Читать книгу "Культура и мир"
Автор книги: Сборник статей
Жанр: Культурология, Наука и Образование
сообщить о неприемлемом содержимом
1. Платон. Соч. в 3-х томах. Т. 1. – М., 1968.
2. Кант И. Соч. в 6-ти томах. Т. 5. – М., 1966.
3. Асмус В. Ф. Вопросы теории и истории эстетики. – М., 1968.
4. Батюшков Ф. Творчество // Энциклопедический словарь Брокгауза-Ефрона. Т. 64. – СПб., 1901.
5. Пономарев Я. А. Психология творческого мышления. – М., 1960.
6. Пономарёв Я. А. Психология творчества. – М., 1976.
7. Пономарев Я. А., Алексеев Н. Г., Семёнов И. Н. Исследование проблем психологии творчества // Вопросы психологии. – 1979. – № 3.
8. Исследование проблем психологии творчества / под ред. Я. А. Пономарёва. – М., 1983.
9. Лук А. Н. Мышление и творчество. – М., 1976.
10. Краткий психологический словарь / под общ. ред. А. В. Петровского и М. Г. Ярошевского. – М., 1985.
П. Я. Сергиенко. Философско-математические начала триалектической гармонии мира
Историю проявления триалектической культуры цивилизации, с древних времен и до наших дней, прекрасно отразила профессор Е. П. Борзова в своей энциклопедической монографии «Триадология». Она доказывает, что вновь, в силу необходимости, наступило время возрождения древней триалектики, как метода мышления, на более высоком уровне всеобщего и разумного понимания действительности. В этой связи автору статьи нет необходимости, за редким исключением, цитировать и толковать идеи великих предшественников, возрожденной на современном научном уровне, триалектики.
Материалистическая диалектика абсолютной субстанцией бытия полагает материю. Она постулирует: «В мире нет ничего кроме движущейся материи». В согласии с ее логикой, если есть движение материи, то должны быть также присущи ей онтологические, а не мысленные (левое и правое, плюс и минус и т. п.) противоположности, как внутренний источник противоречий ее абсолютного движения. Однако материалистическая диалектика таковых противоречий в сущности материи не находит. Она полагает материю философской категорией для обозначения объективной реальности (Ленин)… а не как саму объективную реальность. Отсюда исходят корни схоластического философствования.
Триалектика утверждает: «В мире нет ничего кроме движущихся пространств». Сущность субстанциального бытия пространства действительности она полагает триединой. То есть монистическое, целостное бытие пространства существует в единстве и гармоничном взаимодействии единосущных, соприсущных, нераздельных и специфичных по своему содержанию трех пространств:
• Пространства абсолютной плотности (плоти).
• Пространства абсолютной разреженности (вакуума).
• Пространства относительной как плотности, так и разреженности.
Противоположности относительного пространства внутренне так же противоречивы, как и абсолютные пространства, но – не абсолютно, а – относительно. Поскольку абсолюты – непознаваемы, следовательно, мы всегда в познании имеем дело с относительными качествами и количествами противоречивой сущности, а не с отдельными сущностями. И наше знание об Абсолютах всегда является относительным.
Источником (первопричиной) субстанциального самодвижения пространства является пространство разреженности. Разреженности (пустоте) свойственно заполняться.
Таким образом, суть проблемы общего (онтологии бытия субстанции) заключается не в том, что постулируется единым первоначалом, материя или пространство: суть в тех свойствах, которыми обладает субстанция действительности и которые являются не только абстрактными категориями воображаемого, но являются также самой действительностью; суть в том, как благодаря этим свойствам, из единого происходит все многое и как оно, становясь многим, остается единым, как, являясь абстрактным, существует в конкретных формах.
«Триалектика познания не отрицает диалектического метода. Она включает в себя учение о ядре диалектики – об отношении противоположностей, но с той разницей, что противоположности познаются не в отражении, а в функциональном взаимодействии. Взаимодействие и отражение рассматриваются триалектикой как функциональная двойственность проявления субстанциальных свойств бытия.
Триалектика, как и диалектика, исходит из того, что в основе всего существующего лежит одно начало, то есть она являет собой монистическую концепцию. Материальное и духовное в триалектике не являют собой равноправные субстанции, как это утверждает дуализм, а являются взаимодействующими субстанциальными свойствами единой субстанции. Подчеркнем еще раз, что в этой связи для триалектики не существует проблемы основного вопроса философии, которым обременена диалектика» (Сергиенко 1995: 15–16).
С конца XX века происходит активное переосмысление знаний также в области образного представления единства бытия и развития вселенной и ее начал. Многие исследователи обращаются к тринитарным знаниям древних и их образам – равностороннему треугольнику, кругу и символу Ин-Янь, пытаясь их синтезировать. В конце второго тысячелетия мной был научно аргументирован и предложен принципиально новый образ (модель) бытия и развития мира, триалектический образ пространственно-временной гармонии Вселенной.
Образные модели развития:

В наше время слова гармония и гармоничное буквально у всех на языке. Хотя и существуют эти понятия со времен Пифагора, мы не найдем их толкования в философских словарях эпохи господства диалектического материализма, поскольку, в согласии с его законами, борьба противоположностей и их гармоничное единство и взаимодействие несовместимы. Некоторое понятие гармонии мы находим в БСЭ: «Гармония – соразмерность частей и целого, слияние различных компонентов объекта в единое органическое целое. В Гармонии получают внешнее выявление внутренняя упорядоченность и мера бытия». Данное понятие БСЭ отражает в основном количественную сущность гармонии целого и частей. Оно не затрагивает этический смысл меры бытия противоположностей, который в него изначально вкладывали Пифагор, Платон и вкладывает современная триалектика. Следует отметить, что недостаточно исследованной и разработанной материалистической диалектикой за многие столетия оказалась и количественная сущность гармонии, то есть ее математические начала.
В согласии с триалектическими принципами и законами, со многими учениями и науками последнего времени автор смеет утверждать следующее:
а). Человек изначально является единственным существом, из всех живых существ, живущих на Земле, наделенным способностью творить новые объективные формы живой и разумной Природы. Он (общество) – ее часть и создан для того, чтобы творить подобие Природы, т. е. творить НООСФЕРУ Земли, руководствуясь законами Природы и собственной фантазией творца. В этом – его изначальный и Высший смысл бытия на Земле.
б). Духовное и материальное бытие Вселенной, от порождающих идеальных моделей и до звёздных систем включительно, управляется тремя всеобщими принципами: принципом сохранения, принципом изменения (развития) и принципом всеобщей связи. Во всеобщей связи и взаимодействии два противоположных принципа (сохранения и изменения) проявляются как всеобщий монистический принцип гармоничного бытия и развития целостности.
Количественные меры гармоничного пространственно-временного развития и сохранения бесконечного многообразия структурных форм бытия являют собой некий набор мировых числовых констант, которые постоянно познаются и уточняются фундаментальной наукой.
Частные законы всеобщего закона гармонии можно, в свою очередь, разделить на две группы: законы качественной гармонии и законы количественной гармонии. Их гармоничные взаимодействия и взаимопереходы одной противоположности в другую проявляются в законе «порождающей модели» гармонии бытия и творения космического пространства по Платону, которое обладает геометрией.
Платон утверждал, что «Геометрия есть познание всего сущего», поскольку геометрическая модель проявляется как пространственная форма бытия и имеет количественную меру. Он достаточно глубоко развил геометрию Пифагора (геометрические тела Платона). Однако тайна сакрального содержания начал гармонии на долгие столетия осталась «вещью в себе». В последующем формировании НАЧАЛ элементарной математики, модель количественной гармонии была представлена теоремой Евклида о делении отрезка прямой в отношениях «золотой пропорции»). Многие исследователи онтологических начал математики считают ее классической и в наши дни. Является ли она таковой в действительности?
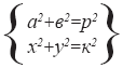
Длительные годы философского и геометрического переосмысления упомянутых начал математики гармонии посредством триалектического мышления позволили автору сделать существенные поправки к упомянутой теореме Евклида, открыть новые мировые константы и алгоритм геометрического решения гармоничной системы квадратных уравнений общего вида:

где а и в – числовые значения координат гелиоцентрической системы, а х и у – числовые значения координат геоцентрической системы.
Например, для вычисления и геометрического построения корней неизвестных пространственных мер а, в, х, у и к и их гармоничных отношений достаточно знать, или задать числовое значение р2.
Данное уравнение – математическое выражение гармоничного синтеза утверждений: ГЕОМЕТРИЯ есть познание ВСЕГО сущего (Платон), а ВСЕ есть ЧИСЛО (Пифагор). С математическими доказательствами (полный текст статьи) можно познакомиться на сайте: http://trialektika.narod.ru/index.html
Таким образом, на основании вышесказанного и др. аргументов, напрашиваются следующие выводы:
1. В познании окружающей действительности, в познании и разрешении противоречий и в практике отношений: человек—человек, человек—общество, общество—общество общество—природа необходимо отказаться от догм материалистической диалектики, признающих спор, борьбу, войну. В наше время созрела необходимость перехода человечества на более высокую ступень разрешения противоречий в отношениях противоположностей, перехода на ступень их взаимодействия в количественной и качественной гармонии.
2. Философия и математика со времен Пифагора являют собой фундамент, на котором выстраивается научное мировоззрение общества и математически моделируется развитие всех областей его знания и предметного творчества. Из понимания целостности и гармоничности Космоса, как живого и разумного, вытекает понимание предмета математики гармонии. Математика гармонии – это математика, изучающая и моделирующая гармонию бытия пространственно-временных форм Жизни, их количественные отношения, проявляющиеся в эволюции природы, общества и мышления. Создать такую математику и встроить ее в систему обязательного образования граждан, значит заложить мировоззренческий фундамент культуры общественной гармонии и безопасности в развитии глобальной системы взаимоотношений Человек—Общество—Природа. В научных исследованиях ученых разных эпох имеется много открытий и методических наработок в этой области. В их числе, учебно-методическое пособие автора «Изначальные алгоритмы элементарной математики гармонии», на которое получено соответствующее «Свидетельство» (Компьютерные учебные программы и инновации 2008: 43). Дело за внедрением данного учебного пособия в всеобщую систему образования.
Библиография1. Сергиенко П. Я. Триалектика. Новое понимание мира. – Пущино, 1995.
2. Компьютерные учебные программы и инновации. – 2008. – № 6.
И. Ю. Александров. Понятие «психической энергии» в философии, науке и культуре
Понятие «психической энергии» можно отнести к так называемым пограничным понятиям. В первой части этой статьи автор постарается показать, что само развитие философии науки привело к исследованию находящихся на стыке науки и культуры феноменов. Во второй части речь пойдёт об актуальности исследования психической энергии. В философии науки существует проблема экспликации структуры научной теории. Проблема эта остро встала после провала неопозитивистских программ и рассмотрения постпозитивистами науки всего лишь как одной из традиций наряду с традициями вненаучных форм знания. Если у философов науки не существует строгого представления о том, какова структура подлинной научной теории, то невозможно на уровне логических аргументов опровергнуть претензии вненаучных форм знания на равный с наукой статус в культуре. В своей ранней версии неопозитивизм исходил из познавательно значимого предложения или термина в качестве элементарной структуры, способной адекватно представить особенности строения и функционирования научного знания. Согласно критерию научности (познавательной значимости) логического позитивизма Венского кружка, теоретическое предложение (или термин) является познавательно значимым только в том случае, если можно указать конечное число совместимых предложений наблюдения, из которых оно выводимо по правилам логики (верификационистская теория значения). Этот упрощённо-эмпирический редукционистский подход устранял саму специфику теоретического знания – теоретический уровень научного знания всегда богаче его эмпирического уровня, тот или иной научный закон не может быть сведён к конечному числу предложений наблюдения.[14]14
Неопозитивистские программы, направленные на установление строгих разграничительных линий между наукой и философией, наукой и вненаучными формами знания, между теоретическим уровнем знания и эмпирическим уровнем – это даже не вчерашний, а скорее позавчерашний день философии науки. В отечественной философии науки недостатки неопозитивистских программ активно обсуждались в 60–70 годах XX века в частности см.: Швырёв 1962: 285–322; Швырёв 1966; Козлова 1972.
[Закрыть] Но и традиционная интерпретация гипотетико-дедуктивной теории, к которой пришли неопозитивисты после краха редукционистской программы, не была способна адекватно представлять собою структуру научного знания, имела внутренние противоречия, выражавшиеся в неявной тенденции к редукционизму – попытке объяснить природу избыточного содержания теоретического уровня знания через сведение его к уровню наблюдений, а также в противоположной инструменталистской тенденции – отрицании содержательности «верхних» наиболее абстрактных уровней теоретического знания и трактовке теоретического аппарата современного научного знания только как средства вычисления и предсказания экспериментальных данных (Мачмур 1975: 26). Постпозитивистское обращение к реальной истории науки в целях обретения адекватного представления о структуре и развитии научного знания поставило философов науки перед необходимостью объяснить, как именно социокультурные факторы обусловливают становление научных теорий. Очевидно, что гипотетико-дедуктивная теория со встроенными в неё социокультурными факторами более адекватна, чем неопозитивистские представления о структуре научного знания. Упрёки в адрес интернализма,[15]15
Полемика интерналистов, настаивавших на том, что наука развивается за счёт «внутренних» рациональных факторов, с экстерналистами, указывавших на «внешние» – экономические, социальные, психологические, мировоззренческие аспекты в развитии науки, характерна для 50–60 годов XX века. Современная когнитивная социология куда более претенциозна. Она расширяет традиционные границы социологического исследования и претендует на объяснение внутренней структуры научного знания. Добротная библиография этих исследований помещена в статье: Маркова 2001: 121–124.
[Закрыть] которые выдвигались с позиций диалектического материализма в отечественной философии науки (к примеру, интерналисты при объяснении развития науки ссылались на случайную интеллектуальную «мутацию», что для «диаматчиков» равносильно отказу от всякого объяснения, однако претензии самих марксистов или «перевёрнутых гегельянцев» на знание высших законов истории и вытекающих из них общественных законов, обусловливающих развитие науки, опирались лишь на веру в непогрешимость учения Маркса) были непоследовательны, поскольку интернализм, при всех своих известных недостатках, сохранил классические идеалы научной объективности, чего нельзя сказать о марксистской философии науки – по сути своей экстерналистскому учению, противоречиво сочетавшему несовместимые тезисы об объективности научного знания и о практической природе истины. Диалектический материализм постоянно нарушал классические границы между научным и социокультурным,[16]16
Тем самым, этого не хотя, сближался с тезисами «Сильной программы» социологии познания Д. Блура.
[Закрыть] заявлял, что «наука социальна по своей природе и её социальные характеристики не внешне, а внутренне ей присущи» (Черняк 1982: 46). Любое познание возможно при разграничении понятий, максимально ясном и отчётливом формулировании дефиниций. Так и науковедческие дисциплины должны ещё прояснить: каким образом в реальной истории науки «переплетаются и через цепь опосредований и преобразований переходят друг в друга» (Черняк 1982: 47) внешние и внутренние факторы её развития. Другими словами «для подлинного объяснения истории науки необходимо конкретно проследить: как, каким образом в самой науке происходила трансформация научных понятий и теорий, как, через какие опосредствующие звенья, притом не вообще, а в каждом конкретном случае, социально-экономические условия и потребности реализуются в науке, преобразуясь в соответствии с её собственными закономерностями в присущие ей формы, переводятся на язык науки и входят в её ткань» (Черняк 1982: 48). Но как философам науки не удаётся эксплицировать строгую структуру научной дисциплины, так и историкам науки и социологам науки не удаётся «расчленить» объективное (природное – если речь идёт об естественных науках) и социокультурное в их реальном сплетении в «ткани науки». Науковеды за последние несколько десятилетий, похоже, признали бесперспективность попыток такой строгой экспликации. Проблема проведения строгих границ между научным и вненаучным знанием, между научными (объективными) и социокультурными компонентами знания, между теоретическим уровнем знания и эмпирическим уровнем знания и т. д. в настоящее время кажется непреодолимой. Во всяком случае, за последние лет тридцать в синкретичное «науковедение» вплелись методы философов науки, социологов науки, историков науки.
Каковы последствия этой тенденции в науковедческих исследованиях? С одной стороны это упаднические, антисциентистские, постмодернистские настроения – просвещенческий разум, рассматривавший науку в качестве высшей ценности культуры – перестал быть актуален для многих,[17]17
Представители Франкфуртской школы социальной философии в своё время «запустили», не смолкающий и по сей день, дискурс об альянсе науки и власти в эксплуататорском обществе позднего капитализма. Просвещенческий разум, который должен был победить мир, расколдовать природу, сам породил новую мифологию. Просвещение превратилось в тотальный обман масс. См.: Хоркхаймер 1997: 60.
[Закрыть] ссылающихся на то, что практически любое научное открытие рано или поздно использовалось в военной промышленности, а новоевропейская философия с её лозунгом «знание – сила» привела к экологической катастрофе, угрожающей уничтожить саму жизнь на планете; наука таким образом превращается для антисциентистов в одну из традиций, которая ничем не лучше религии, магии или мифа. С другой стороны, философия науки с размытыми границами более демократична, коммуникативна; она допускает невозможный для позитивистского «просвещенческого» разума диалог с вненаучными формами знания, межкультурный диалог. Диалогичность или полилогичность в целом – это характерная черта современной «непритязательной» философии. «Постметафизическая»[18]18
Характеристики современной философии, данные Ю. Хабермасом
[Закрыть] философия вслед за постпозитивистской философией науки теперь не нормативна, но дескриптивна. Если воспользоваться идеями В. С. Библера, «маргинальность» гносеологически ориентированного разума, обнаруженная в XX веке, вовсе не означает краха самой идеи разумения. Происходит переход от философской логики «наукоучения», характерной для «разума познающего» (XVII–XIX веков), к разуму стремящемуся понять культуру в её всеобщих онтологических предположениях (канун XXI века). Если новоевропейская философия есть логика обоснования (актуализации) бытия предмета познания, сама теоретическая мысль, само научно-теоретическое отстранение от внеположного бытия (картезианская двусубстанциальность) философски осмысляется только в той форме, в какой познания ещё нет, ещё под вопросом его возможность (фундаментальное сомнение Декарта),[19]19
Новоевропейская философия в любом своём варианте есть наукоучение – философское учение о началах науки, то есть о тех началах, где науки ещё нет, где она только возможна (или невозможна!)
[Закрыть] то в канун XXI века происходит смещение в «объём» одного сознания многих несводимых ранее смыслов бытия, смыслов культуры (западного, восточного, античного, средневекового, нововременного…). На смену новоевропейского монополизма приходит логика общения как современная форма ответа на философский вопрос о всеобщем. В. С. Библер пишет о произошедшем феноменологическом «сдвиге» на уровне первичных феноменов сознания: философия становится для современного человека диалогом культур (Библер 1991: 13).
Переход от нормативистских неопозитивистских концепций к дескриптивистским концепциям с размытыми границами привёл к рассмотрению науки как подсистемы культуры. Если ранее в классической новоевропейской эпистемологии (скорее на уровне интуиции, чем строгой экспликации) научное знание отделялось демаркационной линией от влияющих на его становление социокультурных факторов (неопозитивисты сделали попытку строго эксплицировать эти границы – результатом же было прояснение несостоятельности их программ), то отказ от демаркационизма привёл к повышению интереса науковедов к культурному фону той или иной научной теории или парадигмы и к культуре как таковой. Академик В. С. Стёпин отстаивает точку зрения, что основания науки (философские основания науки, идеалы и нормы науки, научная картина мира) выступают, с одной стороны, компонентом внутренней структуры науки, а с другой – её инфраструктуры, которая опосредует влияние на научное познание социокультурных факторов и включение научных знаний в культуру соответствующей исторической эпохи (Стёпин 2003: 11, 286). В ранних работах В. С. Стёпина схемы структуры научного знания не содержали плоскости культуры, пересекающейся с плоскостью теоретического уровня и с плоскостью эмпирического уровня.[20]20
Так в схеме из статьи Стёпин 1972: 177, плоскость «картины мира» не имеет пересечения с плоскостью «эмпирческого материала» и имеет выход только на плоскость теории. О социокультурном опосредованном влиянии на науку и, тем более, о социокультурной детерминации научного знания речь ещё не идёт.
[Закрыть] В более поздних его работах помимо соприкасающихся теоретической и эмпирической плоскостей с каждой из них соприкасается плоскость оснований науки, при этом граница между культурой и научной теорией, являющейся её подсистемой, проходит где-то внутри специальной научной картины мира.[21]21
Схема эта оставляет много вопросов. Так плоскость оснований науки пересекается с эмпирической плоскостью на с. 287 «Теоретического знания» и на с. 207 учебника В. С. Стёпина (Стёпин 2007: 87), на с. 539 «Теоретического знания» плоскость оснований науки ограничена пунктирной линией и пересечения с эмпирическим уровнем здесь нет. Круг теории, отделяющий её от культуры, проведён сплошной линией на с. 207 учебника и пунктирной линией на с. 287 «Теоретического знания». В последнем случае означает ли это, что строгую границу между наукой и культурой провести невозможно?
[Закрыть] Спрашивается, где же проходит граница между наукой и культурой? Сколько же процентов содержания научных теорий объясняется «голосом самой природы», а сколько социокультурными факторами? В. С. Стёпин утверждает, что «общекультурный смысл специальных научных картин мира и возможности их понимания исследователями, работающими в различных науках, выступают условием их синтеза в целостную общенаучную картину мира» (Стёпин 2003: 231). Таким образом, даже синтез специальных научных картин мира в общенаучную картину невозможен без «общекультурного смысла». Это очень характерное утверждение для современной философии науки. Наука как бы «передаёт» часть своих знаний на хранение другим компонентам культуры, с тем, чтобы они на новом этапе вернули их ей в форме предпосылочного знания (Мамчур 1987: 91–92; Ребане 1979). Граница между научным (объективным, природным) оказывается (вопреки классической эпистемологии!) и внутри научной теории, и внутри каждого научного понятия. Важно отметить, что определение истинности тех или иных теоретических построений происходит не на уровне наиболее фундаментальных и абстрактных слоёв научного знания, а на эмпирическом уровне, при этом обыденные, содержащиеся в культуре представления и понятия являются определяющими для формирования этого уровня научного знания. Если постановка вопроса о процентном соотношении между объективными и социокультурными составляющими научного знания является некорректной, т. е. граница между научным и социокультурным существует, но является гибкой,[22]22
В. С. Стёпин, если не может напрямую указать границы научного и вненаучного, то косвенно указывает их через доведение до абсурда логики скептиков: действительно, само сравнение науки и мифа Фейерабендом уже предполагает их предварительное различение – Фейерабенд интуитивно проводит это различение. См.: Стёпин 2003: 336. Можно довести до абсурда и тезис когнитивной социологии о том, что познавательное отношение «природа – научное знание» – внешнее для науки и не раскрывающее механизмы формирования знания, главные же механизмы суть социальные отношения внутри научной теории. В. С. Стёпин предлагает представить общество халтурщиков – «учёных», живущих внутренней социальной жизнью коллектива, получающих зарплату, но не производящих реального научного знания. Сразу становится очевидным, что абстрагируясь от содержательных аспектов научной деятельности, ориентированной на познание исследуемых объектов, невозможно выявить механизмы роста научного знания. См.: Стёпин 2007: 77
[Закрыть] то у представителей «Сильной программы социологии познания» есть все основания утверждать, что никакой абсолютной истины не существует, а любое научное знание является социально сконструированным. С другой стороны, поскольку научную теорию от вненаучного знания можно отличить только на уровне интуиции или здравого смысла (научная теория успешна в объяснении и предсказании тех или иных фактов и т. д.), но не существует абсолютных логико-методологических критериев, позволяющих провести демаркационную линию между научным и вненаучным знанием, то у философов науки в последние годы заметен интерес к обыденному знанию, традиционным формам знания – ведь научное знание своими различной степени абстрактности этажами надстраивается над знанием обыденным, и граница в этом «айсберге», опять-таки, гибкая, лишь интуитивно ясная.
В отличие от парадигмы классической рациональности, в которой нормой было стремление к максимальному освобождению познаваемого объекта от познающего субъекта, в парадигмах неклассической и постнеклассической рациональности познающий субъект рассматривается в качестве погружённого в мир, действующего внутри него и познающего объекты в зависимости от того, каким образом исторически определённые состояния человеческого жизненного мира обеспечивают включение объектов в познавательную деятельность людей. Научные и философские исследования В. С. Стёпина эволюционировали от методологического анализа истории электродинамики к пониманию состава и динамики естественнонаучного знания в целом, к усложнению его структуры, позволяющему включить науку в совокупный культурный контекст, и далее к фокусировке внимания на анализе этого контекста, его цивилизационной динамики и его идейной сердцевины – философского знания. В методологической концепции В. С. Стёпина значение культурных оснований научных теорий чрезвычайно велико. Перестройка оснований исследования означает изменение самой стратегии научного поиска. Однако всякая новая стратегия утверждается не сразу, а в длительной борьбе с прежними установками и традиционными видениями реальности. Новые познавательные установки и генерированные ими знания должны быть вписаны в культуру соответствующей исторической эпохи и согласованы с лежащими в её фундаменте ценностями и мировоззренческими структурами. К примеру, причины, по которым идея Гаусса-Римана не оставила значительного следа в истории классической электродинамики XIX столетия, как показал В. С. Стёпин, коренились в стиле физического мышления данной исторической эпохи – интенции на построение окончательно истинных представлений о сущности физического мира (Степин 2003: 613). Согласно В. С. Стёпину, «тип научного мышления, складывающийся в культуре той или иной исторической эпохи, всегда скоррелирован с характером общения и деятельности людей данной эпохи, обусловлен контекстом её культуры» (Степин 2003: 615). Для постклассической науки характерен целый ряд особенностей, сближающих её с восточным миросозерцанием, постулатами древних религиозно-философских учений. Современная наука – на переднем крае своего поиска – поставила в центр исследований уникальные, исторически развивающиеся системы, в которые в качестве особого компонента включён сам человек. Утверждая, что современный тип научно-технического развития можно согласовать и с альтернативными и, казалось бы, чуждыми западным ценностям мировоззренческими идеями восточных культур, В. С. Стёпин выделяет три основных момента. Во-первых, восточные культуры всегда исходили из того, что природный мир, в котором живёт человек – это живой организм, а не обезличенное неорганическое поле, которое можно перепахивать и переделывать. Долгое время новоевропейская наука относилась к этим идеям как к пережиткам мифа и мистики. Но после развития современных представлений о биосфере как глобальной экосистеме выяснилось, что непосредственно окружающая нас среда действительно представляет собой целостный организм, в который включён человек. Эти представления уже начинают в определённом смысле резонировать с организмическими образами природы, свойственными и древним культурам. Во-первых, объекты, которые представляют собой развивающиеся человекоразмерные системы, требуют особых стратегий деятельности. Этим системам свойственны синергетические характеристики, в них существенную роль начинают играть несиловые воздействия, основанные на кооперативных эффектах. Установка на активное преобразование объектов уже не является эффективной при действии с такими системами. Для находящихся в точках бифуркации систем с синергетическими характеристиками достаточно небольшого воздействия для порождения новых структур и уровней организации. В. С. Стёпин проводит параллели между синергетическими представлениями применительно к человекоразмерным системам и стратегиями ненасилия, которые были развиты в индийской культурной традиции и с принципом «у вей» в китайской традиции. В-третьих, в стратегиях деятельности со сложными человекоразмерными системами возникает новый тип интеграции истины и нравственности, целерационального и ценностнорационального действия. В западной культурной традиции долгое время доминировал идеал истинного знания как самоценности, не нуждающейся в дополнительных этических обоснованиях. Новый тип рациональности, который сегодня утверждается в науке и технологической деятельности со сложными развивающимися человекоразмерными системами, резонирует с древневосточными представлениями о связи истины и нравственности – на новой основе стал возможен диалог западной культуры с другими культурами (Человек. Наука. Цивилизация 2004: 84–85).
Современная философия науки (в лице академика В. С. Стёпина, в частности) представлением об исторической изменчивости научной рациональности подготовила основу для диалога западной культуры с другими культурами. Представляется, что ключевым к этому диалогу может стать пограничное понятие «психической энергии».[23]23
Специально оговорюсь, что при всей готовности отказаться от традиционных постулатов философии науки и интересу к восточным культурам, В. С. Стёпин психическую энергию не упоминает и отмечает опасность появления различных маргинальных антинаучных концепций под видом нового развития науки. См.: Науковедение. – 2000. – № 1. Заметим, что анализ универсалий восточных культур, существенное внимание которому уделяет В. С. Стёпин, не будет полон без анализа представлений о всеединой психической энергии.
[Закрыть] Знания о существовании универсальной космической энергии, которую человек может использовать и с помощью которой реализуются сверхчувственные феномены, имеет глубокие корни в культурах всех народов. Самое известное представление о психической энергии в индийских религиозно-философских учениях – это учение о пяти видах пран, которые понимаются как космическая энергия, поддерживающая жизненные процессы. Разъясняя индийские традиционные представления о пране, выдающийся реформатор индуизма XIX века Вивекананда писал, что вся Вселенная состоит из двух элементов: «Как акаша есть бесконечная, всюду находящаяся материя этой Вселенной, совершенно так же прана есть бесконечная, всюду находящаяся и проявляющаяся сила этой Вселенной. Прана это то, что проявляется как всякого рода движение, как притяжение, магнетизм и прочее. Это прана, что проявляется в виде процессов тела, в виде нервных токов, в виде силы самой мысли. От мысли до самой грубой физической силы всё есть только проявление праны» (Свами Вивекананда 1992: 409–410). Вивекананда постулирует эволюцию всего сущего на протяжении миллионов эонов: «Идя от какого-нибудь гриба, какого-нибудь самого ничтожного микроскопического пузырька и всё время черпая из этого бесконечного запаса энергии, форма понемногу меняется, пока с течением времени не станет растением, затем животным, потом человеком, и, в заключение – Богом». Таким образом, задача раджа-йоги состоит в овладении праной и способностью направлять её на различных уровнях её проявления, а «вся наука йога направлена к одной цели – научить людей как сократить время прибавления силы, как увеличить силу усвоения и тем сократить время для достижения совершенства, вместо того, чтобы медленно продвигаться шаг за шагом и ожидать, пока весь род человеческий дойдёт до конца и станет совершенным» (Свами Вивекананда 1992: 418–419). По словам Вивекананды «раджа-йога есть наука о религии, разумное объяснение всякого богослужения, всех молитв, обрядов, церемоний и чудес», «то, чему люди, угнетаемые страхом и бедствиями, по невежеству поклоняются под разными именами, есть в действительности сила, скопленная в каждом существе, мать вечного блаженства, если мы только умеем подойти к ней» (Свами Вивекананда 1992: 427).