Текст книги "Система здорового мышления. Сам себе психотерапевт"
Автор книги: Илья Качай
Жанр: Общая психология, Книги по психологии
Возрастные ограничения: +18
сообщить о неприемлемом содержимом
Текущая страница: 14 (всего у книги 23 страниц)
Если для изменения автоматических мыслей применяется дневник диспута ЭМУ-УМЭ,4646
Для изменения автоматических мыслей вы также можете использовать дневник диспута с аргументами (глава 14), дневник оценки выгод и издержек (глава 15) и другие способы, описанные в части IV, однако основной формой для оспаривания автоматических мыслей является дневник диспута ЭМУ-УМЭ (глава 12).
[Закрыть] то для оспаривания иррациональных верований промежуточного уровня (правил, условных предположений и отношений) используется схожий, но ещё более детализированный дневник диспута ЭВУ-УРЭ с аргументами4747
Методологической основой дневника диспута ЭВУ-УРЭ с аргументами является Протокол Ассоциации когнитивно-поведенческой психотерапии №2, разработанный Д. В. Ковпаком в 2003 году и расширенный нами в соответствии с принципами рационально-эмоционально-поведенческой терапии А. Эллиса.
[Закрыть] (© Качай И. С., Федоренко П. А., 2021), сочетающий в себе принципы когнитивной терапии (КТ) Аарона Бека и рационально-эмоционально-поведенческой терапии (РЭПТ) Альберта Эллиса. Этот дневник имеет зеркальную структуру и состоит из дисфункциональной (ЭВУ) и функциональной (УРЭ) частей, где:
Э – дисфункциональные эмоции;
В – иррациональное верование (дисфункциональное правило, условное предположение или отношение);
У – дисфункциональные убеждения, лежащие в основе иррационального верования;
вторая У – функциональные убеждения, лежащие в основе рационального утверждения (суждения, высказывания);
Р – рациональное утверждение (функциональное правило, условное предположение или отношение);
вторая Э – функциональные эмоции, фиксирующиеся в результате имагинативной проверки (представления себя в той же триггерной ситуации, но уже с рациональным утверждением).
Важность конкретных формулировокОспаривать иррациональные верования промежуточного уровня (правила, условные предположения и отношения) эффективно лишь тогда, когда они сформулированы конкретно – диспут абстрактных верований не приведёт к желаемому результату. Так, просто невозможно эффективно оспорить условное предположение «Если я буду говорить спонтанно, то точно скажу какую-то глупость, и тогда все меня осудят» – лучше переформулировать его в более конкретное, например: «Если я буду говорить спонтанно в гостях у Алины, то точно скажу какую-то глупость, и все присутствующие меня осудят». Сравните абстрактное условное предположение «Если я совершу какую-то ошибку, то это будет значить, что я никчёмный» и конкретное допущение «Если я ошибусь при расчётах в бухгалтерской программе на работе, то это будет значить, что я никчёмный работник». Оспаривание конкретных иррациональных верований промежуточного уровня (правил, условных предположений и отношений) будет постепенно приводить к расшатыванию более общих и абстрактных правил, условных предположений и отношений. Но диспутирование важно начинать с конкретных верований, относящихся к конкретным ситуациям («Я не должен ошибаться в расчётах на работе»), и лишь затем переходить к более абстрактным («Я не должен ошибаться на работе» и «Я не должен ошибаться»).
Алгоритм заполнения дневника диспута ЭВУ-УРЭ с аргументамиДля заполнения дневника диспута ЭВУ-УРЭ с аргументами вам нужно будет осуществить несколько несложных действий.
Действие 1. Выпишите конкретно сформулированное дисфункциональное правило, условное предположение или отношение (иррациональное верование промежуточного уровня), являющееся основой дисфункциональных автоматических мыслей, возникших в конкретной ситуации, или даже выраженное в форме автоматических мыслей, и оцените степень доверия к этому иррациональному верованию в процентах.
N.B. Важно понимать, что выписанное вами иррациональное верование в любом случае – явно или имплицитно4848
Имплицитно – неявно, скрыто, подспудно (прим. авторов).
[Закрыть] – будет содержать требование (долженствование) и, как правило, вытекающие из него выводы, отражающие убеждения катастрофизации, низкой переносимости фрустрации, глобальной оценки или иные промежуточные убеждения (когнитивные искажения).
N.B. Для наглядного отображения содержащихся в вашем иррациональном веровании требований вы можете перевести условное предположение, выстроенное по формуле «если…, то…», в синонимичное утверждение, сформулированное в виде «Х (не) должно…, а иначе/а если…» Так, условное предположение «Если я не сделаю проект быстро и увязну в нём на долгое время, то это будет невыносимо» можно перевести в правило, содержащее требование: «Я должен сделать проект быстро, а если я увязну в нём на долгое время, то это будет невыносимо». Если вы не переводите условное предположение в правило, важно понимать, что первая часть условного предположения («если…») в любом случае будет отражать требование – к себе, другим людям или миру в целом (см. таб. 47).4949
Требования содержатся в правилах и первой части условных предположений, однако отсутствуют в отношениях.
[Закрыть]

Таб. 47. Дневник диспута ЭВУ-УРЭ: определение иррационального верования
Действие 2. Опишите дисфункциональные (негативные) эмоции, которые вы испытывали в конкретной ситуации и которые вызывались этим иррациональным верованием, а также обозначьте степень выраженности этих эмоций в процентах (так, как они проявлялись в конкретной ситуации) (см. таб. 48).

Таб. 48. Дневник диспута ЭВУ-УРЭ: определение дисфункциональных эмоций
Действие 3. Определите дисфункциональные убеждения/установки (когнитивные искажения), содержащиеся в выписанном вами иррациональном веровании (например, долженствование, глобальная оценка, сверхобобщение, чтение мыслей и т.д.) (см. таб. 49).

Таб. 49. Дневник диспута ЭВУ-УРЭ: определение дисфункциональных убеждений
Действие 4. Напротив каждого дисфункционального убеждения запишите альтернативное функциональное убеждение, на которое вы будете опираться при формулировании нового рационального утверждения (например, пожелание, конкретная оценка, конкретизация, фактичность и т.д.).
N.B. Чтобы напомнить себе виды функциональных и дисфункциональных промежуточных убеждений, используйте таблицу когнитивных искажений и альтернатив5050
Таблица когнитивных искажений и альтернатив (дисфункциональных и функциональных убеждений) расположена в конце главы 11.
[Закрыть] (см. таб. 50).

Таб. 50. Дневник диспута ЭВУ-УРЭ: определение функциональных убеждений
Действие 5. Выпишите как можно больше аргументов в пользу иррационального верования, говоря иначе, доводов, доказывающих «истинность» этого верования и поддерживающих его.
N.B. Важно выписать доказательства в пользу каждой из частей вашего иррационального верования – как в пользу содержащегося в нём требования (почему должен?), так и в пользу выводов из этого требования – например, катастрофизации, низкой переносимости фрустрации, глобальной оценки и других – в зависимости от формулировки верования (почему это ужасно? почему это невыносимо? почему в этом случае я неудачник? и т.д.).
N.B. Аргументом в пользу иррационального верования не может являться другое иррациональное верование, содержащие требование – его лучше разбирать отдельно (см. таб. 51).

Таб. 51. Дневник диспута ЭВУ-УРЭ: выявление аргументов за
Действие 6. На каждый аргумент продумайте и пропишите контраргумент, иными словами, доводы, которые опровергают аргументы, поддерживающие иррациональное верование, чтобы показать его нереалистичность, нелогичность, безосновательность и вредоносность.5151
На этом этапе вы можете использовать вопросы для диспута, которые были рассмотрены нами в главах 12 и 13.
[Закрыть] Вы также можете оценить каждый контраргумент по пятибалльной шкале, где «5» – значит отличный аргумент, «4» – хороший аргумент, «3» – удовлетворительный аргумент, «2» – плохой аргумент, «1» – крайне неубедительный аргумент.
N.B. В данном дневнике, в отличие от представленных ранее дневников с использованием аргументов, аргументы против формулируются не против самой искажённой мысли или иррационального верования, а против аргументов, поддерживающих это верование.
N.B. Отличие когнитивной терапии (КТ) Аарона Бека и рационально-эмоционально-поведенческой терапии (РЭПТ) Альберта Эллиса в контексте использования аргументов как раз и заключается в том, что в первом случае аргументы за и против дисфункциональной мысли никак не связываются между собой, а во втором – аргументы против являются непосредственным ответом на аргументы в пользу иррационального верования.
N.B. Выработанные вами аргументы против одновременно будут выступать аргументами за рациональное утверждение, которое вы сформулируете позже – по итогу диспутирования иррационального верования (см. таб. 52).

Таб. 52. Дневник диспута ЭВУ-УРЭ: выявление и оценка аргументов против (начало)

Таб. 52. Дневник диспута ЭВУ-УРЭ: выявление и оценка аргументов против (окончание)
Действие 7. Опираясь на функциональные убеждения/установки (альтернативные способы мышления), сформулируйте рациональное утверждение, тематически связанное со старым иррациональным верованием, но являющееся более реалистичным, логичным, гибким и полезным, а также обозначьте степень доверия этому рациональному утверждению в процентах.
N.B. Формулируя рациональное утверждение, являющееся альтернативой вашему старому иррациональному верованию промежуточного уровня, сформулируйте такое правило, условное предположение или отношение (словом, рациональное утверждение), которое вы могли бы применить в отношении значимых и дорогих для вас людей и которое было бы корректно использовать в отношении всех детей, которые появятся на свет в этом году.
N.B. Формулируя новое функциональное правило, условное предположение или отношение взамен прежнего иррационального верования промежуточного уровня, вы выстраиваете фундамент, из которого будут произрастать автоматические мысли во многих ситуациях, поэтому важно ежедневно работать над укреплением этого нового фундамента и обустройством новой фабрики по производству функциональных автоматических мыслей, если вы взаправду хотите чувствовать себя лучше во многих ситуациях (см. таб. 53).

Таб. 53. Дневник диспута ЭВУ-УРЭ: формулирование рационального утверждения (начало)

Таб. 53. Дневник диспута ЭВУ-УРЭ: формулирование рационального утверждения (окончание)
Действие 8. Чтобы усилить свою аргументацию, дополнительно пропишите ответы на следующие вопросы (добавьте эти ответы в поле «аргументы против»):
– Почему ещё старое иррациональное верование неверно?
– Почему ещё новое рациональное утверждение верно?
– Что худшее может произойти из всех вероятных сценариев? Как я могу совладать с худшим исходом?
– Какие позитивные аспекты и следствия могут быть у ситуации, которая мне не нравится?
– Каковы негативные последствия того, что я придерживаюсь иррационального верования?
– Что бы я посоветовал другу с такой же проблемой и мыслями?
N.B. Выработанные вами основные и дополнительные аргументы против одновременно являются аргументами за рациональное утверждение, которое вы уже сформулировали (см. таб. 54).

Таб. 54. Дневник диспута ЭВУ-УРЭ: выявление дополнительных контраргументов (начало)

Таб. 54. Дневник диспута ЭВУ-УРЭ: выявление дополнительных контраргументов (продолжение)

Таб. 54. Дневник диспута ЭВУ-УРЭ: выявление дополнительных контраргументов (окончание)
Действие 9. Переоцените выраженность негативных эмоций, которые вы бы испытали, если бы оказались в этой же ситуации (в которой проявилось ваше иррациональное верование), но с новым рациональным утверждением, а также переоцените степень веры в исходное иррациональное верование.
N.B. Иррациональное верование можно считать проработанным, если степень доверия к нему снизилось до 30% и менее, а также если вы готовы изменить своё поведение (в том числе совершать поведенческие эксперименты, которые показали бы необоснованность прежних правил, условных предположений и отношений и закрепили бы новые – более реалистичные, логичные и полезные).
N.B. Если по итогу диспутирования иррационального верования ваши негативные эмоции не ушли или не снизились (хотя «головой вы всё понимаете»), это значит, что у вас есть ещё аргументы в пользу этого верования, которые важно выявить и оспорить, или что вы не очень верите в приведённые вами контраргументы, которые стоит укрепить и усилить.
N.B. Однако важно понимать, что если после диспутирования иррационального верования дисфункциональные (негативные) эмоции, создаваемые этим верованием, не пропадут окончательно и будут периодически возвращаться, это вполне нормально, ведь некоторые такие иррациональные верования могут быть давно и глубоко укоренившимися (см. таб. 55).

Таб. 55. Дневник диспута ЭВУ-УРЭ: переоценка эмоций и верования (начало)

Таб. 55. Дневник диспута ЭВУ-УРЭ: переоценка эмоций и верования (продолжение)

Таб. 55. Дневник диспута ЭВУ-УРЭ: переоценка эмоций и верования (окончание)
Действие 10. Каждое иррациональное верование важно диспутировать ежедневно в течение хотя бы двух недель, уделяя диспуту не менее десяти минут в день, чтобы новое – рациональное – утверждение укоренилось в вашем сознании и стало для вас родным. Регулярно перечитывайте выявленные вами аргументы за и против, а также отыскивайте новые доводы, поддерживающие иррациональное верование, и оспаривайте их. После каждого такого диспутирования переоценивайте степень доверия в новое рациональное утверждение и старое иррациональное верование, равно как и степень интенсивности негативных эмоций (для этого представляйте себя в той же триггерной ситуации, но уже с новым рациональным утверждением, и оценивайте, насколько выражены ваши эмоции). Когда вы переоцениваете степень веры в иррациональное и рациональное утверждения, вы действительно над ними работаете, поэтому важно не просто перечитывать их, но и систематически пересматривать аргументы за и против. Обратите внимание на то, что образовавшиеся в ходе диспутирования иррационального верования аргументы против (против аргументов, поддерживающих иррациональное верование) одновременно являются аргументами за новое – более рациональное и реалистичное утверждение. Если после диспутирования иррационального верования произошло снижение негативных эмоций, важно осуществлять поведенческие эксперименты, чтобы закрепить новые и оспорить старые представления. Одних осознаний недостаточно – новое понимание придётся расширять, углублять и закреплять с помощью нового поведения, чтобы сменить режим «я в курсе» («головой я всё понимаю») на реальные изменения.
Система позитивных и негативных подкрепленийЧтобы лучше замотивировать себя на проработку иррациональных верований, вы можете использовать систему позитивных и негативных подкреплений. В качестве позитивного подкрепления вы можете выбрать какое-нибудь приятное занятие, которым будете вознаграждать себя за проведённый диспут: это может быть чтение интересной книги, просмотр любимого фильма или сериала, встречи с друзьями, поедание вкусной пищи и т. д. Однако приятными делами вы сможете заниматься только после диспутирования иррационального верования. Вы также можете «наказывать» себя всякий раз, когда поленились или не успели провести диспут, принуждая себя заниматься тем, что вам не по душе. Например, вы можете приготовить полезную пищу, встать следующим утром на полчаса раньше, помыть за холодильником, записаться, наконец, к стоматологу и т. д. Итак, вы можете награждать или «наказывать» себя после того, как провели или же забросили работу по изменению иррациональных верований промежуточного уровня – правил, условных предположений и отношений (в дневнике диспута ЭВУ-УРЭ с аргументами).
Групповой когнитивный практикум*Очень эффективной формой работы с иррациональными верованиями является работа в психотерапевтической группе, когда участники помогают друг другу оспаривать те или иные иррациональные верования. Одним из вариантов такой работы может быть групповой когнитивный практикум, который может осуществляться под руководством специалиста по приведённому ниже алгоритму.
Этап 1. Каждый участник группы записывает одно своё иррациональное верование, выявленное в ходе анализа триггерной ситуации, и передаёт его ведущему (терапевту), который выбирает одно из них и без указания на авторство зачитывает его участникам.
Этап 2. Участники, которые не разделяют это верование, предлагают как можно больше убедительных аргументов против него, в то время как люди, согласные с этим верованием, молчат и внимательно слушают предлагаемые другими участниками контраргументы.
Этап 3. После того как прозвучали все контраргументы, участники, разделяющие это верование, по очереди предлагают аргументы в пользу него, иными словами, озвучивают доводы, доказывающие «истинность» этого иррационального верования.
Этап 4. Участники, не согласные с прозвучавшим аргументом в пользу иррационального верования, опровергают предложенный довод до тех пор, пока он не потеряет свою силу, после чего озвучивается новый аргумент в пользу верования и снова происходит его коллективное диспутирование, которое завершается, когда аргументы за исчерпываются.
Этап 5. По итогу диспутирования участники, не разделяющие иррациональное верование, предлагают свои варианты формулирования рационального утверждения (которые не подвергаются критике другими участниками).
ГЛАВА 26. ДНЕВНИК ПОВЕДЕНЧЕСКИХ ЭКСПЕРИМЕНТОВ УЭРУ
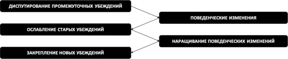
Взаимовлияние мышления и поведенияКогнитивная реструктуризация условных предположений (иными словами, диспутирование иррациональных верований промежуточного уровня) приводит к изменению поведения. Без предварительной когнитивной работы с правилами и условными предположениями большинству людей достаточно сложно изменить свой привычный образ действий. Однако в некоторых случаях даже весьма незначительной когнитивной реструктуризации промежуточных структур оказывается достаточно для того, чтобы человек начал менять своё поведение, которое, в свою очередь, будет способствовать изменению промежуточных конструкций – правил, условных предположений и отношений. Итак, поведенческие изменения, как правило, являются следствием когнитивных интервенций, но в то же время закрепляют результаты когнитивной работы – и так далее (см. рис. 46).

Рис. 46. Взаимовлияение мышления и поведения
Специфика проведения поведенческих экспериментовПосле того как вы продиспутировали иррациональное верование промежуточного уровня и сформулировали новое – рациональное, реалистичное, функциональное, гибкое, помогающее и адаптивное правило, условное предположение и/или отношение, важно провести серию поведенческих экспериментов, чтобы закрепить эту новую структуру и ещё больше расшатать старую – иррациональную, неадаптивную и дисфункциональную. Проведение грамотно разработанных поведенческих экспериментов – один из самых эффективных способов проверки иррациональных верований промежуточного уровня. Поведенческие эксперименты позволяют опытным путём наглядно проверить негативные (!) условные предположения, выстроенные по формуле «если…, то…», через погружение в ситуации, в которых обычно активизируются эти неадаптивные условные предположения. Важным этапом поведенческих экспериментов также является последующая когнитивная работа – сопоставление старых негативных условных предположений с объективным положением дел. Такой активный поход позволит получать ценный опыт, противоречащий закостенелым стереотипам мышления, что поможет ослабить и расшатать старые и укрепить и принять новые, более функциональные условные предположения, которые будут способствовать возникновению реалистичных (а не искажённых) автоматических мыслей в конкретных ситуациях, доселе являвшихся триггерными (стрессовыми, проблемными).
Структура дневника поведенческих экспериментов УЭРУОбратите внимание на то, что, как и в случае с когнитивной реструктуризацией условных предположений, их поведенческое изменение будет эффективно только в том случае, если они сформулированы конкретно – поведенческая проверка абстрактных условных предположений не приведёт к желаемому результату. Говоря иначе, просто невозможно эффективно проверить условное предположение «Если я буду говорить спонтанно, то точно скажу какую-то глупость, и все меня осудят» – лучше переформулировать его в более конкретное, например: «Если я выскажу свою позицию на собрании жильцов дома, то все сочтут меня глупой и осудят меня». Для того чтобы разрабатывать и реализовывать поведенческие эксперименты, вы можете использовать дневник поведенческих экспериментов УЭРУ (© Качай И. С., Федоренко П. А., 2021). Данный дневник имеет следующую структуру:
– первая У – дисфункциональное условное предположение;
– Э – поведенческий эксперимент (с описанием возможных трудностей и стратегий их преодоления);
– Р – результаты поведенческого эксперимента;
– вторая У – функциональное условное предположение.5252
Если дневник мыслей СМЭР направлен на выявление автоматических мыслей, а дневники диспута ЭМУ-УМЭ и ЭВУ-УРЭ – на изменение автоматических мыслей и лежащих в их основе иррациональных верований, то дневник поведенческих экспериментов УЭРУ отражает третий этап КПТ – тренировку нового мышления.
[Закрыть]
Работа с дневником поведенческих экспериментов УЭР включает в себя выполнение нескольких несложных действий.
Действие 1. Выпишите конкретное дисфункциональное (негативное, а не позитивное!) условное предположение,5353
Отличие позитивных и негативных условных предположений проясняется в главе 22.
[Закрыть] которое вы хотите проверить и оспорить в результате проведения поведенческого эксперимента, и определите степень веры в это условное предположение в процентах на данный момент времени (см. таб. 56).

Таб. 56. Дневник экспериментов УЭРУ: выписывание условного предположения
Действие 2. Разработайте поведенческий эксперимент, который вы хотите провести для проверки дисфункционального условного предположения, сформулируйте возможные трудности, которые могут возникнуть в ходе реализации этого поведенческого эксперимента, а также разработайте стратегии их преодоления (см. таб. 57).

Таб. 57. Дневник экспериментов УЭРУ: определение эксперимента и трудностей
Действие 3. Совершите поведенческий эксперимент, предварительно напомнив себе о более функциональном условном предположении, и опишите результаты – каковы были ваши эмоциональные и поведенческие реакции и поведение других людей. Резюмируйте: как всё прошло? сбылись ли ваши предсказания? чему вы научились? что вы осознали? (см. таб. 58).

Таб. 58. Дневник экспериментов УЭРУ: фиксирование результатов
Действие 4. Зафиксируйте сформулированное вами ранее функциональное условное предположение (при необходимости подкорректируйте его, учитывая результаты поведенческого эксперимента) и оцените степень веры в него после эксперимента, а также переоцените степень веры в прежнее (неадаптивное) условное предположение (см. таб. 59).

Таб. 59. Дневник экспериментов УЭРУ: переоценка веры в предположения