Текст книги "Демография"
Автор книги: Виктор Медков
Жанр: Прочая образовательная литература, Наука и Образование
сообщить о неприемлемом содержимом
Текущая страница: 23 (всего у книги 43 страниц) [доступный отрывок для чтения: 11 страниц]
Источники: Демографический ежегодник России, М., Росстат, 2005, С. 108.
Значение этого коэффициента, приведенное в таблице 6.4, лишь на 0,001 отличается от официальной цифры Росстата.
На графике 6.3 приведена динамика суммарного коэффициента рождаемости в России в 1961–2004 гг. Как видно из графика, величина суммарного коэффициента рождаемости в стране, уже начиная с середины 1960-х гг., была ниже уровня простого воспроизводства населения. Это означает, что депопуляция в стране началась не в начале 1990-х гг., когда смертность впервые превысила рождаемость, а именно во второй половине 1960-х гг. 1990-е годы – это просто время, когда депопуляция из скрытой, латентной формы перешла в открытую, стала очевидной для всех, а не только для специалистов-демографов.
Таблица 6.4
Пример расчета общего, специального, суммарного коэффициентов рождаемости и среднего возраста матери при рождении ребенка, Россия, 2000 г.


Расчитано по: Демографический ежегодник России 2005. М., 2005. С. 54, 108, 193.
В мире за последнюю четверть XX в. также произошло радикальное снижение величины суммарного коэффициента рождаемости. Если в первой половине 1970-х гг. среднемировая величина суммарного коэффициента рождаемости была равна 5,03 рождений на 1 женщину репродуктивного возраста при минимальной величине в 1,62, максимуме 8,50 рождения и стандартном отклонении 1,955 14, то в начале текущего столетия среднемировая величина суммарного коэффициента рождаемости снизилась до 3,20 рождений на 1 женщину репродуктивного возраста при минимальной величине в 0,84, максимуме 7,91 рождения и стандартном отклонении 1,731 61. При этом квартили распределения стран мира по величине суммарного коэффициента рождаемости в 1970—75 гг. и в 2000—05 гг. соответственно составляют: 1 квартиль – 2,97 и 1,76; 2 квартиль (медиана) – 5,54 и 2,71; 3 квартиль – 6,70 и 4,33 рождений на 1 женщину репродуктивного возраста.
И, наконец, если в первой половине 1970-х гг. величину суммарного коэффициента рождаемости, меньшую, чем это необходимо для простого воспроизводства населения, имели примерно 10 % стран мира, для которых имеются соответствующие данные, то в настоящее время доля таких стран равна приблизительно 35 % (см. также график 6.4, на котором приведено кумулятивное распределение стран мира по величине суммарного коэффициента рождаемости)[343]343
См.: Источник к табл. 6.4.
[Закрыть].
Суммарный коэффициент рождаемости суммирует повозрастные коэффициенты для всего репродуктивного периода, т. е. для всего интервала 15–49 лет. Но такое суммирование можно производить и для любого возраста в пределах репродуктивного периода.

График 6.4
Кумулята распределения стран мира по величине суммарного коэффициента рождаемости в 2000–2005 гг.
Рассчитано по: Population Division of the Department of Economic and Social Affairs of the United Nations Secretariat, World Population Prospects: The 2004 Revision. Highlights. New York: United Nations. ESA/P/WP.193. 24 February 2005 and World Urbanization Prospects: The 2003 Revision. Table VII-16. (http://esa.un.org/unpp). Средний вариант.
Полученные таким образом показатели называются кумулятивными коэффициентами рождаемости к определенному возрасту и рассчитываются аналогично коэффициенту суммарной рождаемости.
Обобщающим показателем рождаемости за период, или рождаемости за тот или иной год, рассчитываемым суммированием повозрастных коэффициентов рождаемости, образующих функцию рождаемости, является суммарный коэффициент рождаемости, или просто суммарная рождаемость. Суммарная рождаемость для данного года представляет число детей, которых родили бы 1000 женщин при условии отсутствия смертности и при сохранении повозрастных показателей рождаемости, наблюдавшихся в данном году.
Multilingual Demographic Dictionary. English Section. Liege, 1982. P.85.
Ценность коэффициентов кумулятивной и суммарной рождаемости заключается именно в том, что они позволяют одним числом, величина которого не зависит от влияния возрастной структуры, охарактеризовать уровень рождаемости в той или иной стране и производить, таким образом, межстрановые и межпериодные сравнения.
Показатели рождаемости по очередности рождения
Помимо возраста матери в анализе рождаемости важное значение имеет и число детей, которых родила женщина в прошлом, или очередность, или порядок рождения.
Порядок рождения – это число детей рожденных женщиной, включая и последнего ребенка.
Хотя порядок рождения наибольшее значение имеет в когортном анализе рождаемости, его роль велика также и в поперечном анализе, в контексте условного поколения. В демографии применяются следующие показатели рождаемости по порядку рождения для условного поколения:
• специальный коэффициент рождаемости по порядку рождения (GFR : OS);
• повозрастной коэффициент рождаемости по порядку рождения (ASFR : OS);
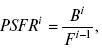
• вероятность рождения ребенка определенной очередности (PSFR).
Специальный коэффициент рождаемости по порядку рождения рассчитывается как отношение числа рождений детей i-той очередности к среднегодовой численности женщин репродуктивного возраста:

где GFR : OS – специальный коэффициент рождаемости по порядку рождения; Bi – число рождений i-той очередности; F15–49 – среднегодовая численность женщин репродуктивного возраста. Как видно из определения этого показателя, сумма специальных коэффициентов рождаемости по порядку рождения равна просто специальному коэффициенту рождаемости:

Специальный коэффициент рождаемости по порядку рождения является весьма информативным показателем при анализе процесса снижения рождаемости, поскольку в населениях с низкой рождаемостью значения этого коэффициента для высших порядков рождения практически равны нулю. С другой стороны, одним из первых индикаторов начала снижения рождаемости является как раз уменьшение коэффициентов для высших порядков рождения.
Повозрастные коэффициенты рождаемости по порядку рождения рассчитываются как отношение числа рождений детей i-той очередности у женщин возраста x лет к среднегодовой численности женщин этого возраста:

где Bix– число рождений i-той очередности у женщин возраста x.
Сумма повозрастных коэффициентов рождаемости по порядку рождения равна просто повозрастному коэффициенту рождаемости для данного возраста.
Вероятность рождения детей определенной очередности
Логическим продолжением анализа рождаемости по порядку рождения является расчет коэффициентов рождаемости i-той очередности, в знаменателе которых стоит только численность женщин, имеющих (i – 1) детей:

где Bi – число рождений i-той очередности, Fi-1 – среднегодовая численность женщин, имеющих (i – 1) детей.
Иначе говоря, например, коэффициент рождаемости для 3-ей очередности равен отношению числа третьих рождений к численности женщин, имеющих двух детей. Эти коэффициенты принято называть вероятностью рождения детей i-той очередности. Они характеризуют процесс рождаемости применительно к тем женщинам, которые перед рождением ребенка уже имеют то или иное число детей. Здесь анализ рождаемости для условного поколения смыкается с когортным анализом, поскольку в расчет берется не просто современный статус женщины, но и вся история ее предшествующих рождений. Именно поэтому мы вернемся к данному показателю позже, когда будем знакомиться с показателями рождаемости реального поколения.
Показатели календаря рождений условного поколения
В анализе рождаемости для условного поколения, кроме рассмотренных выше коэффициентов, используются также показатели, характеризующие не уровень, но так называемый тайминг, или календарь, рождаемости, т. е. ее распределение на всем интервале репродуктивного возраста. Эти показатели суть следующие:
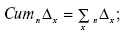
• доля суммарной рождаемости nΔx, приходящаяся на определенный возрастной интервал (x + n) лет. Рассчитывается как частное от деления соответствующего повозрастного коэффициента на коэффициент суммарной рождаемости (здесь повозрастные коэффициенты выражены в расчете на 1 женщину соответствующего возраста):

• кумулята доли суммарной рождаемости (CumnΔx), приходящаяся на возрастной интервал (x+n) лет:

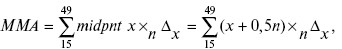
• средний возраст матери при рождении ребенка (MMA):

где midpnt x – середина возрастного интервала (x, x+n) лет, или, что то же самое, (x + 0,5n).
В табл. 6.5 на примере данных о повозрастных и суммарных коэффициентов рождаемости в России показана техника расчета всех этих показателей. Полученное значение среднего возраста матери при рождении лишь на 0,13 отличается от официальных данных Госкомстата РФ (25,9 лет[344]344
Демографический ежегодник России 2005. М., 2005. С. 236.
[Закрыть]).
Таблица 6.5
Пример расчета показателей календаря рождений, Россия, 2000 г.

Источник: Демографический ежегодник России 2005. М., 2005. С. 236.
6.3.2. Показатели рождаемости для реального поколения (коэффициенты рождаемости когорты)Необходимость продольного анализа рождаемости (использования показателей рождаемости для реального поколения) вытекает из того очевидного факта, что показатели рождаемости данного года зависят от ее уровней в предшествующие периоды. Если рассматривать отдельную женщину, то рождение ею ребенка в данный год делает почти невероятным повторение этого события в следующем году, особенно если пара практикует внутрисемейное регулирование числа детей и сроков их появления на свет. Если брачная пара имеет число детей, соответствующее ее потребности в детях, то вероятность последующих рождений практически равна нулю. Если же нет, то, скорее всего, брачная пара также будет использовать контрацепцию или прибегать к искусственным абортам, чтобы увеличить время между рождениями. В результате общее число рождений в разных поколениях в одном и том же году может изменяться. Однако среднее число детей, рожденных женщиной к возрасту 50 лет, является некоторой константой, характерной для каждого реального поколения (брачной когорты). Внешне это отражается в колебаниях общих чисел рожденных (соответственно общего коэффициента рождаемости и, более того, некоторых повозрастных коэффициентов) от года к году. Иначе говоря, показатели рождаемости разных лет оказываются взаимозависимыми, причем «может появиться иллюзия роста (или уменьшения) рождаемости»[345]345
Валентей Д.И., Кваша А.Я. Основы демографии. М., 1989. С. 154.
[Закрыть].
При этом показатели рождаемости для периода оказываются результатом своеобразной интерференции репродуктивного поведения различных когорт. Отсюда вытекает необходимость расчета показателей, отражающих движение демографических событий от года к году в реальной когорте, образованной или по году рождения (поколение), или по году вступления в брак (брачная когорта). С технической точки зрения расчет показателей как для поколения, так и для брачной когорты совершенно идентичен, поэтому далее речь пойдет только о реальных поколениях.
Для реальных поколений рассчитывают те же показатели, что и для календарных периодов, за исключением общего коэффициента рождаемости. Таким образом, все, что было сказано выше о коэффициентах рождаемости для гипотетического поколения, применимо с некоторыми модификациями и к коэффициентам для поколения реального. Модификации эти касаются как численности родившихся (т. е. числителя), так и знаменателя, относительно которого рассчитываются эти коэффициенты (т. е. численности женщин). Наиболее существенное отличие расчета показателей для условного и реального поколений заключается в том, что в первом случае коэффициенты рассчитываются относительно среднегодовой численности, а во втором – относительно численности населения, достигшего точного значения того или иного возраста. Иначе говоря, во втором случае мы имеем дело с вероятностями[346]346
Показ техники расчета показателей рождаемости для реальных поколений выходит за рамки задач данного учебника.
[Закрыть].
Кумулятивные коэффициенты рождаемости к определенному возрасту
Для реальных поколений наиболее часто рассчитывают кумулятивные коэффициенты рождаемости к определенному возрасту. Они говорят о том, какое в среднем число рождений имело место в поколении (брачной когорте) к тому или иному возрасту (обычно в расчете на 1 человека, на 100 или на 1000 человек). Среди кумулятивных показателей наибольшее значение имеет коэффициент суммарной (исчерпанной) рождаемости когорты. Он представляет собой среднее число рождений на 1 женщину реального поколения к возрасту 50 лет, т. е. к концу репродуктивного периода. Динамика данного показателя наиболее точно характеризует изменения рождаемости на протяжении длительных периодов времени, от поколения к поколению. Достоинством коэффициента суммарной (исчерпанной) рождаемости когорты является также его независимость от колебаний факторов демографической структуры.
Проиллюстрировать различия между коэффициентами рождаемости для реального и гипотетического поколений можно с помощью следующего примера (табл. 6.6).
Таблица 6.6
Соотношение продольного и поперечного анализа


Здесь в строках приведены значения повозрастных коэффициентов рождаемости для каждого из перечисленных периодов. Числа на главной диагонали, выделенные полужирным курсивом, – это повозрастные интенсивности рождаемости реального поколения, родившегося в 1940—43 гг. и которому в 1958—59 гг. было от 15 до 19 лет.
Показатели календаря рождений реальных поколений
Применительно к реальным поколениям (брачным когортам) рассчитываются также показатели, характеризующие интервалы между рождениями и распределение рождений на протяжении всего репродуктивного периода. Эти показатели обычно называют показателями календаря (или графика) рождений. В последнее время употребительными становятся кальки с английских эквивалентов соответствующих понятий: все чаще говорят о тайминге и спейсинге рождаемости. При этом первый термин (тайминг) характеризует интервалы между рождениями, а второй (спейсинг) – распределение рождений на всем репродуктивном периоде.
Возрастающая роль показателей календаря рождений становится понятной, если вспомнить, что для современной модели формирования семьи, или, говоря социологически, репродуктивного поведения, характерно не только уменьшение общего числа детей в семье (переход от многодетности к малодетности), но и регулирование сроков рождения детей – возраста рождения первого ребенка и каждого из последующих детей (если они есть, конечно) и интервалов между последовательными рождениями. Для многодетного репродуктивного поведения характерными являются низкий средний возраст рождения первого ребенка, короткие интервалы между рождениями, обусловленные действием главным образом лишь физиологических факторов, и рождения на всем протяжении репродуктивного периода (т. е. высокий средний возраст рождения последнего ребенка). Для малодетного, напротив, характерны растущий средний возраст рождения первого ребенка, увеличивающиеся под действием внутрисемейного регулирования рождаемости интервалы между рождениями, число которых уменьшается, редукция времени деторождения до возраста рождения первого, в лучшем случае – второго ребенка, т. е. снижение среднего возраста рождения последнего ребенка. Для характеристики этих изменений и используются показатели календаря рождений.
При этом спейсинг рождаемости измеряют при помощи различных показателей. Одним из них является как раз средний возраст рождения ребенка той или иной очередности (об этом показателе применительно к гипотетическому поколению шла речь в предыдущем параграфе этой главы). Кроме того, возможен расчет доли женщин, родивших ребенка той или иной очередности к тому или иному возрасту. Например, в табл. 6.7 в качестве иллюстрации показано, как изменялась доля женщин, родивших хотя бы одного ребенка к возрасту 20, 25 и 30 лет.
Таблица 6.7
Доля женщин, родивших не менее одного ребенка к указанному возрасту в поколениях по году рождения матери, Россия, 1954-76 гг., %

Источник: Население России 1999. Седьмой ежегодный демографический доклад. М., 2000. С. 58.
Приведенные данные характеризуют процесс снижения рождаемости, ту его составляющую, которую демографы не совсем правильно называют откладыванием рождений. Особенно ярко это видно по данным, приведенным в последней колонке таблицы.
Что касается тайминга рождаемости, то для его характеристики используют показатели, называемые генетическими интервалами. При этом различают два типа генетических интервалов: протогенетический и интергенетический.
Протогенетический интервал – это время между вступлением в брак (точнее, образованием брачного союза) и рождением первенца. Хотя данное определение протогенетического интервала кажется достаточно простым и ясным, на самом деле это не совсем так. В общем случае величина протогенетического интервала не может быть рассчитана на основании данных официального текущего статистического учета, поскольку, вообще говоря, реальное начало брачных отношений не совпадает с юридической регистрацией брака. Это имело место (хотя и в незначительных размерах) в обществах со строгой репрессивной сексуальной моралью, не допускавших добрачных (точнее, нелигитимных) сексуальных связей[347]347
См. об этом: Медков В.М. Семья и сексуальность // Социология семьи / Под ред. проф. А.И. Антонова. М., 2005. С. 319–358; Кон И.С. Введение в сексологию. М., 1988. С. 139–143.
[Закрыть], тем более это свойственно современным обществам, в которых чем дальше, тем в большей степени реальные брачные отношения и их юридическое оформление не совпадают по времени друг с другом.
Хотя несовпадение времени фактического начала брака и его юридической регистрации превращает рассчитанную на основе данных статистики величину протогенетического интервала в статистический артефакт, все же с порога отбрасывать этот показатель нельзя. И вот почему. Теоретически возможная минимальная величина протогенетического интервала (точнее срока между датой регистрации брака и датой рождения первенца), которую только и можно зафиксировать с помощью текущего статистического учета, равна 9 месяцам (разумеется, только при условии, что роды не были преждевременными).
Если же этот срок меньше, то это говорит о том, что фактически брачные отношения начались до официальной регистрации брака, т. е. о так называемом добрачном зачатии. Поэтому статистическая информация о протогенетических интервалах, меньших, чем 9 месяцев, является дополнительной иллюстрацией свойственного современным обществам распространения установок на совместную жизнь вне легитимного, законного брака. Последнее, в свою очередь, свидетельствует о нарастании кризисных явлений в жизни семьи как социального института. К сожалению, российские статистические органы не публикуют данных о величине протогенетического интервала и о ее динамике. Информацию о протогенетических интервалах получают в ходе специальных статистических обследований или же социологических исследований, в которых имеется возможность установить как фактическое начало брачных отношений, так и даты их юридического оформления (если оно вообще имело место) и рождения первенца. В этой связи можно указать на такие работы, как исследование репродуктивного поведения двухдетной московской семьи «Москва-1978»[348]348
Антонов А.И., Медков В.М. Второй ребенок. М., 1987.
[Закрыть], исследование М.С. Тольца, основанное на разработке данных текущего статистического учета рождений в Перми[349]349
См.: Тольц М. Характеристика некоторых компонентов рождаемости в большом городе // Демографический анализ рождаемости. М., 1974. С. 45–55.
[Закрыть], исследование С.И. Голода, основанное на архивных материалах Ленинградского дворца бракосочетаний[350]350
Харчев А.Г., Голод С.И. Молодежь и брак // Человек и общество. Вып. 6. Л., 1969. С. 125–142.
[Закрыть], а также некоторые другие работы.
Интергенетический интервал – это средняя длительность периода между последовательными рождениями. Величина этого интервала может быть установлена практически только в ходе статистических обследований или социологических исследований. Еще один возможный источник данных об интергенетических интервалах – истории беременностей и родов в женских консультациях и родильных домах – практически недоступен демографам и социологам.
Длина интергенетического интервала зависит как от действия физиологических факторов (послеродовая стерильность, заболевания, вызывающие пониженную плодовитость, возраст женщины и т. п.), так и от репродуктивного поведения (применения или неприменения контрацепции и искусственных абортов). При этом считается, что длина интергенетического интервала, меньшая 36 месяцев, свидетельствует об отсутствии практики внутрисемейного регулирования рождаемости, о так называемом сознательном ограничении числа детей в семьи или о стремлении отсрочить рождение ребенка.
Считается также, что снижение рождаемости выражается, помимо прочего, в росте интергенетических интервалов. В целом это действительно так, однако надо иметь в виду, что разрушение системы социальных норм многодетности начинается, как правило, с самого слабого ее звена. А таковым являются нормы, регулирующие практику грудного вскармливания. Именно они начинают модифицироваться в первую очередь, что выражается в сокращении времени грудного вскармливания и, как результат этого, в уменьшении периода послеродовой стерильности и соответственно среднего интергенетического интервала. В этом заключается причина парадокса начального периода снижения рождаемости, когда ее суммарный коэффициент вместо того, чтобы уменьшаться, растет. В этом, в частности, проявляется влияние на уровни рождаемости репродуктивного поведения, о чем речь пойдет в следующем разделе этой главы[351]351
О репродуктивном поведении, его сущности, структуре, исторических тенденциях изменения см. в: Антонов А.И. Репродуктивное поведение семьи // Социология семьи / Под ред. проф. А.И. Антонова. М., 2005. С. 362–414; Антонов А.И. Микросоциология семьи. М., 2005. С. 236–304.
[Закрыть].
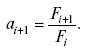
Вероятность рождения детей разных очередностей
Еще одной важной характеристикой рождаемости реальных поколений является вероятность рождения детей разных очередностей. Эта вероятность представляет собой отношение числа женщин, родивших ребенка i+1 очередности, к общей численности женщин, родивших i детей:

Здесь ai+1 – вероятность рождения ребенка (i + 1) очередности; Fi и Fi+1 – соответственно численность женщин, родивших i и (i + 1) ребенка. Легко видеть, что данный показатель идентичен аналогичному показателю для условного поколения, рассмотренному выше. Отличие только в том, что в случае условного поколения в знаменателе дроби присутствуют женщины всех репродуктивных возрастов (иначе, всех поколений), а в случае реального поколения – женщины только одного поколения.
Имея ряд значений ai за ряд лет, можно получить представление о динамике интенсивности рождаемости в различных поколениях (брачных когортах) женщин.
Уровень рождаемости, формирующийся на уровне населения, является результатом сложного взаимодействия репродуктивного поведения и демографических структур, прежде всего, возрастно-половой и брачной. В этой связи в демографии значительное внимание уделяется измерению их соотносительного влияния на показатели рождаемости. Рассмотрению роли демографической структуры и репродуктивного поведения и посвящен следующий параграф учебника.