Текст книги "Демография"
Автор книги: Виктор Медков
Жанр: Прочая образовательная литература, Наука и Образование
сообщить о неприемлемом содержимом
Текущая страница: 22 (всего у книги 43 страниц) [доступный отрывок для чтения: 11 страниц]
Вопросы для повторения
1. Прокомментируйте соотношение между понятиями фактический брак, гражданский брак, законный брак, официально зарегистрированный брак.
2. Кто и при каких обстоятельствах может снизить минимальный брачный возраст, установленный законами Российской Федерации?
3. Вспомните основные брачные статусы.
4. Что такое серийная моногамия?
5. Сущность и основные характеристики брачного рынка.
6. Какова методическая роль понятия «потенциал брачности» и как он рассчитывается?
7. Сожительство, основные черты и распространенность.
8. С каким из двух высказываний Вы согласны и почему (попытайтесь объяснить это самому себе): (1)рост сожительств отражает прогрессивные изменения в брачно-семейных отношениях в наше время; (2) в росте сожительств находит свое выражение кризис семьи как социального института?
9. Что такое «пробный брак» и как он влияет на устойчивость брака, так сказать, «настоящего»?
10. Каковы основные причины и факторы разводимости в России?
Глава 6
Рождаемость
6.1. Демографическое понятие рождаемости
Под рождаемостью в демографии понимают массовый статистический процесс деторождения в совокупности людей, составляющих поколение, или в совокупности поколений – населении.
Демографическое употребление слова рождаемость имеет отношение прежде всего к числу рождений живых детей, которые действительно имела женщина. Рождаемость является позитивной стороной воспроизводства населения, характеризующей появление в населении новых членов, в то время как смертность является его негативной, отрицательной стороной, характеризующей их исчезновение, выбытие из населения.
Демографическое изучение рождаемости имеет дело с некоторыми феноменами, связанными с человеческим деторождением, или репродукцией. Этот термин относится к частоте случаев рождений (или более точно – живорождений) в населении или субнаселении.
Multilingual Demographic Dictionary. English Section. 2nd Edition. Liege. 1982. P. 73. § 601.
Рождаемость как массовый процесс следует отличать от индивидуальных рождений детей у отдельных женщин или в отдельных семьях. Рождаемость как процесс складывается из массы индивидуальных случаев рождения, но не сводится к ним. Она является социальным процессом, который подчиняется действию социальных сил и закономерностей, но разворачивается в определенных, исторически-конкретных границах, задаваемых действием биологических, физиологических факторов.
6.2. Рождаемость и плодовитость
Эти границы, их существование и определенность связаны с понятием плодовитости, которое характеризует биологический потенциал рождаемости, физиологическую способность индивида или брачной пары к воспроизведению потомства (оплодотворению, зачатию, вынашиванию плода и рождению живого ребенка).
Плодовитость имеет исторически конкретный характер, она зависит от наличных (имеющихся в данном обществе в данный момент времени) социально-экономических и санитарно-гигиенических условий. Однако плодовитость является более стабильной (менее подверженной колебаниям) характеристикой по сравнению с числом рождений. Последнее представляет собой реализацию плодовитости, реализацию биологического потенциала рождаемости и является одним из результатов репродуктивного поведения женщин или семей, регулируемого в свою очередь системой соответствующих социальных норм.
Плодовитость как способность к рождению детей следует отличать от фактического деторождения, которое характеризуется числом рожденных детей.
Плодовитость – биологическая способность женщины, мужчины, брачной пары к зачатию и рождению живых детей. Следует отличать способность к деторождению от фактического деторождения, которое характеризуется числом рожденных детей. Плодовитость зависит от генетических особенностей и состояния здоровья обоих супругов, от сочетания свойств супругов в браке. Женская плодовитость характеризуется способностью к зачатию, вынашиванию плода и рождению живого ребенка, мужская плодовитость – к оплодотворению. Известно также, что у некоторых супругов, обладающих порознь нормальной плодовитостью, при регулярных половых отношениях, а также без применения мер контрацепции зачатие не наступает из-за биологической несовместимости. Поэтому более правомерно говорить о плодовитости брака или супружеской пары.
Борисов В.А. Плодовитость: Демографический энциклопедический словарь. М., 1985. С. 329.
Понятие плодовитости связано с целым рядом других понятий, которые раскрывают те или иные ее стороны. Эта совокупность включает в себя понятия бездетности, бесплодия, инфертильности и стерильности.
Термин бесплодие означает, в противоположность плодовитости, неспособность зрелого организма мужчины или женщины к воспроизведению потомства. Мужское бесплодие означает неспособность к оплодотворению, женское – соответственно или к зачатию, или к вынашиванию, или к рождению ребенка. Обычно брак (брачный союз) считается бесплодным, если в течение трех лет регулярной половой жизни и при условии неприменения контрацепции и искусственных абортов, не происходит рождения живого ребенка или из-за отсутствия зачатий, или из-за того, что беременность заканчивается самопроизвольным абортом или рождением мертвого ребенка. Бесплодие, следовательно, обусловлено или спонтанной стерильностью, или спонтанной (недобровольной) невынашиваемостью беременности, или мертворождением.
В науке существуют различные оценки бесплодия, сделанные разными авторами и в разное время, однако в целом можно считать, что в современных экономически развитых странах около 10–15 % брачных пар бесплодны абсолютно (т. е. имеют нулевые шансы на рождение ребенка) и столько же – относительно (т. е. обладают пониженной плодовитостью). В табл. 6.1 приведены данные о распространенности бесплодия, приводимые в работах разных авторов.
Таблица 6.1
Уровень бесплодия по данным разных авторов

Источник: Борисов В.А. Перспективы рождаемости. М., 1976. С. 36–37.
Под стерильностью при условии нормальной половой жизни понимают вообще неспособность к зачатию. При этом различают стерильность постоянную (в старших возрастах, после достижения менопаузы), стерильность в репродуктивном периоде (как следствие заболевания или операции стерилизации) и временную (в период беременности, послеродовая или послеабортная аменорея, как результат применения контрацепции); стерильность естественную (вызванную нормальными физиологическими причинами: возрастом, беременностью, кормлением грудью, аменореей и пр.) и искусственную (контрацептивную), а также патологическую (из-за болезней и травм), абсолютную (с нулевыми шансами на зачатие) и относительную (при сохранении некоторой вероятности зачатия[327]327
См.: Борисов В.А. Стерильность: Демографический энциклопедический словарь. М., 1985.С. 447.
[Закрыть].
Бесплодие является одним из факторов инфертильности, т. е. отсутствия рождений. Инфертильность может быть также следствием искусственного прерывания беременности, а также полного отсутствия сексуальных отношений (абстиненции) на протяжении всего репродуктивного периода или какой-то его части (из-за отсутствия брака, длительного разделения супругов или контрацептивного воздержания).
Инфертильность вместе с возможными случаями смерти детей является фактором бездетности, т. е. отсутствия детей в семье. Взаимосвязь этих понятий отражена на схеме 6.1.
Понятие плодовитости, задавая физиологические рамки рождаемости, очерчивает одновременно и диапазон действия человеческой воли, или, в данном случае, репродуктивного поведения. Именно последнее обусловливает то, что фактическое число детей в семье оказывается резко отличным от максимально возможного. Теоретически возможный диапазон плодовитости весьма широк: от бесплодия до 35 рождений в одноплодных родах за весь репродуктивный период[328]328
Bongaarts J., Potter R.G. Fertility, Biology, and Behavior. An Analysis of the Proximate Determinants. N.Y. et al., 1983. P. 8.
[Закрыть]. В реальности же уровень плодовитости гораздо ниже. Считается, что средняя видовая плодовитость человека не превышает 15–16 рождений на 1 женщину за весь репродуктивный период[329]329
Народонаселение: Энциклопедический словарь. М., 1994. С. 321.
[Закрыть], т. е. за время от менархе, которое в современных условиях наступает примерно в 12–14 лет (в развитых странах несколько раньше, чем в развивающихся), до менопаузы, время наступления которой – 45–50 лет.

Схема 6.1
Взаимосвязь понятий, характеризующих соотношение рождаемости, плодовитости и бесплодия
Разумеется, отдельные женщины могут родить гораздо большее число детей. Однако такие случаи крайне редки. Как пишут генетики Е.Т. Лильин и П.Б. Гофман-Кадошников, «в странах Европы рождение близнецов составляет примерно 1,5–2,5 % от общего числа родов. Тройни рождаются редко, в среднем 1 раз на 10–15 тысяч родов. (…) Один случай рождения четверни приходится на 100–200 тысяч родов. Пятерни рождаются один раз на 50 миллионов родов. За 300 лет, с 1668 по 1968 г., описано около 60 пятерен, в т. ч. 10 случаев в Англии, 5 – в США, по 3 случая – в Италии и Ирландии. Один случай рождения шестерни приходится примерно на 5 миллиардов родов»[330]330
Лильин Е.Т., Гофман-Кадошников П.Б. Близнецы, наследственность, среда. М., 1975. С.4–5.
[Закрыть]. Максимально зафиксированное среднее число рождений равно примерно 12 рождениям на одну женщину, принадлежащую к секте гуттеритов (см. ниже).
В 1755 году представлен был ко двору императрицы Елизаветы крестьянин села Введенского Яков Кириллов. Он имел тогда от роду 60 лет и был женат на второй жене. Первая за 21 беременность родила 57 живых детей, а именно 4 раза по четыре, 7 раз по три и 10 раз по два. Вторая – за 7 беременностей родила 15 детей. Один раз трех и 6 раз по два. Всего от двух жен старик имел 72 ребенка. Не менее интересен второй пример: В Москву 27 февраля 1782 года прислана была ведомость Никольского монастыря, что Шуйского уезда крестьянин Федор Васильев, женатый два раза, имел от обоих браков 87 детей. Первая жена за 27 родов принесла 4 раза по четыре, 7 раз по три и 16 раз по два ребенка[331]331
Этот случай даже попал в Книгу рекордов Гиннеса как официально зарегистрированное максимальное число рождений у одной женщины. См.: Newell C. Methods and Models in Demography. London, 1988. P. 35.
[Закрыть]. Вторая жена родила 2 раза по три и 6 раз по два. Васильеву было тогда 75 лет, а из детей живых было 82. 27 февраля 1782 года монахи Никольского монастыря об этом выдающемся событии сообщили в Москву. По данным «Книги рекордов Гиннесса» – это самое большое в мире официально зарегистрированное число детей от одной матери. Сейчас в деревне Желтоносово Ивановской области живет ее праправнук. Как рассказал 72-летний Николай Васильев, в начале XVIII века приехавшие в эти края три брата Васильевых обзавелись здесь семьями. Самая большая была у Федора: за 40 лет замужества его жена рожала 27 раз – часто по два, три, а то и по четыре ребенка. 67 детей дожили до зрелых лет; и это при том, что высокая смертность среди новорожденных тогда была обычным явлением. Николай Васильев с 12 лет работал кузнецом в местном колхозе до самой пенсии. Его самого и его 65-летнюю супругу регулярно навещают шестеро внуков и правнучка. Для них-то старики и решили воссоздать генеалогическое древо своего обширного рода.Лильин Е.Т., Гофман-Кадошников П.Б. Близнецы, наследственность, среда. М., 1975. С. 5.
Напрямую измерить плодовитость нельзя. Ее можно только косвенно оценить или через измерение оплодотворяемости, или условно принимая за нее уровень естественной рождаемости. Термин оплодотворяемость[332]332
Предложен в 1924 г. итальянским математиком и статистиком Карло Джини (см.: Bongaarts J., Potter R.G. Fertility, Biology, and Behavior. An Analysis of the Proximate Determinants. N.Y. et al., 1983. P. 30).
[Закрыть] имеет отношение к физиологической способности к зачатию и характеризует вероятность зачатия в течение менструального цикла у женщин, способных к зачатию (т. е. женщины беременные и постоянно или временно стерильные исключаются при исчислении этой вероятности). Типичная величина оплодотворяемости равна приблизительно 0,2, что означает, что 20 % женщин, способных к зачатию, могут ожидать наступления беременности в течение первого месяца после возобновления этой способности и при условии регулярных сексуальных отношений[333]333
Bongaarts J., Potter R.G. Fertility, Biology, and Behavior. An Analysis of the Proximate Determinants. N.Y. et al., 1983. P. 30.
[Закрыть]. Разумеется, разные женщины имеют различную вероятность зачатия, поскольку у них разные биологические характеристики и поскольку они практикуют различную частоту половых сношений[334]334
О зависимости оплодотворяемости от частоты половых сношений см.: Bongaarts J., PotterR.G. Op. cit. P. 31–35.
[Закрыть]. Понятие оплодотворяемости широко используется в имитационном (статистическом) моделировании рождаемости и для оценки эффективности программ планирования семьи.
Американский демограф Дж. Бонгаартс определил плодовитость примерно в 15 рождений на одну женщину репродуктивного возраста[335]335
Bongaarts J., Potter R.G. Fertility, Biology, and Behavior. An Analysis of the Proximate Determinants. N.Y.; London, et al., 1988. P. 78–79.
[Закрыть].
6.3. Показатели рождаемости
Для измерения рождаемости применяется система показателей, позволяющих определить как общий ее уровень и динамику, так и интенсивность, а также ее величину в различных субнаселениях (социально-экономических и демографических группах). Показатели рождаемости делятся на:
• показатели, относящиеся к периоду времени (обычно году);
• и показатели, характеризующие определенную когорту, или поколение (если речь идет о когорте по году рождения), или когортные показатели.
Первые характеризуют рождаемость, наблюдавшуюся в течение определенного периода, вторые – рождаемость, свойственную определенным группам женщин, их репродуктивную историю.
Показатели, относящиеся к периоду времени, являются более простыми по сравнению с когортными и употребляются чаще. Мы начнем именно с них и будем рассматривать их в порядке увеличения сложности и объема необходимых для их расчета данных.
6.3.1. Показатели рождаемости для условного поколения (коэффициенты рождаемости для периода)Показатели рождаемости для условного поколения выражаются через отношение числа рождений, имевших место в течение данного периода времени, к численности населения, в котором произошли эти рождения. Обычно выделяют следующие показатели:
• общий коэффициент рождаемости (CBR);
• специальный коэффициент рождаемости (GBR);
• повозрастные коэффициенты рождаемости (ASFR);
• суммарный коэффициент рождаемости (TFR);
• коэффициенты рождаемости по порядку рождения (OSFR);
• повозрастные коэффициенты брачной рождаемости ASFRh).
Эти коэффициенты рассчитывают, используя или данные, относящиеся к определенному году, или усредняя (приводя к году) данные, относящиеся к периоду той или иной длительности (например, к 3-х или 5-тилетним интервалам времени). В любом случае эти коэффициенты являются показателями условного поколения (или, иначе, периодическими, поперечными), поскольку все они отражают условия рождаемости в какой-то конкретный период.
Все эти коэффициенты взаимосвязаны друг с другом, однако каждый из них отражает тот или иной аспект процесса деторождения и благодаря этому обладают самостоятельной ценностью.
Коэффициент (индекс) детности
Однако начнем мы с самой простой и требующей только данных о возрастной структуре населения конвенциональной периодической характеристики рождаемости, каковой является коэффициент (или индекс) детности.
Под коэффициентом детности понимают отношение численности детей в возрасте 0–4 года к численности женщин репродуктивного (15–49 лет) возраста. Иногда в качестве числителя при расчете коэффициента детности берут численность детей в возрасте 0–9 лет, а в качестве знаменателя – численность женщин в возрасте 20–49 лет[336]336
См.: Народонаселение: Энциклопедический словарь. М., 1994. С. 149–150.
[Закрыть].
Коэффициент детности, будучи структурным коэффициентом, не входит в представленную выше систему показателей рождаемости, однако может использоваться для ее характеристики в тех случаях, когда данные о числе рождений или отсутствуют, или ненадежны. Коэффициент детности рассчитывается по следующей формуле:

где C/WR – коэффициент детности; Ch0-4 – численность детей в возрасте 0–4 года; W15-49 – численность женщин репродуктивного возраста.
Таблица 6.2
Коэффициент детности по некоторым странам


Источник: Population Division of the Department of Economic and Social Affairs of the United Nations Secretariat, World Population Prospects: The 2004 Revision and World Urbanization Prospects: The 2003 Revision, Population Database. Panel 2. http://esa.un.org/unpp/p2k0data.asp.
В таблице 6.2 приведены данные о величине коэффициента детности в некоторых странах на 1 июля 2005 г. по оценке ООН. Коэффициент корреляции Пирсона между коэффициентом детности и суммарным коэффициентом рождаемости, по данным ООН, равен 0,974. Уравнение линейной регрессии между коэффициентом детности и суммарным коэффициентом рождаемости имеет следующий вид:
СКР = -0,148 + Коэфф_детн × 7,259.
В России величина коэффициента детности по данным переписи населения 2002 г. составляла 0,160, в т. ч. в городах – 0,144 и в сельской местности – 0,211, т. е. на 46,3 % больше[337]337
Рассчитано по: Демографический ежегодник России 2005. М., 2005. С. 31
[Закрыть]. Отличие величины коэффициента детности от приведенных в таблице 6.2 оценок объясняется некоторым ростом чисел рождений в стране после 2000 г.
Коэффициент детности можно использовать для первичной оценки и предсказания уровня рождаемости, особенно в странах с плохо налаженным учетом естественного движения населения, но с достаточно точными переписными данными. Он годится также для первоначального сравнения уровней рождаемости по разным странам: коэффициент детности высок там, где высока рождаемость, и низок в странах с низкой рождаемостью. Недостатком коэффициента детности является то, что он чрезвычайно чувствителен к колебаниям младенческой и детской смертности и к недоучету детского населения. Поэтому его использование в странах с высокой младенческой и детской смертностью и ненадежной статистикой может приводить к неверным оценкам и выводам.
Показатели, которые будут рассмотрены ниже, в отличие от коэффициента детности характеризуют непосредственно процесс рождаемости. Первым и исходным из этих показателей является абсолютное число рождений.
Абсолютное число рождений
Абсолютное число рождений показывает, сколько всего детей родилось в том или ином населении за определенный период, обычно за год. Величина абсолютного числа рождений дает первое представление о «валовых объемах» рождаемости и позволяет производить их сравнения по различным периодам времени и различным территориям. Информацию об абсолютных числах рождений получают в ходе учета естественного движения населения, обрабатывая статистические регистрационные формы свидетельств о рождении.
Однако абсолютное число рождений является малоинформативным показателем, поскольку зависит от абсолютной численности населения. Судить по величине абсолютного числа родившихся о рождаемости нельзя, не сопоставив его с общей численностью населения. Точно также бессмысленно говорить о динамике рождаемости, основываясь лишь на данных об изменении абсолютного числа родившихся и не беря в расчет ни общей численности населения, ни изменений демографических структур. «Нужно помнить, – справедливо говорит В.А. Борисов, – что «рождаемость» (так же, как и «смертность», «брачность» и т. п.) всегда выражается только отношением числа рожденных детей (обычно только родившихся живыми) к той или иной численности населения (либо к общей численности населения, либо только женщин определенного возраста, замужних и так далее)»[338]338
Борисов В.А. Рождаемость // Население мира: Демографический справочник. М., 1990. С. 25.
[Закрыть].
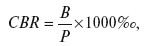
Общий коэффициент рождаемости
Следовательно, необходим переход к относительным показателям рождаемости, которые бы не зависели от численности населения, т. е. к коэффициентам рождаемости и вероятностям.
Первым, наиболее простым и широко используемым относительным показателем рождаемости является общий (грубый) коэффициент рождаемости. Общий коэффициент рождаемости рассчитывается как отношение абсолютного числа рождений к общему числу человеко-лет, прожитых всем населением за период, обычно за год.
Или, проще, если говорить о периоде, равном году, общий коэффициент рождаемости – это отношение абсолютного числа рождений к среднегодовому населению (табл. 6.3). Эта величина для наглядности умножается на 1000, т. е. выражается в промилле (‰):

где: B – абсолютное число рождений за год; P – среднегодовое население; CBR – общий коэффициент рождаемости.
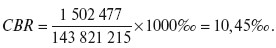
Например, рассчитаем общий коэффициент рождаемости для России в 2004 г. Общее число рождений в 2004 г. было равно 1 502 477. Среднегодовая численность населения по данным Росстата, составила в 2004 г. 143 821 215 человек. Отсюда общий коэффициент рождаемости равен:

Величина общего коэффициента рождаемости сильно зависит не только от интенсивности рождаемости, т. е. от среднего числа детей, рожденных женщинами, но и от демографических и других структур, в первую очередь от возрастно-половой и брачной. Поэтому он дает лишь самое первое, приближенное представление об уровне рождаемости. В этой связи общий коэффициент рождаемости называют еще и грубым ее коэффициентом (отсюда и его обозначение – CBR – от англ. Crude Birth Rate). Чтобы элиминировать это влияние демографических и других структур на показатели рождаемости, рассчитывают ее специальный и частные коэффициенты, а также суммарный коэффициент.
Таблица 6.3
Динамика общих коэффициентов рождаемости в России, 1960–2005, %


Источник: Демографический ежегодник России 2005. М., 2005. С. 69–71. За 2005 г. – оперативные данные Росстата (http://www.gks.m/bgd/free/B05_00/IssWWW.exe/Stg/d120/08-00.htm).
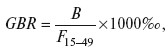
Специальный коэффициент рождаемости
Специальный коэффициент рождаемости рассчитывается, подобно прочим специальным коэффициентам, применительно к той части населения, которая «производит» рождения, т. е. по отношению только к численности женщин конвенционального репродуктивного возраста (15–49 лет)[339]339
В некоторых странах – 15–44 года.
[Закрыть]. Специальный коэффициент рождаемости равен отношению общего числа рождений за год к среднегодовой численности женщин репродуктивного возраста, умноженному на 1000‰:

где: GBR – специальный коэффициент рождаемости; B – абсолютное число рождений за год; F15–49 – среднегодовая численность женщин репродуктивного возраста.
Величина специального коэффициента рождаемости в том же 2004 г. была равна:

Общий и специальный коэффициент рождаемости связаны между собой следующим соотношением: общий коэффициент равен специальному, умноженному на долю женщин репродуктивного населения во всем населении:

где Δ – доля женщин репродуктивного возраста во всем населении, т. е.
В 2004 г. доля женщин репродуктивного возраста во всем среднегодовом населении была равна примерно 27,71%. Отсюда получаем: 37,69‰ × 27,71%» 10,45‰.
Частные коэффициенты рождаемости
Частные коэффициенты рождаемости рассчитываются для устранения влияния других демографических и недемографических структур. Частные коэффициенты рождаемости равны отношению числа рождений в части населения (в субнаселении) к среднегодовой численности этого субнаселения. Частные коэффициенты могут быть как общими, так и специальными. Например, в табл. 6.3 приведены значения общих коэффициентов рождаемости городского и сельского населения.
В демографическом анализе большое значение имеет знание того, какова частота рождений детей в браке и вне брака[340]340
Рождения вне брака, или внебрачные рождения, – это рождения, имевшие место вне официально зарегистрированного брака. Правила отнесения рождений к внебрачным устанавливаются законодательством той или иной страны. Согласно Семейному кодексу РФ от 8 декабря 1995 г., внебрачными считаются рождения, при регистрации которых сведения об отце в записи акта о рождении ребенка указаны на основании совместного заявления отца и матери, либо заявления только матери, либо решения суда об установлении отцовства, о чем в записи акта о рождении делается соответствующая отметка.
[Закрыть], знание, иными словами, уровней брачной и внебрачной рождаемости. Соответственно рассчитываются коэффициенты брачной и внебрачной рождаемости, равные отношению чисел родившихся в браке и вне брака к среднегодовой численности женщин, состоящих и не состоящих в браке.
Специальный коэффициент брачной рождаемости:

где Вт – число рождений детей в браке; Fm15-49 – численность женщин репродуктивного возраста, состоящих в браке.
Специальный коэффициент внебрачной рождаемости:

где Bg – число рождений детей вне брака; Fg15-49 – численность женщин репродуктивного возраста, не состоящих в браке.
Индексы т и g относятся соответственно к брачным и к внебрачным рождениям.
При расчете коэффициентов брачной и внебрачной рождаемости следует иметь в виду различия в определении брачного статуса женщин при регистрации рождения в органах ЗАГС и при переписи населения. Если первый определяется чисто формально по документам (свидетельство о браке), то во время переписи, как вы помните, по самоопределению женщины. Иначе говоря, между числителем и знаменателем дроби, имеется некоторая несопоставимость. Как следствие, расчет коэффициентов брачной и внебрачной рождаемости преуменьшает уровень первой и преувеличивает вторую. И поэтому о внебрачной рождаемости лучше судить о доле внебрачных рождений среди всех рождений.
Эта доля обнаруживает устойчивую тенденцию к повышению и в 2004 г. в России была приблизительно равна 29,8 % всех рождений, в т. ч. в городских поселениях – 28,3 %; в сельских – 33,4 %. Минимальная величина внебрачной рождаемости за весь период непрерывных наблюдений (с 1960 г.), была зафиксирована в 1970 г. и равнялась 10,57 %. Иначе говоря, за четверть века уровень внебрачной рождаемости в России почти утроился[341]341
См.: Демографический ежегодник России 2005… С. 238.
[Закрыть].
Подобным же образом могут быть рассчитаны коэффициенты рождаемости (общие и специальные) городского и сельского населения и так далее.
Общее правило расчета частных коэффициентов рождаемости, повторю еще раз, состоит в том, что часть абсолютного числа рождений, приходящаяся на соответствующее субнаселение, делится на его среднегодовую численность.
Повозрастные коэффициенты рождаемости
Среди частных коэффициентов рождаемости важнейшее место принадлежит повозрастным коэффициентам рождаемости, которые измеряют чистую интенсивность рождаемости в конкретной возрастной группе женщин. Повозрастные коэффициенты можно рассчитывать для одногодичных возрастных интервалов, или для пятилетних (десятилетних) возрастных интервалов. В последнем случае они приводятся к одному году (усредняются). Повозрастные коэффициенты рождаемости рассчитываются как отношение числа рождений у женщин определенного возраста (x лет) к их среднегодовой численности:

где ASFR – повозрастные коэффициенты рождаемости; nBx – число рождений у женщин возраста x + n лет; nFx – среднегодовая численность женщин возраста x + n лет.
Пример расчета повозрастных коэффициентов, а также общего и специального приведен в табл. 6.4.
Расчет повозрастных коэффициентов рождаемости требует гораздо большего объема данных, чем расчет общего или специального ее коэффициентов. Здесь требуются данные не просто об общем числе рождений за год, но и об их распределении по возрасту матери. Иначе говоря, для исчисления повозрастных коэффициентов в стране должна существовать надежная и точная система учета естественного движения населения, что имеет место далеко не всегда. Даже в странах с хорошо налаженной статистикой населения данные о распределении родившихся по возрасту матери стали собираться лишь в середине XX в.[342]342
Newell C. Methods and Models in Demography. London, 1988. P.40.
[Закрыть] Для тех случаев, когда такого рода данные отсутствуют, разработаны специальные математические модели, позволяющие по данным об общем числе рождений в стране восстановить повозрастные коэффициенты рождаемости.
При расчете повозрастных коэффициентов рождаемости, а также ее специального коэффициента (который тоже в сущности является по определению повозрастным коэффициентом рождаемости для возраста 15–49 лет) принято все рождения у матерей моложе 15 лет относить к возрасту 15 лет (или 15–19 лет, если коэффициенты рассчитываются для пятилетних возрастных групп). Рождения же у матерей, чей возраст превышает 49 лет, относить соответственно к возрасту 49 лет или 44–49 лет. Это не снижает точности определения повозрастных коэффициентов для этих возрастов в силу весьма незначительного числа рождений в самых младших (до 14 лет) и в самых старших (50 лет и старше) возрастах. Однако, если целью исследования является изучение рождаемости именно у этих возрастных групп, то, разумеется, повозрастные коэффициенты для них рассчитываются по общему правилу.
На графике 6.2 приведены кривые изменения повозрастных коэффициентов рождаемости для населения России в 1958–2004 гг. Различия в виде кривых характеризуют процесс снижения рождаемости в России в этот период. Как видно из графика, низкой рождаемости соответствует не только меньшая высота кривой, но и ее больший сдвиг влево, к оси ординат, т. е. левосторонняя асимметрия.
Повозрастные коэффициенты рождаемости позволяют анализировать уровень и динамику чистой интенсивности рождаемости в условном поколении, свободную от влияния возрастной структуры как населения в целом, так и женщин репродуктивного возраста. В этом заключается их преимущество перед общим и специальным коэффициентами рождаемости. Однако некоторым неудобством повозрастных коэффициентов является то, что их число слишком велико: если рассчитывать эти коэффициенты для одногодичных интервалов, то их 35, а если для пятилетних – то семь. Это обстоятельство затрудняет анализ и сравнения. Чтобы преодолеть эту трудность и иметь возможность анализировать уровень и динамику рождаемости с помощью одного показателя, также свободного от влияния возрастной структуры, рассчитывают так называемые кумулятивные коэффициенты рождаемости, из которых наибольшую известность и распространение получил суммарный коэффициент рождаемости (TFR). Суммарный коэффициент рождаемости рассчитывается просто как сумма повозрастных коэффициентов для возрастов от 15 до 49 лет:

График 6.2
Повозрастные коэффициенты рождаемости. Россия. 1958–2004.
Рождений на 1 женщину репродуктивного возраста. Источник: Демографический ежегодник России. 2005. М., 2005. С. 193.

Деление на 1000 производят, чтобы привести значение коэффициента к одной женщине. На практике, поскольку данные о повозрастной рождаемости публикуются по 5-летним возрастным интервалам, пользуются следующей формулой:

где 5 ASFRx – повозрастные коэффициенты рождаемости для 5-летних возрастных интервалов.
Суммарный коэффициент рождаемости характеризует среднее число детей, которое родит женщина условного поколения в течение всего репродуктивного периода, при условии сохранения той интенсивности повозрастной рождаемости, которая наблюдалась в год, для которого рассчитывается данный показатель. Суммарный коэффициент рождаемости исчисляют при предположении отсутствия смертности, т. е. при предположении, что все женщины условного поколения останутся в живых до конца репродуктивного периода.
Суммарный коэффициент рождаемости характеризует среднее число рождений у одной женщины в гипотетическом поколении за всю ее жизнь при сохранении существующих уровней рождаемости в каждом возрасте независимо от смертности и от изменений возрастного состава. Суммарные коэффициенты выше 4,0 считаются высокими, меньше 2,15 – низкими.
Народонаселение: Энциклопедический словарь. М., 1994. С. 199.
Поскольку обычно данные о повозрастной рождаемости публикуются для пятилетних возрастных интервалов и приводятся на тысячу женщин репродуктивного возраста, то при расчете коэффициента суммарной рождаемости значения повозрастных коэффициентов умножают на 5 и делят на 1000, что и отражено в выше приведенной формуле. В некоторых странах, однако, (например, в США) коэффициент суммарной рождаемости, как и повозрастные коэффициенты, рассчитываются на 1000 женщин. В этом случае делить на 1000 не нужно. В таблице 6.4 показан пример расчета коэффициента суммарной рождаемости населения России в 2000 г.

График 6.3
Динамика суммарного коэффициента рождаемости в России в 1961–2004 гг.