции аминокислот
Эти реакции разделяют на характерные для (α -аминогрупп, α-карбоксильных групп, протекающие с совместным участием обеих группировок и реакции с участием групп в составе радикала.

Рисунок 62. Химические реакции аминокислот. А-формольное титрование, Б-ацилирование производными кислот
Реакции аминогрупп.
В целом эти реакции аналогичны реакциям алифатических аминов.
1 Формольное титрование. Взятый в избытке формальдегид легко соединяется со свободными (непротонированными) аминогруппами с образованием метилольных производных. В результате аминокислота в изоэлектрической точке отдает протон аминогруппы цвиттер-иона. Освобожденные протоны могут быть оттитрованы NaOH до появления окраски фенолфталеина (рН 8,0). Формольное титрование – аналитический метод определения содержания аминокислот (Рисунок 62, А).
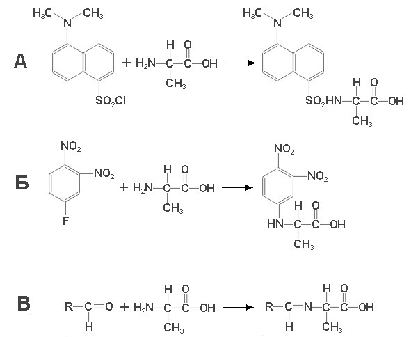
2 Ацилирование активированными производными кислот в присутствии основания, связывающего выделяющуюся кислоту, протекает достаточно легко. К таким реакциям, например, относят: – ацилирование аминокислот уксусным ангидридом (Рисунок 62, Б).
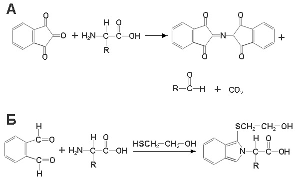
3. Дансилирование – реакция с хлоратидридом метиламинонафталинсулъфокислоты (дансилхлоридом), – позволяющая превратить аминокислоту во флуоресцирующее соединение (Рисунок 63, А).

Рисунок 63. Химические реакции аминокислот. А-дансилирование, Б-арилирование, В-реакция с альдегидами
4. Сходно протекает арилирование весьма активным 1-фтор-2,4-динитробензолом – реакция динитрофенилирования, сыгравшая большую роль в определении структуры пептидов (Рисунок 63, Б).
5. Реакция аминогруппы с альдегидами приводит к образованию непредельного соединения – так называемого основания Шиффа, в котором основность азота существенно понижена (Рисунок 63, В). Эта реакция обратима, и в кислой среде альдегид отщепляется с регенерацией аминокислоты. Для основания Шиффа характерна близость двойной связи к асимметрическому центру, что может способствовать рацемизации аминокислоты за счет миграции двойной связи к атому углерода. Гидрирование двойной связи в основании Шиффа, например боргидридом натрия, стабилизирует связь С – N. Образование основания Шиффа не является качественной реакцией для выявления аминокислот, но часто эта реакция происходит в клетках, в ходе метаболизма аминокислот.
6. К аналитически важным реакциям с карбонильными соединениями относят взаимодействие аминокислот с трикетогидриндегидратом (нингидрином) (Рисунок 64, А). На этой реакции основано как качественное, так и количественное определение аминокислот (в том числе в автоматических анализаторах).

Рисунок 64. Химические реакции аминокислот. А-реакция с нингидрином, Б-реакция с фталевым альдегидом
7. Флуоресцирующие производные образуются при реакции α -аминокислот с о-фталевым альдегидом в присутствии меркаптоэтанола. Эта реакция позволяет определять очень малые, порядка пикомолей, количества аминокислот (Рисунок 64, Б).
Реакции карбоксильных групп
Эти реакции аминокислот в определенной мере соответствуют реакциям алифатических карбоновых кислот. Этерификация протекает в безводных спиртах в присутствии кислотных катализаторов. Так, фенилаланин этерифицируется почти количественно в безводном метаноле в присутствии соляной кислоты или (лучше) тионилхлорида. Эфиры аминокислот – важные исходные вещества для пептидного синтеза – могут гидролизоватъся, в особенности в щелочной среде (реакция омыления). Обработка эфиров аминокислот безводным аммиаком превращает их в амиды. Для временной защиты α-карбоксильных групп, необходимой при пептидном синтезе, их превращают в трет-бутиловые эфиры путем реакции с изобутиленом в присутствии серной кислоты. Такие эфиры устойчивы в слабощелочных средах, но избирательно расщепляются кислотами с регенерацией свободной карбоксильной группой.
Реакции с совместным участием α -аминной и карбоксильной групп
1 Соли аминокислот с некоторыми ионами металлов, в частности с ионами двухвалентной меди, никеля, кобальта, образуются при участии как карбоксилат-иона (ионная связь), так и аминогруппы (координационная связь), причем возникают весьма устойчивые бициклические (клешнеобразные, или хелатные) структуры, в которых ион металла координирован с двумя молекулами аминокислоты, например медная соль лизина, в образовании которой участвуют карбоксильная и аминная группа при углеродном атоме (Рисунок 65). ε-Аминогруппа в комплекс не входит и остается свободной, что может, быть использовано для проведения реакций, специфически затрагивающих только удаленную аминогруппу. Такие комплексы интенсивно окрашены, например комплексы меди с аминокислотами – в фиолетово-голубой цвет. Такая реакция называется биуретовой.

Рисунок 65. Образование хелатного комплекса
2. Известны реакции, переводящие аминокислоты с участием как аминной, так и карбоксильной групп в циклические структуры. Так фосген превращает α -аминокислоты в так называемые N-карбоксиамидриды, легко полимеризующиеся с отщеплением С02 и образованием полиаминокислот.
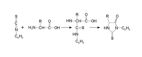
3. Очень важна реакция аминокислот с фенилизотиоцианатом, которая сначала приводит к производному по α-аминогруппе – фенилтиокарбамил-аминокислоте (Рисунок 66). Фенилтиокарбамиламинокислоты и некоторые их аналоги интенсивно поглощают в ультрафиолетовом свете, что используют при количественном определении аминокислот методом высокоэффективной жидкостной хроматографии. Обработка кислотами приводит к внутримолекулярной циклизации фенилтиокарбамиламинокислоты с образованием фенилтиогьдантоина. Эти производные аминокислот играют важную роль в анализе первичной структуры белка.

Рисунок 66. Реакция аминокислот с фенилизотиоцианатом
4. Две молекулы одной и той же или разных аминокислот могут ковалентно связываться друг с другом при помощи замещенной амидной связи, называемой пептидной с образованием дипептида. В образовавшемся дипептиде остается по одной свободной (следовательно, реакционноспособной) аминной и карбоксильной группе. Поэтому к дипептиду с образованием пептидной связи последовательно могут присоединяться другие аминокислоты, образуя три-, тетра-, … олиго– и полипептиды. В водной среде равновесие этой реакции сдвинуто в сторону образования свободных аминокислот. Синтез как in vivo, так и in vitro осуществляется непрямым путем после активации взаимодействующих групп (чаще карбоксила). Например, можно аминокислоты сначала превратить в хлорангидриды, а из них уже получить пептиды. Именно таким путем Э. Фишер синтезировал пептиды длиной до 20 аминокислот. Продукты обладали свойствами, общими с белками и продуктами их гидролиза, что и послужило доказательством справедливости теории пептидного строения белков. В настоящее время разработаны методы синтеза полипептидов произвольной длины и состава.
Реакции групп входящих в состав радикалов
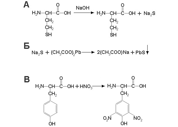
1. Реакция Фоля на серосодержащие аминокислоты. При длительном нагревании жидкость, содержащая серосодержащие аминокислоты (цистеин, цистин, метионин) и белки, в которых присутствуют эти аминокислоты, буреет, и выпадает черный осадок сернистого свинца (Рисунок 67, А, Б).

Рисунок 67. Химические реакции аминокислот. А, Б-реакция Фоля, В-ксантопротеиновая реакция
Реакция протекает в два этапа. 1-й этап – отщепление SH-групп аминокислоты и переход серы из органического соединения в неорганическое. 2-й этап – качественное обнаружение ионов серы в растворе. Из функциональных групп, входящих в радикалы аминокислот, отметим очень реакционноспособную сульфгидрильную группу цистеина. Она легко окисляется с образованием дисульфида (цистина). При действии следовых количеств тяжелых металлов образуются меркаптиды. Поскольку SH-группа входит в состав активных центров многих ферментов, то обработка тяжелыми металлами (например, Ag, Hg) приводит к инактивации ферментов.
2. Ксантопротеиновая реакция. При наличии в растворе циклических аминокислот или белков, в которых присутствуют эти аминокислоты, появится желтое окрашивание за счет нитрования бензольного кольца (Рисунок 67, В).